





所属成套资源:【备战2025年中考】一轮复习 初中数学 真题分项汇编
【备战2025年中考】一轮复习 初中数学 真题分项汇编 专题11 一次函数与反比例函数综合(原卷版+解析版)
展开
这是一份【备战2025年中考】一轮复习 初中数学 真题分项汇编 专题11 一次函数与反比例函数综合(原卷版+解析版),文件包含备战2025年中考一轮复习初中数学真题分项汇编专题11一次函数与反比例函数综合原卷版doc、备战2025年中考一轮复习初中数学真题分项汇编专题11一次函数与反比例函数综合解析版doc等2份试卷配套教学资源,其中试卷共45页, 欢迎下载使用。
一、选择题
1. (2024安徽省)已知反比例函数与一次函数的图象的一个交点的横坐标为3,则k的值为( )
A.B. C. 1D. 3
2. (2024四川泸州)已知关于x的一元二次方程无实数根,则函数与函数的图象交点个数为( )
A. 0B. 1C. 2D. 3
二、填空题
1. (2024山东威海)如图,在平面直角坐标系中,直线与双曲线交于点,.则满足的的取值范围______.
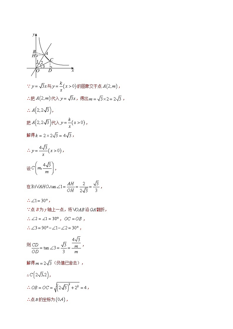
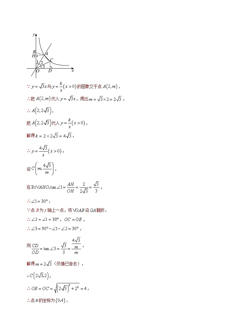
2.(2024四川广元) 已知与的图象交于点,点B为y轴上一点,将沿翻折,使点B恰好落在上点C处,则B点坐标为______.
三、解答题
1. (2024江西省)如图,是等腰直角三角形,,双曲线经过点B,过点作x轴的垂线交双曲线于点C,连接.
(1)点B的坐标为______;
(2)求所在直线的解析式.
2. (2024甘肃临夏)如图,直线与双曲线交于,两点,已知点坐标为.
(1)求,的值;
(2)将直线向上平移个单位长度,与双曲线在第二象限的图象交于点,与轴交于点,与轴交于点,若,求的值.
3.(2024甘肃威武) 如图,在平面直角坐标系中,将函数的图象向上平移3个单位长度,得到一次函数的图象,与反比例函数的图象交于点.过点作x轴的平行线分别交与的图象于C,D两点.
(1)求一次函数和反比例函数的表达式;
(2)连接,求的面积.
4. (2024湖北省)一次函数经过点,交反比例函数于点.
(1)求;
(2)点在反比例函数第一象限的图象上,若,直接写出的横坐标的取值范围.
5. (2024江苏连云港)如图1,在平面直角坐标系中,一次函数的图像与反比例函数的图像交于点A、B,与轴交于点C,点A的横坐标为2.
(1)求的值;
(2)利用图像直接写出时的取值范围;
(3)如图2,将直线沿轴向下平移4个单位,与函数的图像交于点D,与轴交于点E,再将函数的图像沿平移,使点A、D分别平移到点C、F处,求图中阴影部分的面积.
6. (2024山东枣庄)列表法、表达式法、图像法是三种表示函数的方法,它们从不同角度反映了自变量与函数值之间的对应关系.下表是函数与部分自变量与函数值的对应关系:
(1)求、的值,并补全表格;
(2)结合表格,当的图像在的图像上方时,直接写出的取值范围.
7. (2024上海市)在平面直角坐标系中,反比例函数(k为常数且)上有一点,且与直线交于另一点.
(1)求k与m的值;
(2)过点A作直线轴与直线交于点C,求的值.
8. (2024重庆市B)如图,在中,,,点为上一点,过点作交于点.设的长度为,点,的距离为,的周长与的周长之比为.
(1)请直接写出,分别关于的函数表达式,并注明自变量的取值范围;
(2)在给定的平面直角坐标系中画出函数,的图象;请分别写出函数,的一条性质;
(3)结合函数图象,直接写出时的取值范围.(近似值保留一位小数,误差不超过)
9. (2024四川成都市)如图,在平面直角坐标系中,直线与直线相交于点,与轴交于点,点在反比例函数图象上.
(1)求,,的值;
(2)若,,,为顶点的四边形为平行四边形,求点的坐标和的值;
(3)过,两点的直线与轴负半轴交于点,点与点关于轴对称.若有且只有一点,使得与相似,求的值.
10. (2024四川德阳)如图,一次函数与反比例函数的图象交于点.
(1)求的值和反比例函数的解析式;
(2)将直线向下平移个单位长度后得直线,若直线与反比例函数的图象的交点为,求的值,并结合图象求不等式的解集.
11. (2024四川广安)如图,一次函数(,为常数,)的图象与反比例函数(为常数,)的图象交于,两点.
(1)求一次函数和反比例函数的解析式.
(2)直线与轴交于点,点是轴上的点,若的面积大于12,请直接写出的取值范围.
12. (2024四川广元)如图,已知反比例函数和一次函数的图象相交于点,两点,O为坐标原点,连接,.
(1)求与的解析式;
(2)当时,请结合图象直接写出自变量x取值范围;
(3)求的面积.
13. (2024四川乐山)如图,已知点、在反比例函数的图象上,过点的一次函数的图象与轴交于点.
(1)求、的值和一次函数的表达式;
(2)连接,求点到线段的距离.
14. (2024四川凉山)如图,正比例函数与反比例函数的图象交于点.
(1)求反比例函数的解析式;
(2)把直线向上平移3个单位长度与的图象交于点,连接,求的面积.
15. (2024四川泸州)如图,在平面直角坐标系中,一次函数与x轴相交于点,与反比例函数的图象相交于点.
(1)求一次函数和反比例函数的解析式;
(2)直线与反比例函数和的图象分别交于点C,D,且,求点C的坐标.
16. (2024四川眉山)如图,在平面直角坐标系中,一次函数与反比例函数的图象交于点,,与轴,轴分别交于,两点.
(1)求一次函数和反比例函数的表达式;
(2)若点在轴上,当的周长最小时,请直接写出点的坐标;
(3)将直线向下平移个单位长度后与轴,轴分别交于,两点,当时,求的值.
17.(2024四川南充) 如图,直线经过两点,与双曲线交于点.
(1)求直线和双曲线的解析式.
(2)过点C作轴于点D,点P在x轴上,若以O,A,P为顶点的三角形与相似,直接写出点P的坐标.
18. (2024四川自贡)如图,在平面直角坐标系中,一次函数的图象与反比例函数的图象交于,两点.
(1)求反比例函数和一次函数的解析式;
(2)P是直线上的一个动点,的面积为21,求点P坐标;
(3)点Q在反比例函数位于第四象限的图象上,的面积为21,请直接写出Q点坐标.
1
1
________
________
________
7
相关试卷
这是一份【备战2025年中考】一轮复习 初中数学 真题分项汇编 专题28 概率(原卷版+解析版),文件包含备战2025年中考一轮复习初中数学真题分项汇编专题28概率原卷版doc、备战2025年中考一轮复习初中数学真题分项汇编专题28概率解析版doc等2份试卷配套教学资源,其中试卷共35页, 欢迎下载使用。
这是一份【备战2025年中考】一轮复习 初中数学 真题分项汇编 专题27 统计(原卷版+解析版),文件包含备战2025年中考一轮复习初中数学真题分项汇编专题27统计原卷版doc、备战2025年中考一轮复习初中数学真题分项汇编专题27统计解析版doc等2份试卷配套教学资源,其中试卷共38页, 欢迎下载使用。
这是一份【备战2025年中考】一轮复习 初中数学 真题分项汇编 专题26 投影与视图(原卷版+解析版),文件包含备战2025年中考一轮复习初中数学真题分项汇编专题26投影与视图原卷版doc、备战2025年中考一轮复习初中数学真题分项汇编专题26投影与视图解析版doc等2份试卷配套教学资源,其中试卷共18页, 欢迎下载使用。