


还剩4页未读,
继续阅读
所属成套资源:2025“BEST合作体”高一上学期期末考试及答案(九科)
成套系列资料,整套一键下载
2025“BEST合作体”高一上学期期末考试数学PDF版含答案
展开
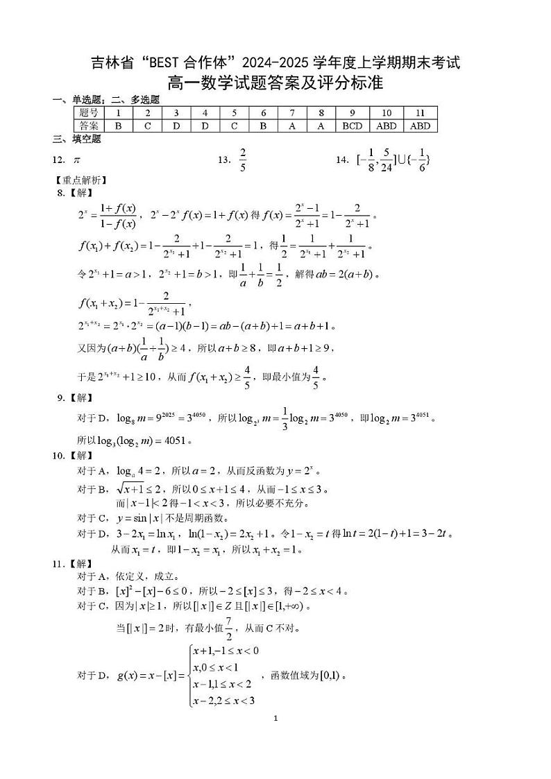
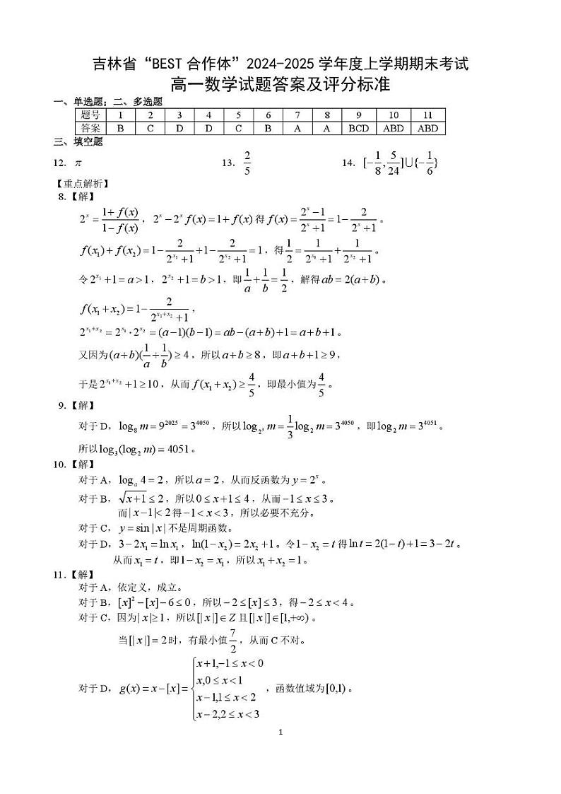
这是一份2025“BEST合作体”高一上学期期末考试数学PDF版含答案,共7页。
相关试卷
2025“BEST合作体”高二上学期期末考试数学含答案:
这是一份2025“BEST合作体”高二上学期期末考试数学含答案,文件包含吉林省“BEST合作体”2024-2025学年高二上学期期末考试数学答案pdf、吉林省“BEST合作体”2024-2025学年高二上学期期末考试数学试卷docx等2份试卷配套教学资源,其中试卷共7页, 欢迎下载使用。
吉林省“BEST合作体”2024-2025学年高二上学期期末考试数学试卷(含答案):
这是一份吉林省“BEST合作体”2024-2025学年高二上学期期末考试数学试卷(含答案),共14页。试卷主要包含了选择题,多项选择题,填空题,解答题等内容,欢迎下载使用。
吉林省“BEST合作体”2024-2025学年高一上学期期末考试数学试卷(PDF版附答案):
这是一份吉林省“BEST合作体”2024-2025学年高一上学期期末考试数学试卷(PDF版附答案),共7页。