所属成套资源:2025高考数学一轮复习【课件】专辑
2025高考数学一轮复习-第四章-第八节 第三课时 解三角形的综合应用【课件】
展开
这是一份2025高考数学一轮复习-第四章-第八节 第三课时 解三角形的综合应用【课件】,共36页。PPT课件主要包含了CONTENTS,考点聚焦突破,感悟提升,课时分层精练等内容,欢迎下载使用。
KAODIANJUJIAOTUPO
考点一 多边形中的解三角形问题
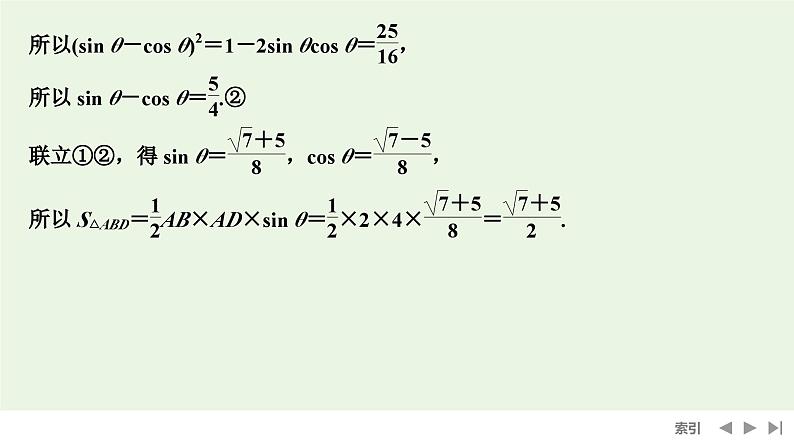
(2)线段AC的长度.
由余弦定理,得BC2=BD2=AD2+AB2-2AD×AB×cs θ
平面几何中解三角形问题的求解思路(1)把所提供的平面图形拆分成若干个三角形,然后在各个三角形内利用正弦、余弦定理求解;(2)寻找各个三角形之间的联系,交叉使用公共条件,求出结果.
(2)△BCD的面积.
考点二 三角形中的最值(范围)
[满分规则]❶得步骤分①处的实质都是解三角方程,都要注意写清楚角的范围,否则易失步骤分.❷得关键分②处消去角A是本题得解的关键所在.❸得计算分③处利用基本不等式求最小的关键是把目标函数化为其适用形式.
解 选①:由正弦定理及2a-b=2ccs B,得2sin A-sin B=2sin Ccs B,又∵sin A=sin[π-(B+C)]=sin(B+C)=sin Bcs C+cs Bsin C,∴2sin Bcs C=sin B.
考点三 三角形中的证明问题
例3 (2022·全国乙卷)设△ABC的内角A,B,C的对边分别为a,b,c,已知sin Csin(A-B)=sin Bsin(C-A).(1)若A=2B,求C;
将A=2B代入sin Csin(A-B)=sin Bsin(C-A),可得sin Csin B=sin Bsin(C-A).因为B∈(0,π),所以sin B≠0,所以sin C=sin(C-A).
(2)证明:2a2=b2+c2.
证明 法一 由sin Csin(A-B)=sin Bsin(C-A),可得sin Csin Acs B-sin Ccs Asin B=sin Bsin Ccs A-sin Bcs Csin A,结合正弦定理可得,accs B-bccs A=bccs A-abcs C,即accs B+abcs C=2bccs A(*).
2bccs A=b2+c2-a2,将上述三式代入(*)式并整理,得2a2=b2+c2.
法二 因为A+B+C=π,所以sin Csin(A-B)=sin(A+B)sin(A-B)=sin2Acs2B-cs2Asin2B=sin2A(1-sin2B)-(1-sin2A)sin2B=sin2A-sin2B,同理有sin Bsin(C-A)=sin(C+A)sin(C-A)=sin2C-sin2A.又sin Csin(A-B)=sin Bsin(C-A),所以sin2A-sin2B=sin2C-sin2A,即2sin2A=sin2B+sin2C,故由正弦定理可得2a2=b2+c2.
对于解三角形中的证明问题,要仔细观察条件与结论之间的联系,发现二者的差异,利用正弦定理、余弦定理及三角恒等变换把条件转换为结论,即为证明过程.
训练3 (2024·开封调研)已知△ABC的内角A,B,C的对边分别为a,b,c,sin(B-C)·tan A=sin Bsin C.(1)若A=B,求sin2A的值;
∵0
相关课件
这是一份2025高考数学一轮复习-第四章-第八节 第二课时 三角形高线、中线、角平分线的计算【课件】,共46页。PPT课件主要包含了考点聚焦突破,考点一三角形的高线,考点二三角形的中线,课时分层精练,ACD等内容,欢迎下载使用。
这是一份2025高考数学一轮复习-第四章-第八节 第一课时 正弦定理和余弦定理【课件】,共55页。PPT课件主要包含了知识诊断自测,考点聚焦突破,拓展视野射影定理,课时分层精练等内容,欢迎下载使用。
这是一份2025版高考数学全程一轮复习第四章三角函数与解三角形高考大题研究课四正弦定理余弦定理的综合应用课件,共22页。

