资料中包含下列文件,点击文件名可预览资料内容
还剩3页未读,
继续阅读
所属成套资源:2024长沙四大名校高三第一次模拟考试数学试卷及参考答案
成套系列资料,整套一键下载
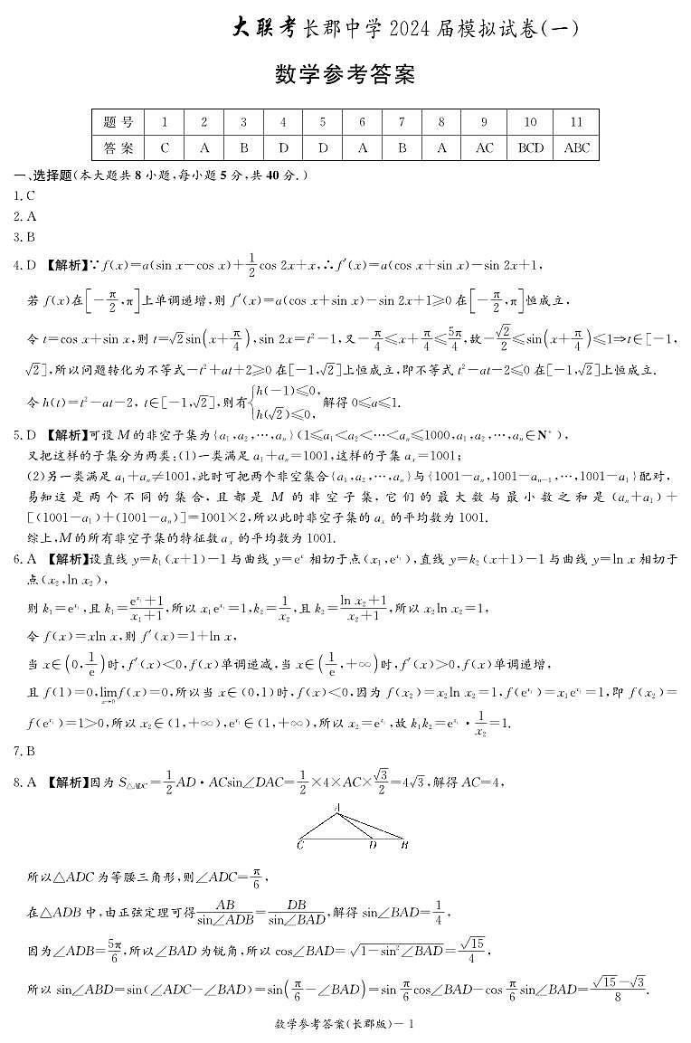
2024长郡中学高三第一次模拟考试数学试卷及参考答案
展开
这是一份2024长郡中学高三第一次模拟考试数学试卷及参考答案,文件包含2024长郡中学高三第一次模拟考试数学试卷pdf、2024长郡中学高三第一次模拟考试数学试卷参考答案pdf等2份试卷配套教学资源,其中试卷共10页, 欢迎下载使用。
相关试卷
2024长郡中学高三月考数学试卷三及参考答案:
这是一份2024长郡中学高三月考数学试卷三及参考答案,共14页。
2024长郡中学高三第一次月考数学试卷及参考答案:
这是一份2024长郡中学高三第一次月考数学试卷及参考答案,文件包含2024长郡中学高三第一次月考数学参考答案pdf、2024长郡中学高三第一次月考数学试卷pdf等2份试卷配套教学资源,其中试卷共12页, 欢迎下载使用。
2023长郡中学高三第一次质量检测数学试卷及参考答案:
这是一份2023长郡中学高三第一次质量检测数学试卷及参考答案,文件包含2023长郡中学高三第一次质量检测数学参考答案pdf、2023长郡中学高三第一次质量检测数学试卷pdf等2份试卷配套教学资源,其中试卷共9页, 欢迎下载使用。

