


所属成套资源:2025年高考数学核心考点归纳特训(学生版+解析)
2025年高考数学核心考点归纳第31讲、W的取值范围与最值问题特训(学生版+解析)
展开
这是一份2025年高考数学核心考点归纳第31讲、W的取值范围与最值问题特训(学生版+解析),共41页。试卷主要包含了在区间内没有零点,在区间内有个零点,已知单调区间,则.,期中期末考试串讲,导数专题,全国名校期中期末一模二模等内容,欢迎下载使用。
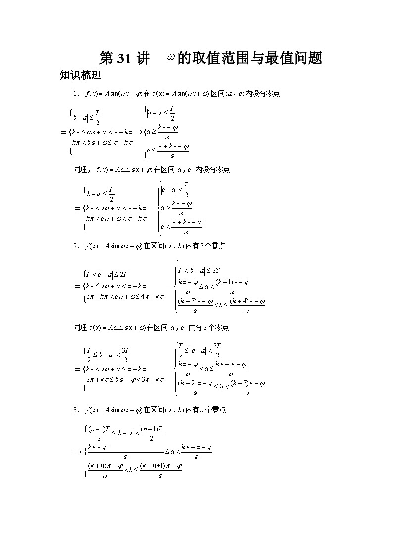
1、在区间内没有零点
同理,在区间内没有零点
2、在区间内有个零点
同理在区间内有个零点
3、在区间内有个零点
同理在区间内有个零点
4、已知一条对称轴和一个对称中心,由于对称轴和对称中心的水平距离为,则.
5、已知单调区间,则.
必考题型全归纳
题型一:零点问题
例1.(2024·全国·高三专题练习)设函数,若对于任意实数,函数在区间上至少有3个零点,至多有4个零点,则的取值范围是( )
A.B.C.D.
例2.(2024·全国·高一专题练习)设函数,在区间上至少有2个不同的零点,至多有3个不同的零点,则的取值范围是( )
A.B.
C.D.
例3.(2024·河北·高二统考学业考试)设函数,若对于任意实数,在区间上至少有2个零点,至多有3个零点,则的取值范围是( )
A.B.C.D.
变式1.(2024·全国·高三专题练习)已知函数的图象是由()的图象向右平移个单位得到的,若在上仅有一个零点,则的取值范围是( ).
A.B.
C.D.
变式2.(2024·全国·高三专题练习)记函数的最小正周期为.若,为的零点,则的最小值为( )
A.2B.3C.4D.6
变式3.(2024·全国·模拟预测)若函数在上有3个零点,则的取值范围是( )
A.B.C.D.
题型二:单调问题
例4.(2024·四川成都·石室中学校考模拟预测)已知函数的图象关于点对称,且在上单调,则的取值集合为( )
A.B.C.D.
例5.(2024·全国·高三专题练习)已知函数,是函数的一个零点,是函数的一条对称轴,若在区间上单调,则的最大值是( )
A.B.C.D.
例6.(2024·内蒙古赤峰·校考模拟预测)若直线是曲线的一条对称轴,且函数在区间[0,]上不单调,则的最小值为( )
A.9B.7C.11D.3
变式4.(2024·全国·高三专题练习)已知函数的一个对称中心为,在区间上不单调,则的最小正整数值为( )
A.1B.2C.3D.4
变式5.(2024·全国·高三专题练习)已知函数在上单调,且,则的可能取值( )
A.只有1个B.只有2个
C.只有3个D.有无数个
题型三:最值问题
例7.(2024·全国·高三专题练习)已知函数在区间上单调递增,且在区间上只取得一次最大值,则的取值范围是( )
A.B.C.D.
例8.(2024·全国·高三专题练习)已知函数,若,且在上有最大值,没有最小值,则的最大值为______.
例9.(2024·全国·高三专题练习)已知函数在处取得最大值,且,若函数在上是单调的,则的最大值为______.
变式6.(2024·全国·高三专题练习)已知函数在(0,2]上有最大值和最小值,且取得最大值和最小值的自变量的值都是唯一的,则的取值范围是___________.
变式7.(2024·全国·高三专题练习)已知函数的最大值为2,则使函数在区间上至少取得两次最大值,则取值范围是_______
变式8.(2024·全国·高三专题练习)已知函数在上有最大值,无最小值,则的取值范围是________.
题型四:极值问题
例10.(2024·全国·高三专题练习)记函数的最小正周期为T.若为的极小值点,则的最小值为__________.
例11.(2024·全国·高三专题练习)已知函数,,函数在上有且仅有一个极小值但没有极大值,则的最小值为( )
A.B.C.D.
例12.(2024·山西运城·高三统考期中)已知函数在区间内有且仅有一个极小值,且方程在区间内有3个不同的实数根,则的取值范围是( )
A.B.C.D.
变式9.(2024·全国·校联考三模)已知函数,.若函数只有一个极大值和一个极小值,则的取值范围为( )
A.B.C.D.
变式10.(2024·全国·高三专题练习)函数在上有唯一的极大值,则( )
A.B.C.D.
变式11.(2024·全国·高三专题练习)已知函数在区间内有且仅有一个极大值,且方程在区间内有4个不同的实数根,则的取值范围是( )
A.B.C.D.
题型五:对称性
例13.(2024·全国·高三专题练习)已知函数在区间[0,]上有且仅有3条对称轴,则的取值范围是( )
A.(,]B.(,]C.[,)D.[,)
例14.(2024·内蒙古赤峰·校考模拟预测)已知函数,若在区间上有且仅有个零点和条对称轴,则的取值范围是( )
A.B.C.D.
例15.(2024·全国·高三专题练习)已知函数在区间上有且仅有4条对称轴,下列四个结论正确的是( )
A.在区间上有且仅有3个不同的零点
B.的最小正周期可能是
C.的取值范围是
D.在区间上单调递增
变式12.(2024·浙江衢州·高一统考期末)函数在区间上恰有两条对称轴,则的取值范围为( )
A.B.C.D.
变式13.(2024·内蒙古呼和浩特·高三呼市二中校考阶段练习)已知函数在内有且仅有三条对称轴,则的取值范围是( )
A.B.C.D.
题型六:性质的综合问题
例16.(2024·全国·高三专题练习)函数(,),已知,且对于任意的都有,若在上单调,则的最大值为( )
A.B.C.D.
例17.(2024·全国·高一专题练习)设函数,已知在[有且仅有4个零点,下述四个结论:①在有且仅有2个零点;②在有且仅有2个零点;③的取值范围是;④在单调递增,其中正确个数是( )
A.0个B.1个C.2个D.3个
例18.(多选题)(2024·福建漳州·统考三模)已知函数在上有且仅有条对称轴;则( )
A.
B.可能是的最小正周期
C.函数在上单调递增
D.函数在上可能有个或个零点
变式14.(多选题)(2024·广东汕头·统考一模)知函数,则下述结论中正确的是( )
A.若在有且仅有个零点,则在有且仅有个极小值点
B.若在有且仅有个零点,则在上单调递增
C.若在有且仅有个零点,则的范围是
D.若的图象关于对称,且在单调,则的最大值为
变式15.(多选题)(2024·全国·高三专题练习)已知函数,则下述结论中错误的是( )
A.若f(x)在[0,2π]有且仅有4个零点,则f(x)在[0,2π]有且仅有2个极小值点
B.若f(x)在[0,2π]有且仅有4个零点,则f(x)在上单调递增
C.若f(x)在[0,2π]有且仅有4个零点,则ω的范围是
D.若f(x)图象关于对称,且在单调,则ω的最大值为11
变式16.(多选题)(2024·全国·高三专题练习)已知函数在上有且仅有三个对称轴,则下列结论正确的是( )
A.函数在上单调递增.
B.不可能是函数的图像的一个对称中心
C.的范围是
D.的最小正周期可能为
变式17.(多选题)(2024·河北唐山·唐山市第十中学校考模拟预测)已知函数的最小正周期,,且在处取得最大值.下列结论正确的有( )
A.
B.的最小值为
C.若函数在上存在零点,则的最小值为
D.函数在上一定存在零点
变式18.(多选题)(2024·全国·高一专题练习)记函数的最小正周期为T,若,在区间恰有三个零点,则关于下列说法正确的是( )
A.在上有且仅有1个最大值点B.在上有且仅有2个最小值点
C.在上单调递增D.的取值范围为
变式19.(多选题)(2024·全国·高一专题练习)下列说法正确的是( )
A.函数在上单调递增
B.函数的最大值是1
C.若函数,对任意,都有,并且在区间上不单调,则的最小值是4
D.若函数在区间内没有零点,则的取值可以是
变式20.(多选题)(2024·江西九江·高一德安县第一中学校考期中)已知函数(其中,),,恒成立,且函数在区间上单调,那么下列说法正确的是( )
A.存在,使得是偶函数B.
C.是的整数倍D.的最大值是6
本资料陈飞老师主编,可联系微信:renbenjiayu2 ,加入陈老师高中数学永久QQ资料群下载(群内99%以上资料为纯wrd解析版),群内资料每周持续更新!
高一资料群内容:
1、高一上学期同步讲义(wrd+PDF)
2、高一下学期同步讲义(wrd+PDF)
3、寒暑假预习讲义(wrd+PDF)
4、专题分类汇编(纯wrd解析版)
5、全国名校期中期末考试卷(纯wrd解析版)
6、期中期末考试串讲(wrd+PDF)
…………………………………………
更多内容不断完善
高二资料群内容:
1、高二上学期同步讲义(wrd+PDF)
2、高二下学期同步讲义(wrd+PDF)
3、寒暑假预习讲义(wrd+PDF)
4、专题分类汇编(纯wrd解析版)
5、全国名校期中期末考试卷(纯wrd解析版)
6、期中期末考试串讲(wrd+PDF)
…………………………………………
更多内容不断完善
高三资料群内容:
1、高三大一轮复习讲义(wrd+PDF)
2、高三二轮冲刺讲义(wrd+PDF)
3、高三三轮押题(纯wrd解析版)
4、高考真题分类汇编(纯wrd解析版)
5、专题分类汇编(纯wrd解析版)
6、圆锥曲线专题(wrd+PDF)
7、导数专题(wrd+PDF)
8、全国名校期中期末一模二模(纯wrd解析版)
…………………………………………
更多内容不断完善
第31讲 的取值范围与最值问题
知识梳理
1、在区间内没有零点
同理,在区间内没有零点
2、在区间内有个零点
同理在区间内有个零点
3、在区间内有个零点
同理在区间内有个零点
4、已知一条对称轴和一个对称中心,由于对称轴和对称中心的水平距离为,则.
5、已知单调区间,则.
必考题型全归纳
题型一:零点问题
例1.(2024·全国·高三专题练习)设函数,若对于任意实数,函数在区间上至少有3个零点,至多有4个零点,则的取值范围是( )
A.B.C.D.
【答案】C
【解析】因为为任意实数,故函数的图象可以任意平移,从而研究函数在区间上的零点问题,即研究函数在任意一个长度为的区间上的零点问题,
令,得,则它在轴右侧靠近坐标原点处的零点分别为,,,,,,
则它们相邻两个零点之间的距离分别为,,,,,
故相邻四个零点之间的最大距离为,相邻五个零点之间的距离为,
所以要使函数在区间上至少有3个零点,至多有4个零点,则需相邻四个零点之间的最大距离不大于,相邻五个零点之间的距离大于,
即,解得.
故选:C
例2.(2024·全国·高一专题练习)设函数,在区间上至少有2个不同的零点,至多有3个不同的零点,则的取值范围是( )
A.B.
C.D.
【答案】D
【解析】函数,在区间上至少有2个不同的零点,至多有3个不同的零点,即在区间上至少有2个不同的根,至多有3个不同的根,
,
如图:
①当,则,得无解;
②当,则,求得;
③当时,则,求得;
④当时,区间长度超过了正弦函数的两个最小正周期长度,故方程在区间上至少有4个根,不满足题意;
综上,可得或;
故选:D.
例3.(2024·河北·高二统考学业考试)设函数,若对于任意实数,在区间上至少有2个零点,至多有3个零点,则的取值范围是( )
A.B.C.D.
【答案】B
【解析】令,则
令,则
则问题转化为在区间上至少有两个,至少有三个t,使得,求的取值范围.
作出和的图像,观察交点个数,
可知使得的最短区间长度为2π,最长长度为,
由题意列不等式的:
解得:.
故选:B
变式1.(2024·全国·高三专题练习)已知函数的图象是由()的图象向右平移个单位得到的,若在上仅有一个零点,则的取值范围是( ).
A.B.
C.D.
【答案】C
【解析】由题知,函数在上仅有一个零点,
所以,所以,
令,得,即.
若第一个正零点,则(矛盾),
因为函数在上仅有一个零点,
所以,解得.
故选:C.
变式2.(2024·全国·高三专题练习)记函数的最小正周期为.若,为的零点,则的最小值为( )
A.2B.3C.4D.6
【答案】C
【解析】因为的最小正周期为,且,
所以,
因为,所以,
所以,
因为为的零点,
所以,
所以,解得,
因为,所以的最小值为4,
故选:C
变式3.(2024·全国·模拟预测)若函数在上有3个零点,则的取值范围是( )
A.B.C.D.
【答案】D
【解析】令,则
当时,,即,
当时,,矛盾,
所以,且,又,
所以,且,
所以.
所以,因为,
所以函数的正零点从小到大依次为:,,,,
因为函数在上有3个零点,
所以
所以.
故选:D.
题型二:单调问题
例4.(2024·四川成都·石室中学校考模拟预测)已知函数的图象关于点对称,且在上单调,则的取值集合为( )
A.B.C.D.
【答案】C
【解析】关于点对称,所以,
所以①;
,而在上单调,
所以,②;
由①②得的取值集合为.
故选:C
例5.(2024·全国·高三专题练习)已知函数,是函数的一个零点,是函数的一条对称轴,若在区间上单调,则的最大值是( )
A.B.C.D.
【答案】A
【解析】设函数的最小正周期为,
因为是函数的一个零点,是函数的一条对称轴,
则,其中,所以,,,
因为函数在区间上单调,则,所以,.
所以,的可能取值有:、、、、.
(i)当时,,,
所以,,则,
,,所以,,
当时,,所以,
函数在上不单调,不合乎题意;
(ii)当时,,,
所以,,则,
,,所以,,
当时,,所以,
函数在上单调递减,合乎题意.
因此,的最大值为.
故选:A.
例6.(2024·内蒙古赤峰·校考模拟预测)若直线是曲线的一条对称轴,且函数在区间[0,]上不单调,则的最小值为( )
A.9B.7C.11D.3
【答案】C
【解析】因直线是曲线的一条对称轴,则,即,
由得,则函数在上单调递增,
而函数在区间上不单调,则,解得,
所以的最小值为11.
故选:C
变式4.(2024·全国·高三专题练习)已知函数的一个对称中心为,在区间上不单调,则的最小正整数值为( )
A.1B.2C.3D.4
【答案】B
【解析】由函数的一个对称中心为,
可得,
所以,,
,,
,
由在区间上不单调,
所以在区间上有解,
所以,在区间上有解,
所以,
所以,,
又,所以,
所以,
当时,,
此时的最小正整数为.
故选:B
变式5.(2024·全国·高三专题练习)已知函数在上单调,且,则的可能取值( )
A.只有1个B.只有2个
C.只有3个D.有无数个
【答案】C
【解析】设的最小正周期为T,则由函数在上单调,可得,即.
因为,所以.
由在上单调,且,得的一个零点为,即为的一个对称中心.
因为,所以为的一条对称轴.
因为,所以有以下三种情况:
①,则;
②当时,则,符合题意;
③,则,符合题意.
因为,不可能满足其他情况.
故的可能取值只有3个.
故选:C
题型三:最值问题
例7.(2024·全国·高三专题练习)已知函数在区间上单调递增,且在区间上只取得一次最大值,则的取值范围是( )
A.B.C.D.
【答案】B
【解析】依题意,函数,,
因为在区间上单调递增,由,则,
于是且,解得且,即,
当时,,因为在区间上只取得一次最大值,
因此,解得,
所以的取值范围是.
故选:B
例8.(2024·全国·高三专题练习)已知函数,若,且在上有最大值,没有最小值,则的最大值为______.
【答案】17
【解析】由,且在上有最大值,没有最小值,可得, 所以.
由在上有最大值,没有最小值,可得,解得,又,当时,,则的最大值为17,,
故答案为:17
例9.(2024·全国·高三专题练习)已知函数在处取得最大值,且,若函数在上是单调的,则的最大值为______.
【答案】/11.25
【解析】由题意,函数
满足,,
可得,,
两式相减得,其中,
解得,
又由,可得,
即,解得,
故m的最大值为8,
此时取得最大值.
故答案为:
变式6.(2024·全国·高三专题练习)已知函数在(0,2]上有最大值和最小值,且取得最大值和最小值的自变量的值都是唯一的,则的取值范围是___________.
【答案】
【解析】易知时不满足题意,
由Z,得Z,
当时,第2个正最值点,解得,
第3个正最值点,解得,故;
当时,第2个正最值点,解得,
第3个正最值点,解得,故.
综上,的取值范围是.
故答案为:
变式7.(2024·全国·高三专题练习)已知函数的最大值为2,则使函数在区间上至少取得两次最大值,则取值范围是_______
【答案】/
【解析】,因为,,故,原式为,当取到最大值时,,当,取得前两次最大值时,分别为0和1,时,,,此时需满足,解得.
故答案为:
变式8.(2024·全国·高三专题练习)已知函数在上有最大值,无最小值,则的取值范围是________.
【答案】
【解析】.
由题可知,,所以,
当时,,
因为函数在上有最大值,无最小值,
所以存在,使得
整理得,().
因为,所以,解得.
故答案为:.
题型四:极值问题
例10.(2024·全国·高三专题练习)记函数的最小正周期为T.若为的极小值点,则的最小值为__________.
【答案】14
【解析】 因为所以最小正周期,
又所以,即;
又为的极小值点,所以,解得,因为,所以当时;
故答案为:14
例11.(2024·全国·高三专题练习)已知函数,,函数在上有且仅有一个极小值但没有极大值,则的最小值为( )
A.B.C.D.
【答案】C
【解析】∵,∴.又,∴.
当时,函数取到最小值,此时,.解得,.
所以当时,.
故选:C.
例12.(2024·山西运城·高三统考期中)已知函数在区间内有且仅有一个极小值,且方程在区间内有3个不同的实数根,则的取值范围是( )
A.B.C.D.
【答案】C
【解析】因为,所以,若在区间内有且仅有一个极小值,则.若方程在区间内有3个不同的实数根,则,所以,由,解得.
所以的取值范围是.
故选:C
变式9.(2024·全国·校联考三模)已知函数,.若函数只有一个极大值和一个极小值,则的取值范围为( )
A.B.C.D.
【答案】C
【解析】令,因为,所以则问题转化为在上只有一个极大值和一个极小值,
因为函数只有一个极大值和一个极小值,则,即,又,所以,所以
则解得故
故选:C
变式10.(2024·全国·高三专题练习)函数在上有唯一的极大值,则( )
A.B.C.D.
【答案】C
【解析】方法一:当时,,
因为函数在上有唯一的极大值,
所以函数在上有唯一极大值,
所以,,解得.
故选:C
方法二:令,,则,,
所以,函数在轴右侧的第一个极大值点为,第二个极大值点为,
因为函数在上有唯一的极大值,
所以,解得.
故选:C
变式11.(2024·全国·高三专题练习)已知函数在区间内有且仅有一个极大值,且方程在区间内有4个不同的实数根,则的取值范围是( )
A.B.C.D.
【答案】C
【解析】由题意,函数,
因为,所以,
若在区间内有且仅有一个极大值,则,解得;若方程在区间内有4个不同的实数根,
则,解得.
综上可得,实数的取值范围是.
故选:C.
题型五:对称性
例13.(2024·全国·高三专题练习)已知函数在区间[0,]上有且仅有3条对称轴,则的取值范围是( )
A.(,]B.(,]C.[,)D.[,)
【答案】C
【解析】,
令,,则,,
函数f(x)在区间[0,]上有且仅有3条对称轴,即有3个整数k符合,
,得,则,
即,∴.
故选:C.
例14.(2024·内蒙古赤峰·校考模拟预测)已知函数,若在区间上有且仅有个零点和条对称轴,则的取值范围是( )
A.B.C.D.
【答案】D
【解析】函数 ,
令,由,则,
又函数在区间上有且仅有个零点和条对称轴,
即在区间上有且仅有个零点和条对称轴,
作出的图象如下,
所以,得.
故选:D.
例15.(2024·全国·高三专题练习)已知函数在区间上有且仅有4条对称轴,下列四个结论正确的是( )
A.在区间上有且仅有3个不同的零点
B.的最小正周期可能是
C.的取值范围是
D.在区间上单调递增
【答案】C
【解析】函数,
令,,得,,
函数在区间,上有且仅有4条对称轴,即有4个整数满足,
得,可得,1,2,3,
则,
,即的取值范围是,故C正确;
,,由于得,,
当时,在区间上有且仅有4个不同的零点,故A错误;
周期,由,得,
,的最小正周期不可能是,故B错误;
,,
又,,
又,在区间上不一定单调递增,故D错误.
故选:C
变式12.(2024·浙江衢州·高一统考期末)函数在区间上恰有两条对称轴,则的取值范围为( )
A.B.C.D.
【答案】D
【解析】,
令,,则,,
函数在区间[0,]上有且仅有2条对称轴,即有2个整数k符合,
,得,则,
即,∴.
故选:D.
变式13.(2024·内蒙古呼和浩特·高三呼市二中校考阶段练习)已知函数在内有且仅有三条对称轴,则的取值范围是( )
A.B.C.D.
【答案】B
【解析】时,函数,则,函数在内有且仅有三条对称轴,则:满足,解得,即实数的取值范围是.
题型六:性质的综合问题
例16.(2024·全国·高三专题练习)函数(,),已知,且对于任意的都有,若在上单调,则的最大值为( )
A.B.C.D.
【答案】D
【解析】∵ ,,
∴ ,,
又对于任意的都有,
∴ ,,
∴ ,又,
∴ 或,
当时, ,且,
当时,,
若,则,
∴在上不单调,C错误,
当时, ,且,
当时,,
若,则,
∴在上不单调,A错误,
当时,,
若,则,
∴在上单调,D正确,
故选:D.
例17.(2024·全国·高一专题练习)设函数,已知在[有且仅有4个零点,下述四个结论:①在有且仅有2个零点;②在有且仅有2个零点;③的取值范围是;④在单调递增,其中正确个数是( )
A.0个B.1个C.2个D.3个
【答案】D
【解析】由时,得到,根据在[有且仅有4个零点,则在第4个零点和第5个零点之间,然后利用余弦函数的性质求解.当时,
,
因为在[有且仅有4个零点,
所以在第4个零点和第5个零点之间,
所以,
解得,故③正确;
当时,,又,
,结合知最多有3个零点,故①错误;
当时,,又,
,结合有且仅有2个零点,故②正确;
当时,,因为,所以,则,所以在单调递增,故④正确;
故选:D
例18.(多选题)(2024·福建漳州·统考三模)已知函数在上有且仅有条对称轴;则( )
A.
B.可能是的最小正周期
C.函数在上单调递增
D.函数在上可能有个或个零点
【答案】AD
【解析】;
对于A,当时,,
在上有且仅有条对称轴,,解得:,
即,A正确;
对于B,若是的最小正周期,则,不能是的最小正周期,B错误;
对于C,当时,;
,,,
,当时,不是单调函数,C错误;
对于D,当时,,
,;
当时,在上有个零点;
当时,在上有个零点;
在上可能有个或个零点,D正确.
故选:AD.
变式14.(多选题)(2024·广东汕头·统考一模)知函数,则下述结论中正确的是( )
A.若在有且仅有个零点,则在有且仅有个极小值点
B.若在有且仅有个零点,则在上单调递增
C.若在有且仅有个零点,则的范围是
D.若的图象关于对称,且在单调,则的最大值为
【答案】ACD
【解析】令,由,可得出,
作出函数在区间上的图象,如下图所示:
对于A选项,若在有且仅有个零点,则在有且仅有个极小值点,A选项正确;
对于C选项,若在有且仅有个零点,则,解得,C选项正确;
对于B选项,若,则,
所以,函数在区间上不单调,B选项错误;
对于D选项,若的图象关于对称,则,.
,,,.
当时,,当时,,
此时,函数在区间上单调递减,合乎题意,D选项正确.
故选:ACD.
变式15.(多选题)(2024·全国·高三专题练习)已知函数,则下述结论中错误的是( )
A.若f(x)在[0,2π]有且仅有4个零点,则f(x)在[0,2π]有且仅有2个极小值点
B.若f(x)在[0,2π]有且仅有4个零点,则f(x)在上单调递增
C.若f(x)在[0,2π]有且仅有4个零点,则ω的范围是
D.若f(x)图象关于对称,且在单调,则ω的最大值为11
【答案】BD
【解析】因为,因为 在有且仅有个零点,所以 ,所以.所以选项C正确;
此时,在有且仅有 个极小值点,故选项A正确;
因为,
因为,所以当时,所以 ,此时函数不是单调函数,所以选项B错误;
若的图象关于对称,则,.
,,,.
当时,,当时,,
此时,函数在区间上单调递减,故的最大值为9.故选项D错误.
故选:BD
变式16.(多选题)(2024·全国·高三专题练习)已知函数在上有且仅有三个对称轴,则下列结论正确的是( )
A.函数在上单调递增.
B.不可能是函数的图像的一个对称中心
C.的范围是
D.的最小正周期可能为
【答案】AB
【解析】的对称轴方程为:
上有且仅有三个对称轴,,.
A选项:,所以A正确;
B选项:若是f(x)的一个对称中心,则:
,,,所以k不存在,B正确;
C选项:由上解得,所以C错误;
D选项:,所以D错误.
故选:AB.
变式17.(多选题)(2024·河北唐山·唐山市第十中学校考模拟预测)已知函数的最小正周期,,且在处取得最大值.下列结论正确的有( )
A.
B.的最小值为
C.若函数在上存在零点,则的最小值为
D.函数在上一定存在零点
【答案】ACD
【解析】A选项,因在处取得最大值,则图象关于对称,则
,故A正确;
B选项,最小正周期,则,,
则或,又在处取得最大值,
则,则或,
其中,则的最小值为,故B错误;
C选项,由A选项分析结合,可知时,
可取,令,
则,其中.
当时,不存在相应的,当时,,则存在满足题意;
由A选项分析结合,可知时,
可取,令,
则,
当时,不存在相应的,当时,,则存在满足题意,
综上可知的最小值为,故C正确;
D选项,由C分析可知,时,可取,
此时,,存在零点;
时,可取,
此时,,存在零点;
当时,,注意到,
则此时函数在上一定存在零点,
综上在上一定存在零点,故D正确.
故选:ACD
变式18.(多选题)(2024·全国·高一专题练习)记函数的最小正周期为T,若,在区间恰有三个零点,则关于下列说法正确的是( )
A.在上有且仅有1个最大值点B.在上有且仅有2个最小值点
C.在上单调递增D.的取值范围为
【答案】AD
【解析】由题意函数的最小正周期为T,则,
由可得,即,
由于,故,
由在区间恰有三个零点,
而时,,
结合函数的图象如图示:
则在原点右侧的零点依次为,
则,
即的取值范围为,D正确;
由于时,,,
结合图象可知,仅在时取得最大值,
故在有且仅有1个最大值点,A正确;
由A的分析可知,在时取得最小值,
由于,故可能取到,也可能取不到,
故在可能有1个最小值点,也可能有2个最小值点,B错误;
当时,,
由于,所以,
因为在上单调递减,C错误;
故选:
变式19.(多选题)(2024·全国·高一专题练习)下列说法正确的是( )
A.函数在上单调递增
B.函数的最大值是1
C.若函数,对任意,都有,并且在区间上不单调,则的最小值是4
D.若函数在区间内没有零点,则的取值可以是
【答案】BC
【解析】对于A,由,得,所以,
又,函数在上单调递减,所以函数在上单调递减,故A错误;
对于B,,
当时,函数取得最大值,最大值为1,故B正确;
对于C,由知,函数的对称轴为,
所以Z),解得Z),由知,
当时,,,函数在上单调递增,不符合题意;
当时,,,函数在上不单调,故的最小值为4,故C正确;
对于D,,
当时,,由,得,当时,为函数的零点,故D错误.
故选:BC.
变式20.(多选题)(2024·江西九江·高一德安县第一中学校考期中)已知函数(其中,),,恒成立,且函数在区间上单调,那么下列说法正确的是( )
A.存在,使得是偶函数B.
C.是的整数倍D.的最大值是6
【答案】BC
【解析】对于A,∵,成立,∴,
整理得,解得,
,
假设存在,使得是偶函数,则,
即,该式左侧为偶数,不可能等于5,矛盾,故A错误;
对于B,因为,函数的图象关于对称,
∴,故B正确;
对于C,∵,∴是的整数倍,故C正确;
对于D,∵函数在区间上单调,∴,即,
当时,由,整理得,
故无解,故D错误.
故选:BC
本资料陈飞老师主编,可联系微信:renbenjiayu2 ,加入陈老师高中数学永久QQ资料群下载(群内99%以上资料为纯wrd解析版),群内资料每周持续更新!
高一资料群内容:
1、高一上学期同步讲义(wrd+PDF)
2、高一下学期同步讲义(wrd+PDF)
3、寒暑假预习讲义(wrd+PDF)
4、专题分类汇编(纯wrd解析版)
5、全国名校期中期末考试卷(纯wrd解析版)
6、期中期末考试串讲(wrd+PDF)
…………………………………………
更多内容不断完善
高二资料群内容:
1、高二上学期同步讲义(wrd+PDF)
2、高二下学期同步讲义(wrd+PDF)
3、寒暑假预习讲义(wrd+PDF)
4、专题分类汇编(纯wrd解析版)
5、全国名校期中期末考试卷(纯wrd解析版)
6、期中期末考试串讲(wrd+PDF)
…………………………………………
更多内容不断完善
高三资料群内容:
1、高三大一轮复习讲义(wrd+PDF)
2、高三二轮冲刺讲义(wrd+PDF)
3、高三三轮押题(纯wrd解析版)
4、高考真题分类汇编(纯wrd解析版)
5、专题分类汇编(纯wrd解析版)
6、圆锥曲线专题(wrd+PDF)
7、导数专题(wrd+PDF)
8、全国名校期中期末一模二模(纯wrd解析版)
…………………………………………
更多内容不断完善
相关试卷
这是一份2025年高考数学核心考点归纳第78讲、参数范围与最值特训(学生版+解析),共89页。试卷主要包含了求最值问题常用的两种方法,求参数范围问题的常用方法,寒暑假预习讲义,专题分类汇编,全国名校期中期末考试卷,期中期末考试串讲,导数专题,全国名校期中期末一模二模等内容,欢迎下载使用。
这是一份2025年高考数学核心考点归纳第77讲、定点、定值问题特训(学生版+解析),共100页。试卷主要包含了定值问题,求定值问题常见的方法有两种,求解直线过定点问题常用方法如下,专题分类汇编,全国名校期中期末考试卷,期中期末考试串讲,导数专题,全国名校期中期末一模二模等内容,欢迎下载使用。
这是一份2025年高考数学核心考点归纳第61讲、圆中的范围与最值特训(学生版+解析),共42页。试卷主要包含了寒暑假预习讲义,专题分类汇编,全国名校期中期末考试卷,期中期末考试串讲,导数专题,全国名校期中期末一模二模等内容,欢迎下载使用。
