





所属成套资源:新高考数学重点专题二轮复习真题演练 (2份,原卷版+解析版)
新高考数学重点专题二轮复习真题演练专题03 立体几何大题(2份,原卷版+解析版)
展开
这是一份新高考数学重点专题二轮复习真题演练专题03 立体几何大题(2份,原卷版+解析版),文件包含新高考数学重点专题二轮复习真题演练专题03立体几何大题原卷版doc、新高考数学重点专题二轮复习真题演练专题03立体几何大题解析版doc等2份试卷配套教学资源,其中试卷共97页, 欢迎下载使用。
线线平行
线面平行的判定定理:
平面外一直线与平面内一直线平行,则线面平行
线面平行的性质定理
若线面平行,经过直线的平面与该平面相交,则直线与交线平行
面面平行的判定定理
判定定理1:一个平面内有两条相交直线分别平行于另一个平面,则面面平行
判定定理2:一个平面内有两条相交直线分别于另一个平面内两条相交直线平行,则面面平行
面面平行的性质定理
性质定理1:两平面互相平行,一个平面内任意一条直线平行于另一个平面
性质定理2:两平面互相平行,一平面与两平面相交,则交线互相平行
空间中的垂直关系
线线垂直
线面垂直的判定定理
一直线与平面内两条相交直线垂直,则线面垂直
线面垂直的性质定理
性质定理1:一直线与平面垂直,则这条直线垂直于平面内的任意一条直线
性质定理2:垂直于同一个平面的两条直线平行
面面垂直的判定定理
一个平面内有一条直线垂直于另一个平面,则两个平面垂直(或:一个平面经过另一个平面的垂线,则面面垂直)
面面垂直的性质定理
两平面垂直,其中一个平面内有一条直线与交线垂直,则这条直线垂直于另一个平面
异面直线所成角
=
(其中()为异面直线所成角,分别表示异面直线的方向向量)
直线与平面所成角,(为平面的法向量).
二面角的平面角
(,为平面,的法向量).
点到平面的距离
(为平面的法向量,是经过面的一条斜线,).
模拟训练
一、解答题
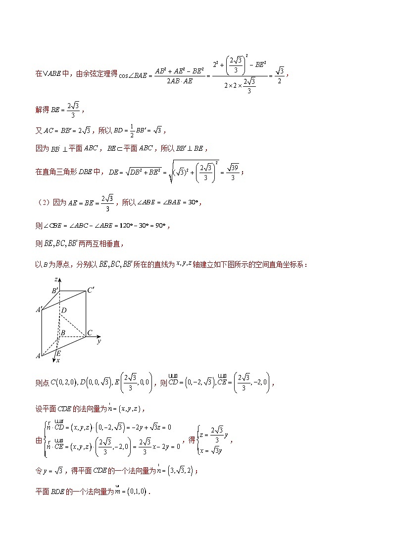
1.(22·23下·湖南·二模)如图,在直三棱柱中,,点为棱的中点,.
(1)求的长度;
(2)求平面与平面夹角的余弦值.
2.(22·23下·绍兴·二模)如图,在多面体中,平面为正三角形,为等腰Rt.
(1)求证:;
(2)若平面,求直线与平面所成的线面角的正弦值.
3.(22·23·张家口·三模)如图,在三棱柱中,侧面为菱形,,,.
(1)证明:平面平面;
(2)求平面与平面夹角的余弦值.
4.(22·23·湛江·二模)如图1,在五边形中,四边形为正方形,,,如图2,将沿折起,使得A至处,且.
(1)证明:平面;
(2)求二面角的余弦值.
5.(22·23下·长沙·三模)如图,在多面体中,平面平面,平面,和均为正三角形,,,点在上.
(1)若平面,求;
(2)若是的中点,求二面角的正弦值.
6.(22·23下·湖北·二模)如图,为圆锥的顶点,是圆锥底面的圆心,内接于,为的一条弦,且平面.
(1)求的最小值;
(2)若,求直线与平面所成角的正弦值.
7.(22·23·深圳·二模)如图,在四棱锥中,底面为矩形,平面,点是的中点.
(1)证明:;
(2)设的中点为,点在棱上(异于点,,且,求直线与平面所成角的正弦值.
8.(22·23下·温州·二模)已知三棱锥中,△是边长为3的正三角形,与平面所成角的余弦值为.
(1)求证:;
(2)求二面角的平面角的正弦值.
9.(22·23下·浙江·二模)如图,四面体,为上的点,且与平面所成角为,
(1)求三棱锥的体积;
(2)求二面角的余弦值.
10.(22·23下·襄阳·三模)如图,在三棱柱中,侧面为矩形,,,,在底面的射影为的中点,为的中点.
(1)求证:平面平面;
(2)求平面与平面夹角的余弦值.
11.(22·23·唐山·二模)如图,在三棱柱中,是等边三角形,侧面底面,且,,M是的中点.
(1)证明:.
(2)求二面角的正弦值.
12.(22·23下·盐城·三模)如图,该几何体是由等高的半个圆柱和个圆柱拼接而成,点为弧的中点,且,,,四点共面.
(1)证明:平面平面;
(2)若平面与平面所成二面角的余弦值为,且线段长度为2,求点到直线的距离.
13.(22·23下·江苏·三模)如图,圆锥中,为底面圆的直径,,为底面圆的内接正三角形,圆锥的高,点为线段上一个动点.
(1)当时,证明:平面;
(2)当点在什么位置时,直线PE和平面所成角的正弦值最大.
14.(22·23下·镇江·三模)如图,四边形是边长为2的菱形,,四边形为矩形,,从下列三个条件中任选一个作为已知条件,并解答问题(如果选择多个条件分别解答,按第一个解答计分).
①与平面所成角相等;②三棱锥体积为;③
(1)平面平面;
(2)求二面角的大小;
(3)求点到平面的距离.
15.(22·23下·江苏·一模)在三棱柱中,平面平面,侧面为菱形,,,,是的中点.
(1)求证:平面;
(2)点在线段上(异于点,),与平面所成角为,求的值.
16.(22·23下·河北·三模)如图,四棱锥的底面是菱形,其对角线交于点,且平面是的中点,是线段上一动点.
(1)当平面平面时,试确定点的位置,并说明理由;
(2)在(1)的前提下,点在直线上,以为直径的球的表面积为.以为原点,的方向分别为轴、轴、轴的正方向建立空间直角坐标系,求点的坐标.
17.(22·23·汕头·三模)如图,圆台的轴截面为等腰梯形,为底面圆周上异于的点.
(1)在平面内,过作一条直线与平面平行,并说明理由;
(2)若四棱锥的体积为,设平面平面,求的最小值.
18.(19·20下·临沂·二模)如图①,在中,B为直角,AB=BC=6,EF∥BC,AE=2,沿EF将折起,使,得到如图②的几何体,点D在线段AC上.
(1)求证:平面平面ABC;
(2)若平面BDF,求直线AF与平面BDF所成角的正弦值.
19.(22·23下·广州·三模)如图,四棱锥的底面为正方形,,平面,分别是线段的中点,是线段上的一点.
(1)求证:平面平面;
(2)若直线与平面所成角的正弦值为,且点不是线段的中点,求三棱锥体积.
20.(22·23下·长沙·一模)斜三棱柱的各棱长都为2,,点在下底面ABC的投影为AB的中点O.
(1)在棱(含端点)上是否存在一点D使?若存在,求出BD的长;若不存在,请说明理由;
(2)求点到平面的距离.
21.(22·23下·长沙·三模)如图,三棱台,,,平面平面,, ,与相交于点,,且∥平面.
(1)求三棱锥的体积;
(2)平面与平面所成角为,与平面所成角为,求证:.
22.(22·23·衡水·一模)如图所示,四点共面,其中,,点在平面的同侧,且平面,平面.
(1)若直线平面,求证:平面;
(2)若,,平面平面,求锐二面角的余弦值.
23.(22·23下·湖北·三模)已知平行六面体(底面是平行四边形的四棱柱)的各条棱长均为2,且有.
(1)求证:平面平面;
(2)求直线与平面所成角的正弦值.
24.(22·23下·武汉·三模)如图,在四棱锥中,底面ABCD为正方形,平面ABCD,,为线段PB的中点,F为线段BC上的动点.
(1)求证:平面平面PBC;
(2)求平面AEF与平面PDC夹角的最小值.
25.(22·23下·黄冈·三模)如图1,在四边形中,,.将四边形沿折起,使得,得到如图2所示的几何体.
(1)若为的中点,证明:平面;
(2)若为上一动点,且二面角的余弦值为,求的值.
26.(22·23·德州·三模)图1是直角梯形,,,,,,四边形为平行四边形,以为折痕将折起,使点到达的位置,且,如图2.
(1)求证:平面平面;
(2)在线段上存在点使得与平面的正弦值为,求平面与所成角的余弦值.
27.(22·23·山东·二模)如图,在四棱锥中,平面,,,,.
(1)证明:;
(2)若为线段的靠近点的四等分点,判断直线与平面是否相交?如果相交,求出到交点的距离,如果不相交,说明理由.
28.(22·23·黄山·三模)如图,在直角梯形ABCD中,,,四边形为平行四边形,对角线和相交于点H,平面⊥平面,,,G是线段上一动点(不含端点).
(1)当点G为线段BE的中点时,证明:平面;
(2)若,且直线与平面成角,求二面角的正弦值.
29.(22·23·菏泽·三模)已知在直三棱柱中,其中为的中点,点是上靠近的四等分点,与底面所成角的余弦值为.
(1)求证:平面平面;
(2)在线段上是否存在一点,使得平面与平面所成的锐二面角的余弦值为,若存在,确定点的位置,若不存在,请说明理由.
30.(22·23·福州·三模)如图,在三棱锥中,底面,,,将绕着逆时针旋转到的位置,得到如图所示的组合体,为的中点.
(1)当为何值时,该组合体的体积最大,并求出最大值;
(2)当平面时,求直线与平面所成角的正弦值.
31.(22·23·福州·二模)如图1,在中,为的中点,为上一点,且.将沿翻折到的位置,如图2.
(1)当时,证明:平面平面;
(2)已知二面角的大小为,棱上是否存在点,使得直线与平面所成角的正弦值为?若存在,确定的位置;若不存在,请说明理由.
32.(22·23·三明·三模)如图,平面五边形由等边三角形与直角梯形组成,其中,,,,将沿折起,使点到达点的位置,且.
(1)当时,证明并求四棱锥的体积;
(2)已知点为棱上靠近点的三等分点,当时,求平面与平面夹角的余弦值.
33.(22·23·宁德·一模)如图①在平行四边形中,,,,,将沿折起,使平面平面,得到图②所示几何体.
(1)若为的中点,求四棱锥的体积;
(2)在线段上,是否存在一点,使得平面与平面所成锐二面角的余弦值为,如果存在,求出的值,如果不存在,说明理由.
34.(22·23·龙岩·二模)三棱柱中,,,侧面为矩形,,三棱锥的体积为.
(1)求侧棱的长;
(2)侧棱上是否存在点,使得直线与平面所成角的正弦值为?若存在,求出线段的长;若不存在,请说明理由.
35.(22·23下·浙江·二模)如图,在多面体中,,平面,为等边三角形,,,,点是的中点.
(1)若点是的重心,证明;点在平面内;
(2)求二面角的正弦值.
36.(22·23下·浙江·三模)如图,三棱台中,,,为线段上靠近的三等分点.
(1)线段上是否存在点,使得平面,若不存在,请说明理由;若存在,请求出的值;
(2)若,,点到平面的距离为,且点在底面的射影落在内部,求直线与平面所成角的正弦值.
37.(22·23下·苏州·三模)如图,在三棱锥中,是边长为的等边三角形,且,平面,垂足为平面,垂足为,连接并延长交于点.
(1)求二面角的余弦值;
(2)在平面内找一点,使得平面,说明作法及理由,并求四面体PDEF的体积.
38.(22·23·沧州·三模)如图,该几何体是由等高的半个圆柱和个圆柱拼接而成.在同一平面内,且.
(1)证明:平面平面;
(2)若直线与平面所成角的正弦值为,求平面与平面所成角的余弦值.
39.(23·24上·永州·一模)如图所示,在四棱锥中,底面为矩形,侧面为正三角形,且分别为的中点,在线段上,且.
(1)求证:平面;
(2)当时,求平面与平面的夹角的余弦值.
40.(22·23·潍坊·三模)如图,为圆锥的顶点,是圆锥底面的圆心,为底面直径,为底面圆的内接正三角形,且边长为,点在母线上,且,.
(1)求证:平面;
(2)求证:平面平面
(3)若点为线段上的动点.当直线与平面所成角的正弦值最大时,求此时点到平面的距离.
相关试卷
这是一份新高考数学重点专题二轮复习真题演练专题一4 立体几何小题综合(2份,原卷版+解析版),文件包含新高考数学重点专题二轮复习真题演练专题14立体几何小题综合原卷版doc、新高考数学重点专题二轮复习真题演练专题14立体几何小题综合解析版doc等2份试卷配套教学资源,其中试卷共79页, 欢迎下载使用。
这是一份新高考数学重点专题二轮复习真题演练专题06 圆锥曲线大题(2份,原卷版+解析版),文件包含新高考数学重点专题二轮复习真题演练专题06圆锥曲线大题原卷版doc、新高考数学重点专题二轮复习真题演练专题06圆锥曲线大题解析版doc等2份试卷配套教学资源,其中试卷共89页, 欢迎下载使用。
这是一份新高考数学重点专题二轮复习真题演练专题05 导数大题(2份,原卷版+解析版),文件包含新高考数学重点专题二轮复习真题演练专题05导数大题原卷版doc、新高考数学重点专题二轮复习真题演练专题05导数大题解析版doc等2份试卷配套教学资源,其中试卷共89页, 欢迎下载使用。
