高考调研二轮数学教师用书及配套课件
展开
这是一份高考调研二轮数学教师用书及配套课件,文件包含第2讲概率统计小题第1课时概率事件及分布pptx、第3讲概率大题第1课时概率分布列及期望与方差pptx、第2讲概率统计小题第2课时统计及回归分析pptx、第3讲概率大题第2课时二项分布超几何分布正态分布pptx、第2讲椭圆双曲线的方程与性质pptx、第4讲成对数据分析大题pptx、第2讲空间的线面关系及角与距离pptx、第3讲三角恒等变换与解三角形小题pptx、第3讲抛物线的方程与性质pptx、第4讲直线与圆锥曲线的位置关系pptx、第3讲空间的角立体几何大题pptx、专题2创新定义篇pptx、第2讲三角函数的图象和性质pptx、第1讲空间几何体的表面积和体积pptx、第1讲平面向量pptx、第1讲数列小题pptx、培优专题函数y=Asinωx+φ中ωφ的范围pptx、培优专题2几何体中的截面交线问题pptx、第1讲直线与圆圆与圆pptx、第1讲导数的几何意义与单调性pptx、第2讲函数的极值与最值pptx、第1讲函数的性质pptx、专题训练•作业42pptx、专题训练•作业38pptx、专题训练•作业27pptx、第4讲解三角形大题pptx、第1讲排列组合与二项式定理pptx、专题训练•作业23pptx、培优专题1球的切接问题pptx、专题训练•作业22pptx、第6讲圆锥曲线中的最值与范围问题pptx、专题训练•作业14pptx、第5讲圆锥曲线的综合应用pptx、专题训练•作业26pptx、专题训练•作业34pptx、专题训练•作业13pptx、专题训练•作业25pptx、专题训练•作业21pptx、专题训练•作业28pptx、第2讲函数的图象零点及应用pptx、专题训练•作业12pptx、专题训练•作业20pptx、专题训练•作业5pptx、第7讲圆锥曲线的定点定值问题pptx、专题1选择题与填空题的解法pptx、培优专题椭圆与双曲线的焦点三角形pptx、专题训练•作业41pptx、第2讲数列大题pptx、专题训练•作业35pptx、第3讲导数的综合应用一pptx、专题训练•作业3pptx、培优专题3分段函数pptx、专题训练•作业4pptx、专题训练•作业2pptx、培优专题3函数的极值点偏移问题pptx、专题训练•作业16pptx、专题训练•作业1pptx、第4讲空间的距离立体几何大题pptx、培优专题1“同构”在导数中的应用pptx、专题训练•作业33pptx、培优专题4洛必达法则pptx、培优专题2函数的嵌套pptx、专题训练•作业29pptx、专题训练•作业31pptx、专题训练•作业24pptx、专题训练•作业36pptx、第4讲导数的综合应用二pptx、专题训练•作业32pptx、培优专题1数列的奇偶项与新数列问题pptx、专题训练•作业17pptx、专题训练•作业10pptx、培优专题1比赛游戏中的概率pptx、专题训练•作业30pptx、专题训练•作业37pptx、专题训练•作业40pptx、培优专题2函数的隐零点问题pptx、第5讲导数的综合应用三pptx、专题训练•作业9pptx、专题训练•作业15pptx、专题训练•作业8pptx、专题训练•作业19pptx、专题训练•作业39pptx、专题训练•作业7pptx、专题训练•作业18pptx、培优专题2概率与导数pptx、培优专题1类周期函数pptx、专题训练•作业6pptx、培优专题2数列与不等式pptx、专题训练•作业11pptx、专题训练•作业23docx、专题训练•作业38docx、专题训练•作业38docx、专题训练•作业22docx、专题训练•作业27docx、专题训练•作业21docx、专题训练•作业20docx、专题训练•作业23docx、专题训练•作业28docx、专题训练•作业14docx、专题训练•作业28docx、专题训练•作业42docx、专题训练•作业42docx、专题训练•作业12docx、专题训练•作业34docx、专题训练•作业13docx、专题训练•作业26docx、专题训练•作业25docx、专题训练•作业41docx、专题训练•作业41docx、专题训练•作业34docx、专题训练•作业27docx、专题训练•作业29docx、专题训练•作业29docx、专题训练•作业5docx、专题训练•作业3docx、专题训练•作业22docx、专题训练•作业2docx、专题训练•作业35docx、专题训练•作业14docx、专题训练•作业35docx、专题训练•作业16docx、专题训练•作业4docx、专题训练•作业26docx、专题训练•作业12docx、专题训练•作业25docx、专题训练•作业24docx、专题训练•作业40docx、专题训练•作业3docx、专题训练•作业40docx、专题训练•作业20docx、专题训练•作业31docx、专题训练•作业21docx、专题训练•作业33docx、专题训练•作业33docx、专题训练•作业31docx、专题训练•作业9docx、专题训练•作业32docx、专题训练•作业38docx、专题训练•作业32docx、专题训练•作业30docx、专题训练•作业4docx、专题训练•作业36docx、专题训练•作业37docx、专题训练•作业37docx、专题训练•作业5docx、专题训练•作业36docx、专题训练•作业35docx、专题训练•作业30docx、专题训练•作业9docx、专题训练•作业17docx、专题训练•作业2docx、专题训练•作业16docx、专题训练•作业15docx、专题训练•作业24docx、专题训练•作业22docx、专题训练•作业13docx、专题训练•作业1docx、专题训练•作业10docx、专题训练•作业10docx、专题训练•作业14docx、专题训练•作业13docx、专题训练•作业39docx、专题训练•作业39docx、专题训练•作业12docx、专题训练•作业27docx、专题训练•作业41docx、专题训练•作业16docx、专题训练•作业5docx、专题训练•作业6docx、专题训练•作业7docx、专题训练•作业7docx、专题训练•作业8docx、专题训练•作业8docx、专题训练•作业1docx、专题训练•作业42docx、专题训练•作业15docx、专题训练•作业17docx、专题训练•作业23docx、专题训练•作业21docx、专题训练•作业20docx、专题训练•作业26docx、专题训练•作业34docx、专题训练•作业18docx、专题训练•作业19docx、专题训练•作业2docx、专题训练•作业33docx、专题训练•作业19docx、专题训练•作业40docx、专题训练•作业3docx、专题训练•作业24docx、专题训练•作业11docx、专题训练•作业4docx、专题训练•作业11docx、专题训练•作业6docx、专题训练•作业25docx、专题训练•作业28docx、专题训练•作业37docx、专题训练•作业18docx、专题训练•作业1docx、专题训练•作业8docx、专题训练•作业29docx、专题训练•作业7docx、专题训练•作业9docx、专题训练•作业32docx、专题训练•作业6docx、专题训练•作业30docx、专题训练•作业31docx、专题训练•作业10docx、专题训练•作业36docx、专题训练•作业11docx、专题训练•作业19docx、专题训练•作业39docx、专题训练•作业18docx、专题训练•作业17docx、专题训练•作业15docx等215份课件配套教学资源,其中PPT共2710页, 欢迎下载使用。
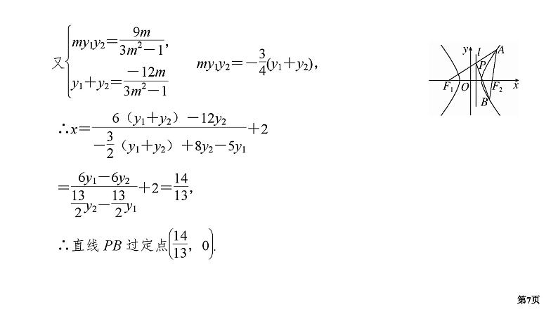
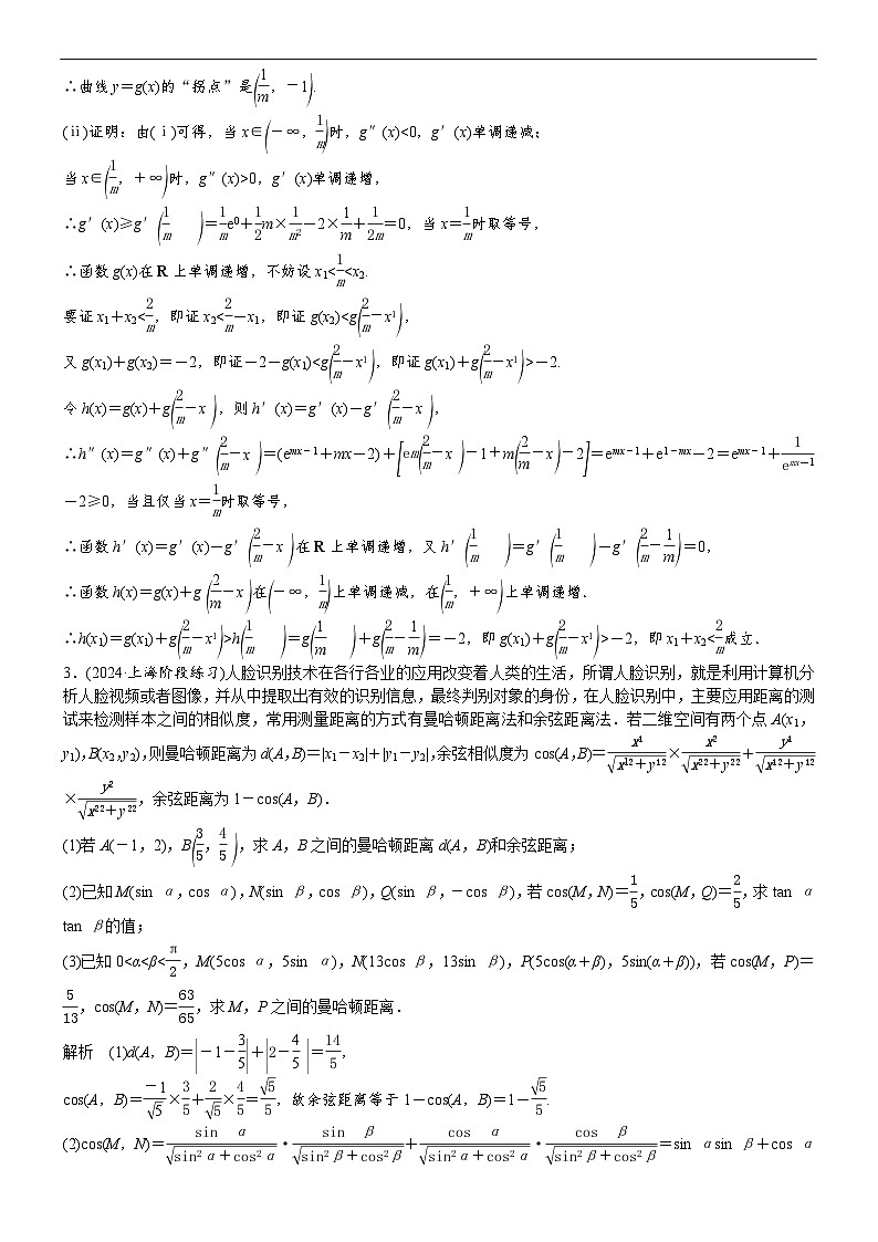
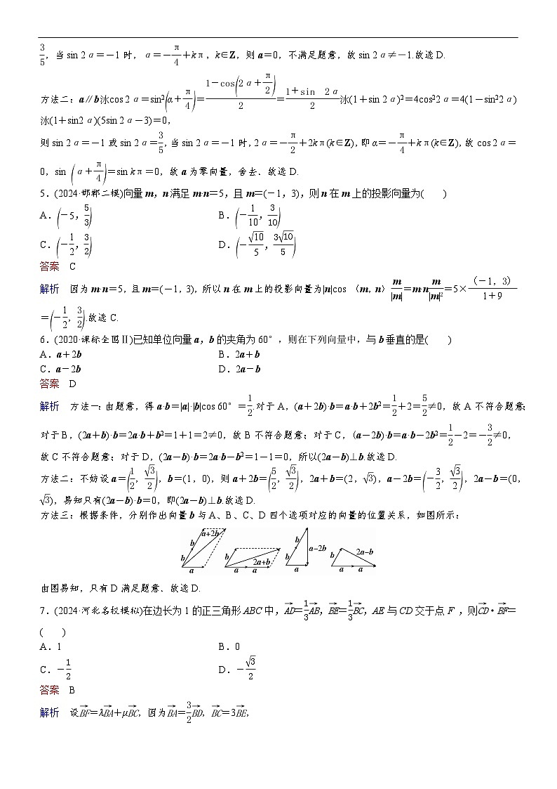
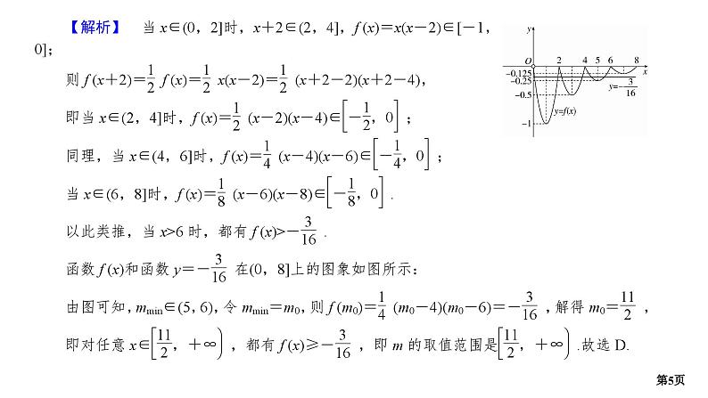
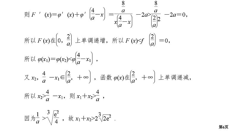
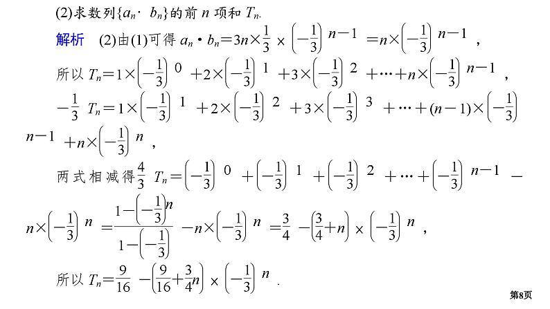
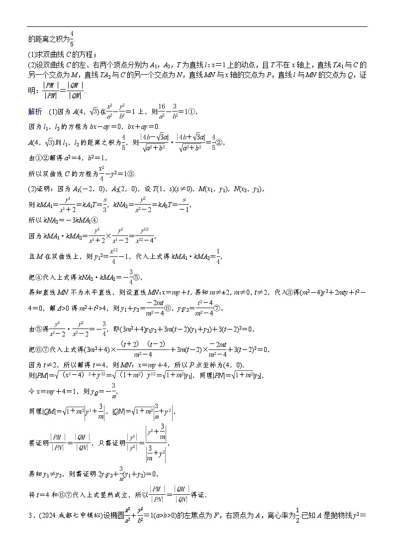
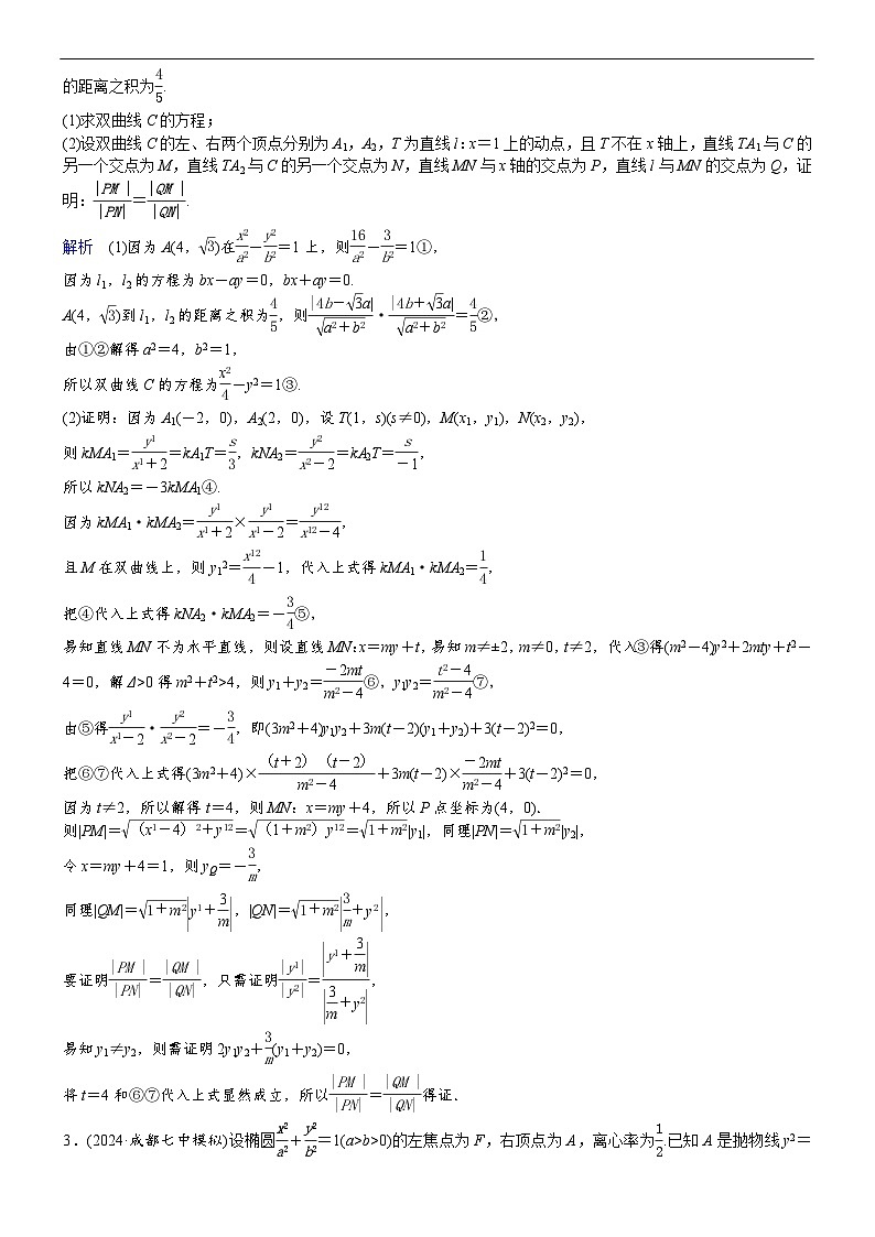
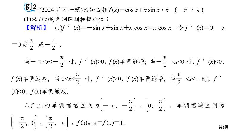
第7讲 圆锥曲线的定点、定值问题
相关课件
这是一份高考总复习优化设计二轮用书数学A配基础版专题课件,文件包含第3讲空间角空间距离pptx、第4讲统计与成对数据的分析pptx、第3讲导数的简单应用pptx、第3讲直线与圆锥曲线的位置关系pptx、专题检测5pptx、第1讲等差数列等比数列pptx、第1讲直线与圆pptx、第1讲函数的图象与性质pptx、第1讲平面向量pptx、第2讲三角函数的化简与求值pptx、第1讲空间几何体pptx、第3讲随机变量及其分布pptx、专题检测2pptx、第3讲三角函数的图象与性质pptx、第2讲圆锥曲线中的基本问题pptx、专题检测4pptx、第5讲利用导数研究函数的零点pptx、专题检测6pptx、第2讲基本初等函数函数的应用pptx、第2讲立体几何中的证明问题pptx、第2讲概率模型pptx、专题检测3pptx、专题检测1pptx、微培优5三角形中的特殊线段问题pptx、微培优4三角函数中ωφ的范围问题pptx、专题突破练3导数的简单应用pptx、第3讲数列求和pptx、第1讲计数原理pptx、第4讲解三角形pptx、第4讲利用导数研究不等式pptx、第2讲数列的递推关系pptx、微培优9空间中的翻折探究性问题pptx、微培优1函数图象的公切线问题pptx、专题突破练22直线与圆锥曲线的位置关系pptx、专题突破练17空间几何体pptx、专题突破练21圆锥曲线中的基本问题pptx、专题突破练1函数的图象与性质pptx、专题突破练6平面向量pptx、专题突破练9解三角形pptx、专题突破练11数列的递推关系pptx、专题突破练2基本初等函数函数的应用pptx、微培优8概率统计与其他知识交汇的综合问题pptx、专题突破练8三角函数的图象与性质pptx、微培优6用函数视角看数列pptx、微培优10定值定点与定直线问题pptx、专题突破练18立体几何中的证明问题pptx、微培优12证明与探索性问题pptx、专题突破练10等差数列等比数列pptx、微培优2原函数与导函数混合构造问题pptx、专题突破练12数列求和pptx、专题突破练20直线与圆pptx、专题突破练7三角函数的化简与求值pptx、微培优7数列中的情境创新与数学文化pptx、规范解答6解析几何pptx、微培优3同构函数问题pptx、专题突破练14概率模型pptx、专题突破练13计数原理pptx、专题突破练19空间角空间距离pptx、微培优11最值与范围问题pptx、专题突破练4利用导数研究不等式pptx、专题突破练16统计与成对数据的分析pptx、专题突破练5利用导数研究函数的零点pptx、专题突破练15随机变量及其分布pptx、规范解答1函数与导数pptx、规范解答2三角函数与解三角形pptx、规范解答4概率与统计pptx、规范解答5立体几何pptx、规范解答3数列pptx、知识体系建构图函数与导数pptx、知识体系建构图平面向量三角函数与解三角形pptx、知识体系建构图立体几何pptx、知识体系建构图数列pptx、知识体系建构图概率与统计pptx、知识体系建构图解析几何pptx等74份课件配套教学资源,其中PPT共2311页, 欢迎下载使用。
这是一份高考数学二轮专题总复习配套课件,文件包含题组层级快练51ppt、题组层级快练50ppt、题组层级快练48ppt、题组层级快练42ppt、题组层级快练33ppt、题组层级快练76ppt、题组层级快练74ppt、题组层级快练67ppt、题组层级快练30ppt、题组层级快练27ppt、题组层级快练58ppt、题组层级快练73ppt、题组层级快练61ppt、题组层级快练28ppt、题组层级快练75ppt、题组层级快练66ppt、题组层级快练52ppt、题组层级快练57ppt、题组层级快练1ppt、专题层级快练45ppt、题组层级快练18ppt、题组层级快练49ppt、题组层级快练72ppt、题组层级快练41ppt、题组层级快练71ppt、题组层级快练47ppt、题组层级快练44ppt、题组层级快练31ppt、专题层级快练15ppt、题组层级快练46ppt、题组层级快练25ppt、题组层级快练17ppt、题组层级快练37ppt、题组层级快练59ppt、题组层级快练6ppt、题组层级快练68ppt、题组层级快练39ppt、题组层级快练9ppt、题组层级快练12ppt、题组层级快练34ppt、专题层级快练77ppt、题组层级快练36ppt、题组层级快练14ppt、题组层级快练16ppt、题组层级快练4ppt、题组层级快练8ppt、题组层级快练69ppt、题组层级快练26ppt、题组层级快练11ppt、题组层级快练38ppt、题组层级快练35ppt、题组层级快练5ppt、题组层级快练40ppt、题组层级快练2ppt、题组层级快练10ppt、题组层级快练56ppt、题组层级快练70ppt、题组层级快练24ppt、题组层级快练54ppt、专题层级快练62ppt、题组层级快练13ppt、题组层级快练7ppt、题组层级快练3ppt、题组层级快练60ppt、题组层级快练53ppt、题组层级快练55ppt、专题层级快练29ppt、专题层级快练65ppt、专题层级快练63ppt、专题层级快练64ppt、专题层级快练43ppt、专题层级快练23ppt、专题层级快练21ppt、题组层级快练32ppt、专题层级快练20ppt、专题层级快练19ppt、专题层级快练22ppt等77份课件配套教学资源,其中PPT共2667页, 欢迎下载使用。
这是一份2024 全品高考第二轮数学专题学生用书配套课件,文件包含06模块六函数导数与不等式答案听课手册docx、06模块六函数导数与不等式答案作业手册docx、06模块六函数导数与不等式正文听课手册docx、05模块五解析几何答案听课手册docx、01模块一三角函数与解三角形平面向量答案听课手册docx、03模块三立体几何答案听课手册docx、03模块三立体几何答案作业手册docx、06模块六函数导数与不等式正文作业手册docx、04模块四统计与概率正文听课手册docx、05模块五解析几何正文听课手册docx、04模块四统计与概率正文作业手册docx、01模块一三角函数与解三角形平面向量正文听课手册docx、04模块四统计与概率答案听课手册docx、01模块一三角函数与解三角形平面向量答案作业手册docx、04模块四统计与概率答案作业手册docx、02模块二数列答案听课手册docx、05模块五解析几何答案作业手册docx、03模块三立体几何正文听课手册docx、03模块三立体几何正文作业手册docx、01模块一三角函数与解三角形平面向量正文作业手册docx、02模块二数列正文听课手册docx、05模块五解析几何正文作业手册docx、02模块二数列答案作业手册docx、02模块二数列正文作业手册docx等24份课件配套教学资源,其中PPT共0页, 欢迎下载使用。

