


所属成套资源:辽宁省沈阳市五校协作体2024-2025学年高二上学期期末联考各学科试卷及答案
辽宁省沈阳市五校协作体2024-2025学年高二上学期期末联考数学试卷(Word版附答案)
展开
这是一份辽宁省沈阳市五校协作体2024-2025学年高二上学期期末联考数学试卷(Word版附答案),共12页。试卷主要包含了直线的倾斜角是,直线与直线平行,则实数值为,下列说法命题正确的是等内容,欢迎下载使用。
时间:120分钟 分数:150分
试卷说明:试卷共两部分:第一部分:选择题型(1—11题58分)第二部分:非选择题型(12—19题92分)
第I卷(选择题共58分)
一、单选题(本大题共8小题,每小题5分,共40分)
1.直线的倾斜角是( )
A. B. C. D.
2已知向量,若,则( )
A.4 B.3 C.2 D.1
3.在的二项展开式中,只有第四项的二项式系数最大,则展开式的项数是( )
A.7 B.8 C.9 D.10
4.直线与直线平行,则实数值为( )
A.1 B.1或 C. D.或2
5.用红,黄,蓝三种颜色给如图所示的六个相连的圆涂色,若每种颜色只能涂两个圆,且相邻两个圆所涂颜色不能相同,则不同的涂色方案的种数是( )
A.12 B.24 C.30 D.36
6.已知圆,圆,其中,若两圆外切,则的取值范围为( )
A. B. C. D.
7.在棱长为2的正方体中,点是侧面正方形内的动点,点是正方形
的中心,且与平面所成角的正弦值是,则动点的轨迹图形的面积为( )
A. B. C. D.
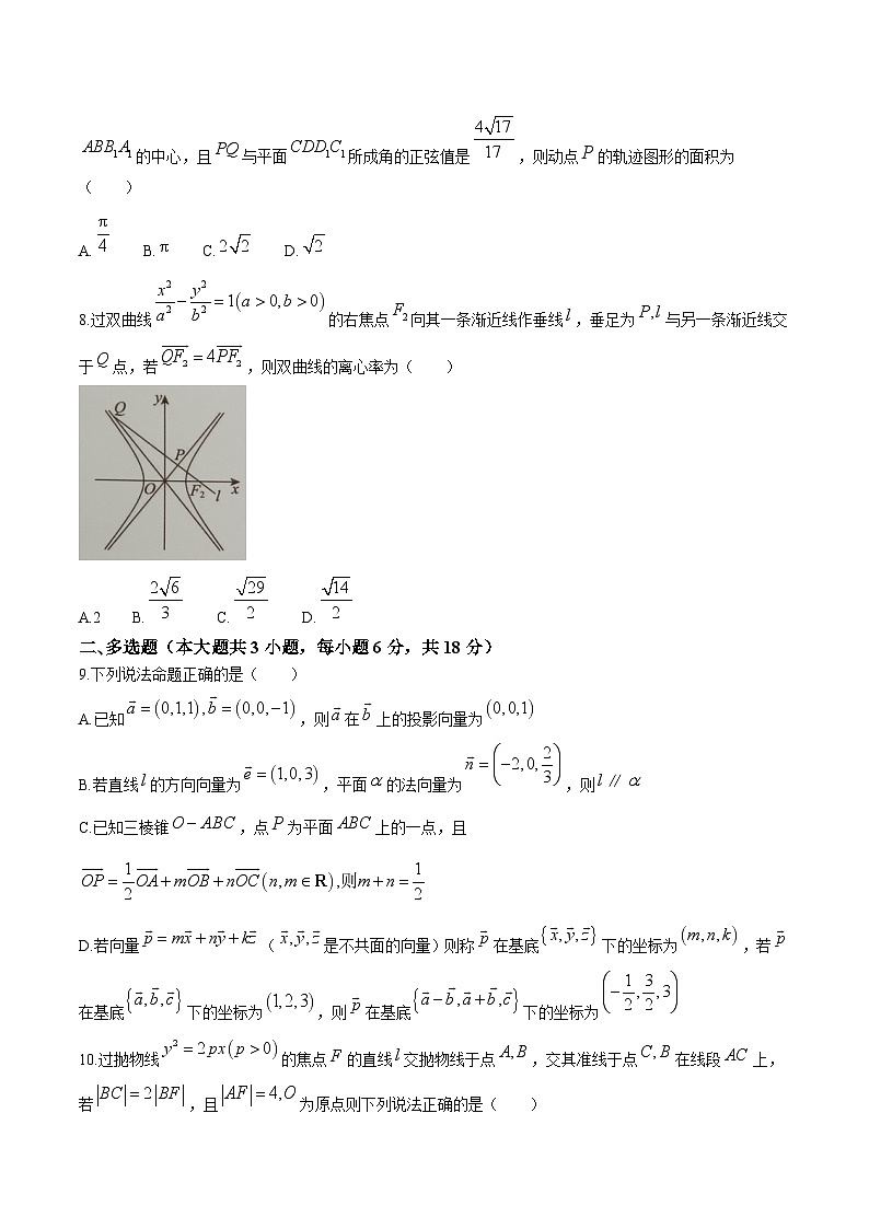
8.过双曲线的右焦点向其一条渐近线作垂线,垂足为与另一条渐近线交于点,若,则双曲线的离心率为( )
A.2 B. C. D.
二、多选题(本大题共3小题,每小题6分,共18分)
9.下列说法命题正确的是( )
A.已知,则在上的投影向量为
B.若直线的方向向量为,平面的法向量为,则
C.已知三棱锥,点为平面上的一点,且
D.若向量(是不共面的向量)则称在基底下的坐标为,若在基底下的坐标为,则在基底下的坐标为
10.过抛物线的焦点的直线交抛物线于点,交其准线于点在线段上,若,且为原点则下列说法正确的是( )
A.
B.以为直径的圆与准线相切
C.直线斜率为
D.
11.2022年卡塔尔世界杯赛徽近似“伯努利双纽线”.伯努利双纽线最早于1694年被瑞士数学家雅各布•伯努利用来描述他所发现的曲线.定义在平面直角坐标系中,把到定点距离之积等于定值的点的轨迹称为双纽线,已知点是双纽线上一点,下列关于双纽线的说法正确的是( )
A.双纽线是中心对称图形
B.的最大值为
C.
D.到距离之和的最小值为
三、填空题(本大题共3小题,每小题5分,共15分)
12.在多项式的展开式中,的系数为32,则__________.
13.已知椭圆和双曲线焦点相同,是它们的公共焦点,是椭圆和双曲线的交点,椭圆和双曲线的离心率分别为和,若,则__________.
14.已知曲线上任意一点,都有的和为定值,则实数的取值范围是__________.
四、解答题
15.(1)已知(为正整数).展开式的所有项的二项式系数和为64
①求该式的展开式中所有项的系数之和;
②求该式的展开式中无理项的个数;
③求该式的展开式中系数最大的项.
(2)现有8名师生站成一排照相,其中老师2人,男学生4人,女学生2人,在下列情况下,各有多少种不同的站法?
①老师站在最中间,2名女学生分别在老师的两边且相邻,4名男学生两边各2人;
②4名男学生互不相邻,男学生甲不能在两端;
③2名老师之间必须有男女学生各1人.
16.如图,在直四棱柱中,底面为矩形,且,且分别为的中点.
(1)证明:平面.
(2)求平面与平面夹角的余弦值.
(3)求点F到平面的距离.
17.已知双曲线的离心率为2,实轴的左,右顶点分别为,虚轴的上,下顶点分别为,且四边形的面积为.
(1)求双曲线的标准方程;
(2)已知直线与交于两点,若,求实数的取值范围.
18.如图,,点在平面的同侧,,,平面平面.
(1)求证:平面;
(2)若直线与平面所成角的正弦值为,求线段的长.
19.已知和为椭圆上两点.
(1)求椭圆的离心率;
(2)过点的直线与椭圆交于两点(不在轴上).
(i)若的面积为,求直线的方程;
(ii)直线和分别与轴交于两点,求证:以为直径的圆被轴截得的弦长为定值.
高二年级数学答案
考试时间:120分钟考试分数:150分
一、单选题
1.B 2B 3.A 4.A 5.C 6.C 7.A 8.B
二、多选题
9.ACD 10.ABD 11.ACD
三、填空题
12. 13. 14.
四、解答题
15.【详解】(1)由可得
①令可得
所以展开式中所有项的系数之和为729;
②的通项为
所以当时可得展开式中的无理项,所以共有3个无理项;
(3)由(2)及题意可知解得,
,
所以展开式中系数最大的项为.
(2)①由题意可得共种不同的站法.
②先排老师和女学生共有种站法,再排男学生甲有种站法,最后排剩余的3名男
学生有种站法,所以共有种不同的站法
③先任选一男学生一女学生站两位老师中间,有种站法,
两老师的站法有种,再将一男学生一女学生两位老师进行捆绑与剩余的4个人进行全排列有种,所以共有种不同的站法.
16.【详解】(1)不妨设,则,如图建立空间直角坐标系,
则
所以
设是平面的一个法向量,
则,取,则,
所以平面的一个法向量,
又,所以,因为平面,所以平面.
(2)设是平面的一个法向量,,
则,令,则,即,
设平面与平面夹角为,
则,
所以平面与平面夹角的余弦值为.
(3)因为,平面的一个法向量,所以F到平面的距离为
17.【详解】(1)由双曲线的几何性质可知,四边形是菱形,且,
四边形的面积为,①
又离心率为,②
联立①②可得,
双曲线的标准方程为.
(2)设,线段中点,
联立消去整理可得
,
即且①,
.
.
.
,
②,
又③,
由①②③得或,
实数的取值范围是.
18.【详解】(1)因为平面,
所以平面,同理平面,
又平面,
所以平面平面平面,
所以平面;
(2)取的中点,因为,
所以,又平面平面,平面平面,
平面,所以平面,
又因为,故可建立如图所示的空间直角坐标系.
在四边形中,因为,
,
所以,所以,
因为,所以,
所以,
,
,
设,则,
设为平面的法向量,
则,即,故取,
因为直线与平面所成角的正弦值为,
所以,
两边同时平方得
所以,解得,或(舍去),
所以,所以.
19.【详解】(1)由可知,求出,
代入,得,
则,
可知椭圆的离心率为.
(2)(i)由(1)可知椭圆的方程为,
设,过点的直线为,
与联立得:
恒成立.
所以
得,所以,直线的方程为:.
(ii)由(i)可知,
直线的方程为,令,得
直线的方程为,令,得,
记以为直径的圆与轴交于两点,
由圆的弦长公式可知,
所以,为定值.
相关试卷
这是一份辽宁省沈阳市五校协作体2024-2025高二上学期期末数学试卷及答案,共11页。
这是一份湖北省新八校协作体2024-2025学年高二上学期12月联考数学试卷(Word版附解析),共14页。试卷主要包含了单选题,多选题,填空题,解答题等内容,欢迎下载使用。
这是一份辽宁省沈阳市五校协作体2024-2025学年高一上学期期中联考数学试卷(含答案),共15页。试卷主要包含了选择题,多项选择题,填空题,解答题等内容,欢迎下载使用。