资料中包含下列文件,点击文件名可预览资料内容
还剩5页未读,
继续阅读
所属成套资源:2020港澳台华侨生全国联考招生试题(高三)及答案(九科)
成套系列资料,整套一键下载
2020港澳台华侨生全国联考招生数学真题PDF版含解析
展开
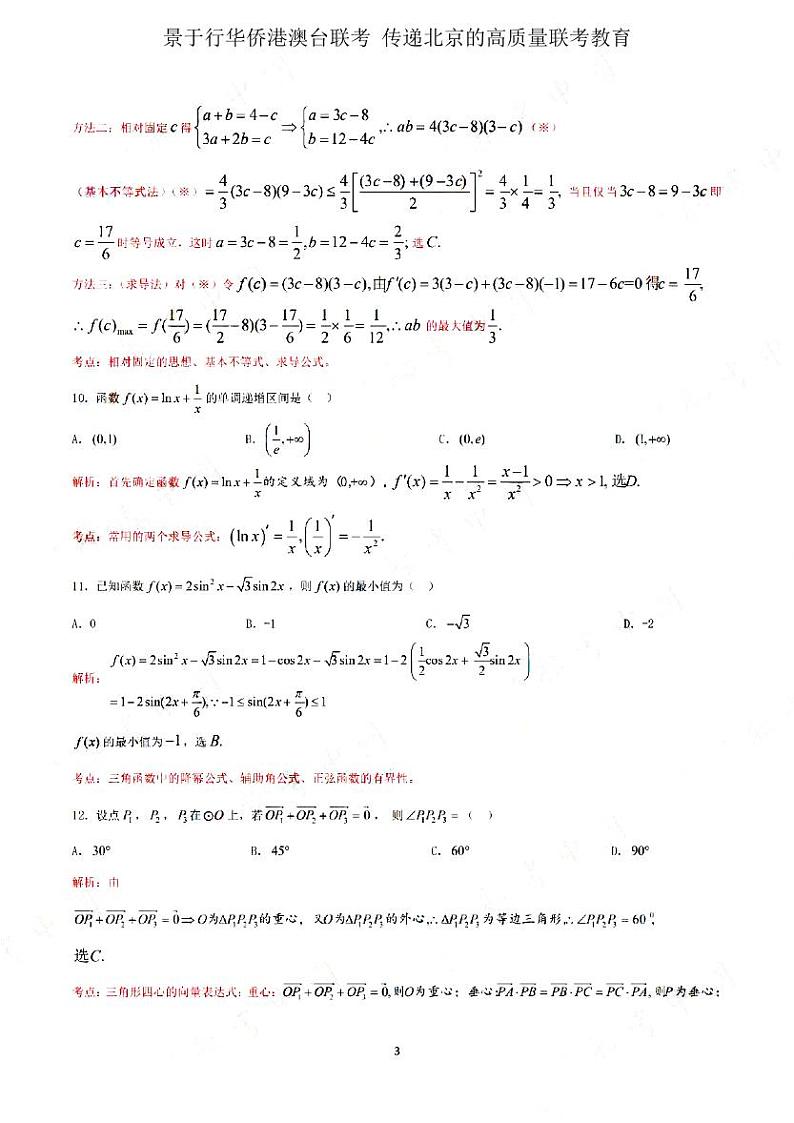
这是一份2020港澳台华侨生全国联考招生数学真题PDF版含解析,文件包含2020年联考数学真题解析pdf、2020年联考数学真题-简体pdf等2份试卷配套教学资源,其中试卷共11页, 欢迎下载使用。
相关试卷
2018港澳台华侨生全国联考招生数学真题PDF版含解析:
这是一份2018港澳台华侨生全国联考招生数学真题PDF版含解析,文件包含2018年华侨港澳台联考数学真题答案pdf、2018年全国联考数学真题pdf等2份试卷配套教学资源,其中试卷共11页, 欢迎下载使用。
2019港澳台华侨生全国联考招生数学真题PDF版含解析:
这是一份2019港澳台华侨生全国联考招生数学真题PDF版含解析,文件包含2019联考数学试卷pdf、2019年全国联招数学答案解析pdf等2份试卷配套教学资源,其中试卷共9页, 欢迎下载使用。
2021港澳台华侨生全国联考招生数学真题PDF版含解析:
这是一份2021港澳台华侨生全国联考招生数学真题PDF版含解析,文件包含2021联考数学答案pdf、2021年全国联考数学真题pdf等2份试卷配套教学资源,其中试卷共12页, 欢迎下载使用。

