资料中包含下列文件,点击文件名可预览资料内容
还剩3页未读,
继续阅读
所属成套资源:江苏省苏州市2024-2025学年高三上学期期末学业质量阳光指标调研试卷及答案(苏州零模)9科全
成套系列资料,整套一键下载
【精品解析】江苏省苏州市2024-2025年学业质量阳光指标调研高三期末数学试题(原卷版+解析版)(苏州零模)
展开
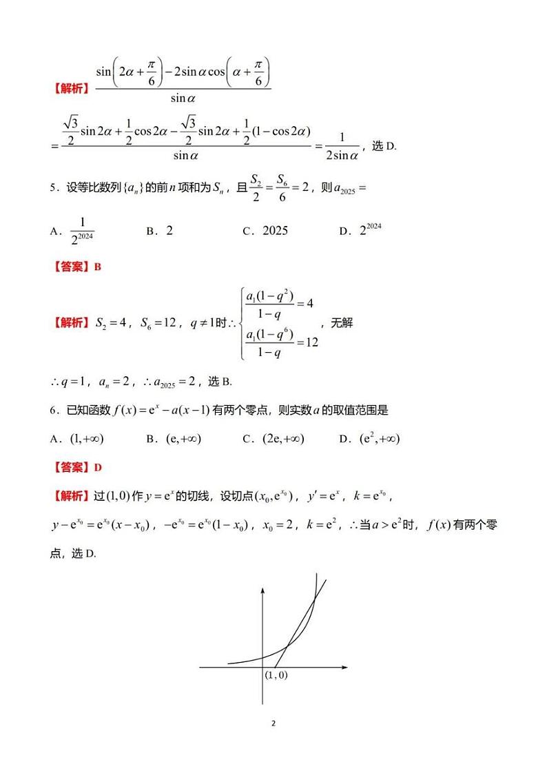
这是一份【精品解析】江苏省苏州市2024-2025年学业质量阳光指标调研高三期末数学试题(原卷版+解析版)(苏州零模),文件包含精品解析江苏省苏州市2024-2025年学业质量阳光指标调研高三期末数学试题原卷版pdf、精品解析江苏省苏州市2024-2025年学业质量阳光指标调研高三期末数学试题解析版pdf等2份试卷配套教学资源,其中试卷共23页, 欢迎下载使用。
相关试卷
江苏省苏州市2024届高三(上)学业质量阳光指标调研月考数学试卷(含解析):
这是一份江苏省苏州市2024届高三(上)学业质量阳光指标调研月考数学试卷(含解析),共14页。
江苏省苏州市2024届高三(上)学业质量阳光指标调研考试数学试卷(解析版):
这是一份江苏省苏州市2024届高三(上)学业质量阳光指标调研考试数学试卷(解析版),共19页。试卷主要包含了 设集合,集合,则集合, 设为虚数单位,复数满足,则, 若是函数的一个零点,则等内容,欢迎下载使用。
379.江苏省苏州市学业质量阳光指标调研2024届高三数学试题:
这是一份379.江苏省苏州市学业质量阳光指标调研2024届高三数学试题,共6页。

