还剩4页未读,
继续阅读
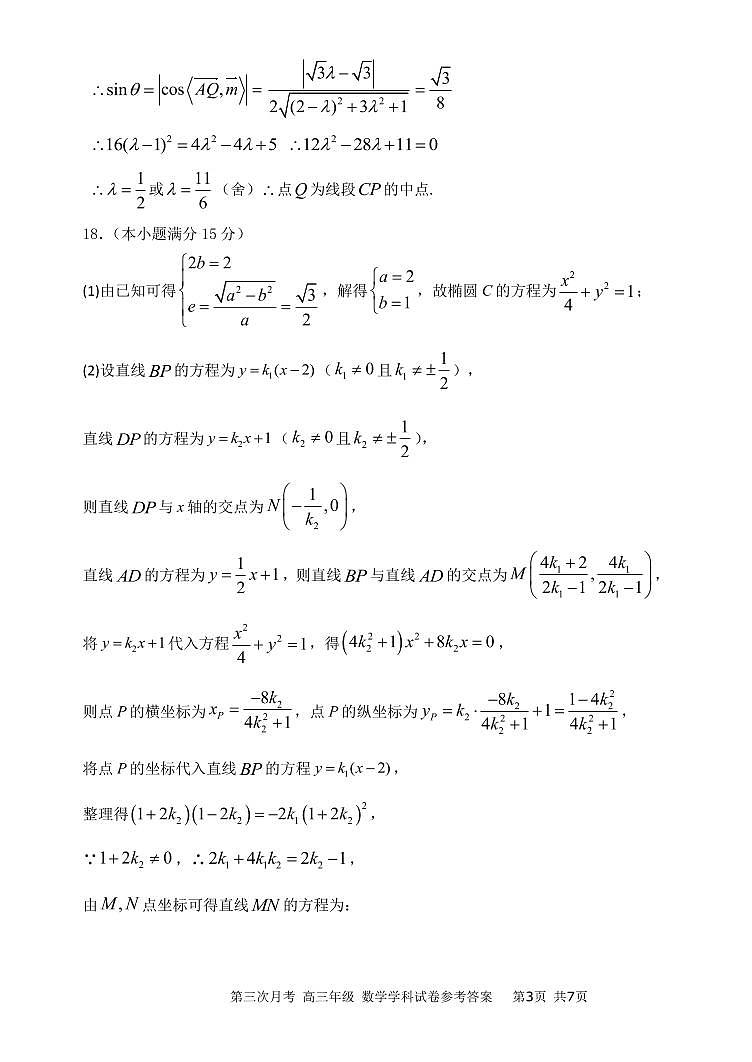
天津市耀华中学2025届高三年级三月考数学试卷及参考答案
展开
这是一份天津市耀华中学2025届高三年级三月考数学试卷及参考答案,共7页。
相关试卷
2024~2025学年天津市耀华中学高三(上)第二次月考数学试卷(含答案):
这是一份2024~2025学年天津市耀华中学高三(上)第二次月考数学试卷(含答案),共8页。
2024-2025学年天津市耀华中学高三(上)第一次月考数学试卷(含答案):
这是一份2024-2025学年天津市耀华中学高三(上)第一次月考数学试卷(含答案),共8页。试卷主要包含了单选题,填空题,解答题等内容,欢迎下载使用。
天津市耀华中学2025届高三上学期第一次月考数学试卷:
这是一份天津市耀华中学2025届高三上学期第一次月考数学试卷,共4页。

