资料中包含下列文件,点击文件名可预览资料内容





还剩2页未读,
继续阅读
所属成套资源:高中试卷专辑
成套系列资料,整套一键下载
江苏徐州零模2025届高三期中考数学试题及答案
展开
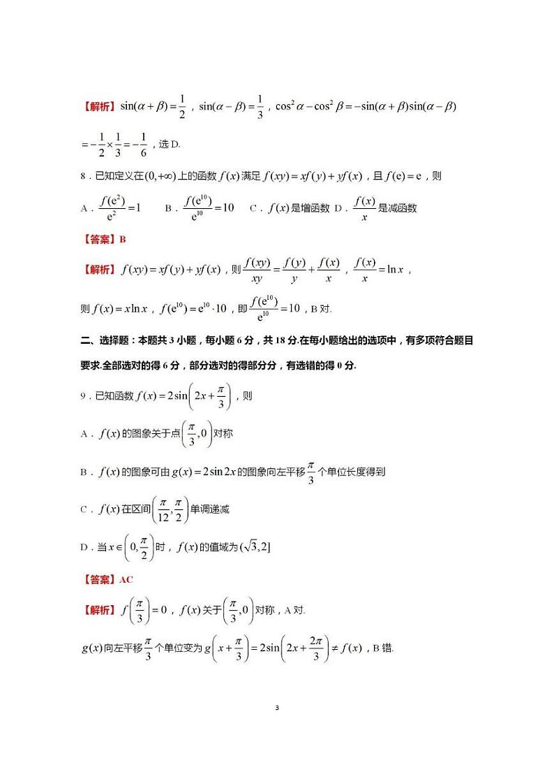
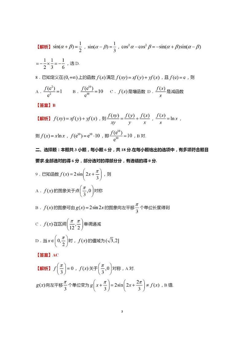
这是一份江苏徐州零模2025届高三期中考数学试题及答案,文件包含数学试卷徐州2025届高三期中考零模pdf、数学答案徐州2025届高三期中考零模pdf等2份试卷配套教学资源,其中试卷共17页, 欢迎下载使用。
相关试卷
2025南昌零模数学试题+答案:
这是一份2025南昌零模数学试题+答案,文件包含2025南昌零模数学试卷pdf、2025南昌零模高三数学答案pdf等2份试卷配套教学资源,其中试卷共8页, 欢迎下载使用。
2024北京北师大实验中学高三一模前零模数学试题及答案:
这是一份2024北京北师大实验中学高三一模前零模数学试题及答案,共19页。
2024北京八中高三一模前零模数学试题及答案:
这是一份2024北京八中高三一模前零模数学试题及答案,共18页。