还剩23页未读,
继续阅读
所属成套资源:高中数学人教A版2019选择性必修第一册同步精品课件
成套系列资料,整套一键下载
数学选择性必修 第一册3.3 抛物线背景图ppt课件
展开
这是一份数学选择性必修 第一册3.3 抛物线背景图ppt课件,共31页。PPT课件主要包含了CONTENTS,思维导图,知识梳理,真题模拟题,典型例题等内容,欢迎下载使用。
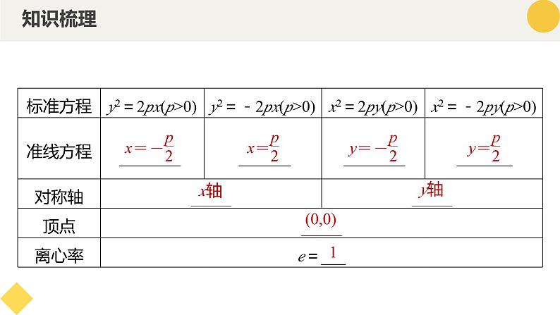
2.抛物线的简单几何性质
题型一:抛物线的几何性质
题型二:直线与抛物线的位置关系
题型五:弦长、面积问题
相关课件
高中数学人教A版 (2019)必修 第一册2.1 等式性质与不等式性质背景图课件ppt:
这是一份高中数学人教A版 (2019)必修 第一册2.1 等式性质与不等式性质背景图课件ppt,共31页。PPT课件主要包含了思维导图,知识梳理,真题模拟题,典型例题,稿定PPT,作差法,ab∈R,作商法,acbc,a+cb+d等内容,欢迎下载使用。
高中数学人教A版 (2019)选择性必修 第一册3.3 抛物线说课ppt课件:
这是一份高中数学人教A版 (2019)选择性必修 第一册3.3 抛物线说课ppt课件,共26页。PPT课件主要包含了例题研讨,学习例题的正规表达,小组互动等内容,欢迎下载使用。
人教A版 (2019)选择性必修 第一册3.3 抛物线图片课件ppt:
这是一份人教A版 (2019)选择性必修 第一册3.3 抛物线图片课件ppt,共34页。PPT课件主要包含了学习目标,情景导入,复习导入,直线与抛物线,得到一元一次方程,得到一元二次方程,相交一个交点,不平行,抛物线中的最值,弦长与弦中点问题等内容,欢迎下载使用。

