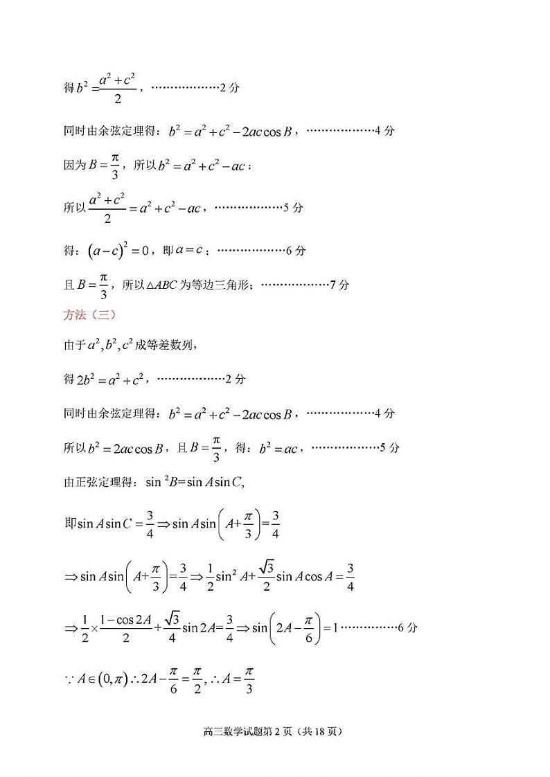
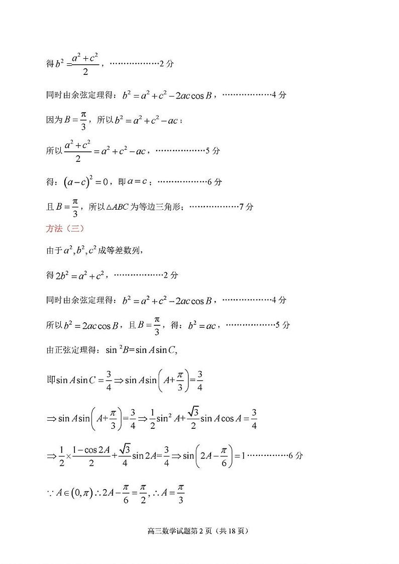
资料中包含下列文件,点击文件名可预览资料内容





还剩2页未读,
继续阅读
所属成套资源:2025淄博高三上学期期末摸底试题及答案(九科)
成套系列资料,整套一键下载
2025淄博高三上学期期末摸底试题数学PDF版含答案
展开
这是一份2025淄博高三上学期期末摸底试题数学PDF版含答案,文件包含数学试卷pdf、数学试卷答案pdf等2份试卷配套教学资源,其中试卷共22页, 欢迎下载使用。
相关试卷
山东省淄博市2024-2025学年高三上学期期末摸底质量检测数学试卷(PDF版附答案):
这是一份山东省淄博市2024-2025学年高三上学期期末摸底质量检测数学试卷(PDF版附答案),文件包含数学试卷pdf、数学试卷答案pdf等2份试卷配套教学资源,其中试卷共22页, 欢迎下载使用。
山东省淄博市2024-2025学年高三上学期期末摸底质量检测数学试题及答案:
这是一份山东省淄博市2024-2025学年高三上学期期末摸底质量检测数学试题及答案,共22页。
2025海口高三上学期10月摸底考试数学PDF版含答案:
这是一份2025海口高三上学期10月摸底考试数学PDF版含答案,共10页。