


还剩3页未读,
继续阅读
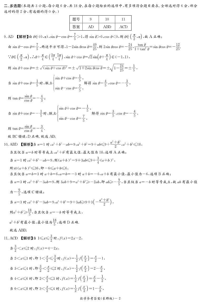
湖南省长沙市长郡中学2024-2025学年高一上学期1月期末考试数学试题答案
展开
这是一份湖南省长沙市长郡中学2024-2025学年高一上学期1月期末考试数学试题答案,共6页。
相关试卷
湖南省长沙市长郡中学2024-2025学年高一上学期1月期末考试数学试题:
这是一份湖南省长沙市长郡中学2024-2025学年高一上学期1月期末考试数学试题,共8页。
湖南省长沙市长郡中学2024-2025学年高二上学期期末考试数学试题:
这是一份湖南省长沙市长郡中学2024-2025学年高二上学期期末考试数学试题,共6页。
湖南省长沙市长郡中学2024-2025学年高一上学期1月期末考试数学试题(PDF版附答案):
这是一份湖南省长沙市长郡中学2024-2025学年高一上学期1月期末考试数学试题(PDF版附答案),文件包含数学期末试卷长郡高一pdf、数学期末答案长郡高一pdf等2份试卷配套教学资源,其中试卷共14页, 欢迎下载使用。