所属成套资源:新高考数学二轮复习巩固训练 小题+大题 综合练(2份,原卷版+教师版)
新高考数学二轮复习巩固训练 专题17《函数值的大小比较》小题综合练(2份,原卷版+教师版)
展开
这是一份新高考数学二轮复习巩固训练 专题17《函数值的大小比较》小题综合练(2份,原卷版+教师版),文件包含新高考数学二轮复习巩固训练专题17《函数值的大小比较》小题综合练教师版docx、新高考数学二轮复习巩固训练专题17《函数值的大小比较》小题综合练教师版pdf、新高考数学二轮复习巩固训练专题17《函数值的大小比较》小题综合练原卷版docx、新高考数学二轮复习巩固训练专题17《函数值的大小比较》小题综合练原卷版pdf等4份试卷配套教学资源,其中试卷共49页, 欢迎下载使用。
构造函数的重要依据
常见构造类型
常见的指对放缩
,,,
常见的三角函数放缩
其他放缩
,,
,,
,
,
放缩程度综合
,
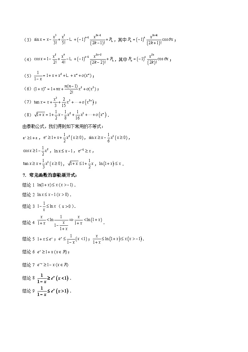
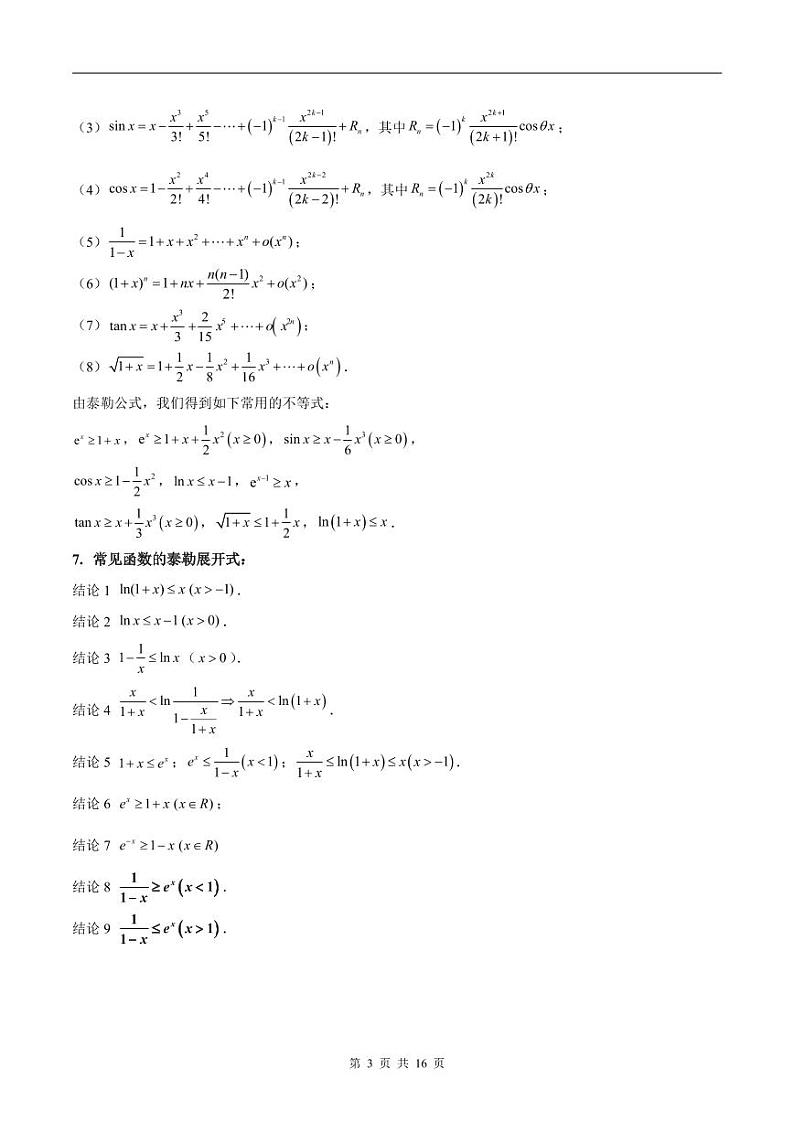
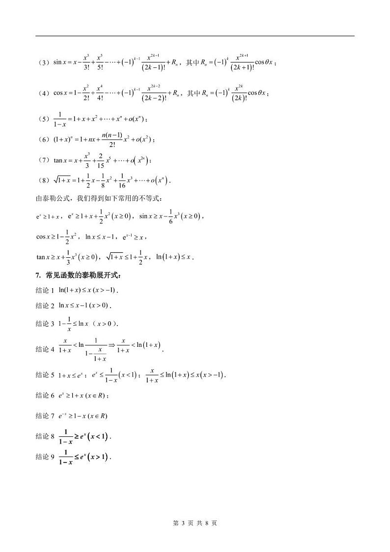
常见函数的泰勒展开式:
(1),其中;
(2),其中;
(3),其中;
(4),其中;
(5);
(6);
(7);
(8).
由泰勒公式,我们得到如下常用的不等式:
,,,
,,,
,,.
常见函数的泰勒展开式:
结论1 .
结论2 .
结论3 ().
结论4 .
结论5 ;;.
结论6 ;
结论7
结论8 .
结论9 .
冲刺训练
1.已知,,,则( )
A. B. C. D.
【答案】B
【分析】构造函数,求导确定函数单调性可得,根据指数幂的运算性质与指数函数单调性可比得,从而可得结论.
【详解】因为,,,则,,令,则,所以当时,,函数单调递减;当时,,函数单调递增;所以,即,故,则;因为,所以,因为,所以,所以,综上,.
故选:B.
2.已知,,,则( )
A. B. C. D.
【答案】A
【分析】由基本不等式可得,构造函数,利用导数求出的单调性,可比较的大小,即可得出答案.
【详解】因为,,,
所以令,则,所以当时,,则在上单调递减,当时,,则在上单调递增,又因为,所以,即,所以,又因为,所以.
故选:A.
3.已知,则( )
A. B. C. D.
【答案】A
【分析】可得出,,并得出,从而得出 ,并且可得出,从而可得出的大小关系.
【详解】,,,,故选:A
4.已知,,,则( )
A. B. C. D.
【答案】A
【分析】先证明,利用比商法结合基本不等式证明,再根据对数运算性质,结合对数函数性质证明即可得结论.
【详解】因为,,所以,
又,所以,所以,所以,故,
因为,又,所以,所以,
所以,又,所以,所以,故选:A.
5.已知,则的大小关系是( )
A. B. C. D.
【答案】A
【分析】使用对数恒等式和对数运算对进行化简放缩比大小,找到中间值,结合三角不等式,判断与的大小.
【详解】得,再由对数运算可得.
当时,令,则,所以在递减,则.所以,故.故选:A
6.已知,则的大小关系是( )
A. B. C. D.
【答案】A
【分析】利用对数函数和指数函数,幂函数的性质求解.
【详解】,,即,,
下面比较与的大小,构造函数与,由指数函数与幂函数的图像与单调性可知,
当时,;当时,,由,故,故,即,
所以,故选:A
7.设,,,则( )
A. B. C. D.
【答案】B
【分析】比较大小,转化为比较大小,构造函数,通过求导判断的单调性,可得出大小;比较大小,转化为比较,构造函数,求导判断单调性,得到出大小,即可得出结论.
【详解】设,则,当时,故在上单调递减,
所以,即,所以,所以;
设,则,当时,,故在上单调递减,
所以,即,所以,所以,
所以.故选:B
8.设,,,则( )
A. B. C. D.
【答案】D
【分析】依题意,,,令,利用导数说明函数的单调性,即可判断、,再令,,利用导数说明函数的单调性,即可判断、,即可得解.
【详解】因为,,,
令,,则,
令,则,所以在上单调递增,,所以,所以在上单调递增,所以,
则,即,即,令,,则,所以在上单调递减,则,则,即,即,所以,综上可得.故选:D
9.已知,且满足,则( )
A. B. C. D.
【答案】B
【分析】变形给定的等式,构造函数,利用导数探讨单调性,借助单调性比较大小作答.
【详解】由,得,
由,得,
由,得,
令函数,显然,求导得,
当时,,单调递减,当时,单调递增,
于是,即有,而,所以.
故选:B
10.设,,,则a,b,c的大小关系正确的是( )
A. B. C. D.
【答案】C
【分析】构造函数,求导确定单调区间,得到,再构造函数,求导确定单调区间得到,得到答案.
【详解】设,,则,
,,,故,在上单调递增,
故,当时,恒成立,令,则,即;
设,,则,
又,故 在上单调递减,,故,则函数在上单调递增,即,
故当时,恒成立,令,则,即,
综上所述:.故选:C
11.已知,,,则( )
A. B. C. D.
【答案】D
【分析】由正弦函数、对数函数性质易得,构造,利用导数判断单调性,再判断大小关系即可.
【详解】因为,所以,显然.令,则,,若,且,则,所以在上递减,则,即,综上,.故选:D.
12.已知,则( )
A. B. C. D.
【答案】A
【分析】由,构造函数,通过求导讨论的单调性,再构造函数,通过求导讨论的单调性,得到,从而得到,从而判断出;再由,,求出,比较和的大小,从而判断出,即可得到.
【详解】因为,,令,则,
当时,,当时,,所以函数在上递减,在上递增,
令,则,当时,,当时,,所以函数在上递减,在上递增,所以,即,,即
所以,所以;由,得,由,得,
所以,因为,
所以,所以,所以,即,所以,综上所述.故选:A
13.已知,,,则( )
A. B. C. D.
【答案】B
【分析】由,构造函数,,利用导数分析单调性,可得函数在上单调递增,进而得到,可得;构造函数,利用导数分析单调性,可得,进而得到,由,进而得到,进而求解.
【详解】由.设,
则,设,则,
所以函数在上单调递增,所以,即,即,即,所以,则函数在上单调递增,所以,即,即,即;设,
则,所以函数在上单调递减,则,即,即,即,所以,
又,所以,即,所以.故选:B.
14.设,则( )
A. B. C. D.
【答案】A
【分析】作差法判断、的大小,构造函数, 利用导数的单调性判断、的大小.
【详解】,又,
所以令,,则,
令,则 ,
当时,, ,所以,
故,故在上是增函数,又∵,∴当时,, 故在上是增函数,故,即,故.故选:A.
15.若,,,则( )
A. B. C. D.
【答案】B
【分析】利用对数运算结合对数函数单调性可得,并与比较大小,再构造函数,可得,即可与c比较大小作答.
【详解】依题意,,令函数,求导得,函数在上单调递减,,即当时,,,
,即,因此,所以.故选:B
函数值的大小比较 随堂检测
1.已知,则( )
A. B. C. D.
【答案】A
【分析】,,作商,利用基本不等式可得,得,根据对数函数的单调性可得.
【详解】,,
,所以,
,所以.故选:A
2.若,,,则a,b,c的大小关系为( )
A. B. C. D.
【答案】B
【分析】利用对数运算的性质将化简为,从而和比较大小,同理比较的大小关系,再根据两个指数幂的大小结合对数的运算性质可比较大小,即可得答案.
【详解】由题意:,,故.又,即,所以,即,因为,所以.因为,故,即,所以,所以,所以,所以,故选:B.
3.记,,,则( )
A. B. C. D.
【答案】B
【分析】构造函数,利用导数单调性即可比较,通过放缩法即可比较大小.
【详解】设,,则,则在上单调递增,,则,即,即,,
,则.则.故选:B.
4.若,,,则( )
A. B. C. D.
【答案】B
【分析】根据对数的运算性质可得,即可得,由作差法即可判断.
【详解】,,故,
由于,所以,故,因此,故选:B
5.设,,,则( )
A. B. C. D.
【答案】D
【分析】根据式子结构构造函数,利用导数研究单调性比较b与c,a与b,利用中间值比较即可.
【详解】记,则,
记,则,又,所以,
所以在上单调递减,所以,
则,所以在上单调递减,
所以,故时,,所以,所以,
又,所以,
记,则,所以在上单调递增,所以,即时,,所以,所以,
所以.故选:D
6.已知,,,则( )
A. B. C. D.
【答案】D
【分析】构造函数,利用其单调性比较a,c;构造函数,利用其单调性比较a,b.
【详解】设,,所以,
令,,则,则在上单调递减,所以,则,故在单调递减,
所以,即,即,因为,
构造,,所以,即在上单调递增,
所以,即,即,即,综上:.故选:D
【点睛】思路点睛:由,构造函数,利用其单调性比较;由,构造函数,利用其单调性比较.
7.若,则的大小关系为( )
A. B. C. D.
【答案】D
【分析】先比较与的大小,通过比较和即可得到,再比较与的大小,构造(),利用导数证明得到时,,从而得到,通过,结合的单调性即可得到,即可得到,,的大小关系.
【详解】由,得:,,因为,所以,则;
设(),则,当时,,所以在上单调递增,
所以时,,即时,,所以,
又,,所以,则,又,所以,
综上:,故选:D.
8.设,,,则( )
A. B. C. D.
【答案】C
【分析】设,利用导数说明函数的单调性,即可得到,即,再令,利用导数说明函数的单调性,即可得到,从而得解.
【详解】设,则,
令,则,
所以当时,故在上单调递减,又,
所以当时,所以在上单调递减,又,
则,即,所以,即,令,则,
所以当时,即在上单调递增,所以,即,即,即,综上可得.故选:C
9.设,,,则( )
A.a<b<c B.c<b<a C.c<a<b D.a<c<b
【答案】D
【分析】构造函数,根据导数探究单调性,即可判断和的大小;构造函数,再令,通过二次求导探究单调性,即可判断和的大小.
【详解】由,,,得,,,构造函数,则,当时,x=1,时,,单调递减;时,,单调递增,在x=1处取最小值,时,,即,
取,得,,,即;设,
则,令,,因为当时,令,
,单调递减,又时,,则,即,
所以,因为当时,,
所以当时,,函数单调递增,又,所以,即,
所以当时,函数单调递增,所以,即,
,即,.故选:D
10.若,则的大小关系为( )
A. B. C. D.
【答案】D
【分析】根据结构,构造函数,利用导数证明出,利用单调性判断出;令,利用单调性判断出,即可得到答案.
【详解】记,因为,令,解得;令,解得;
所以在上单调递减,在上单调递增,所以,所以,
所以,
因为,所以,即;
令,,所以在单调递增,,
所以当时,,即,所以,
又,,所以.故.
故选:D.
11.已知,,,则( )
A. B. C. D.
【答案】C
【分析】构造函数,应用导函数判断函数单调性判断大小关系.
【详解】由,得.设,则,
故当时,,f(x)单调递增;当时,,f(x)单调递减.所以f(x)在处取得极大值,也是最大值,即,即,所以,所以(当且仅当时取等号),所以,即.
设,则当时,,所以g(x)单调递增,所以,故,所以,即,所以.故选:C.
12.若,则( )
A. B. C. D.
【答案】B
【分析】构造函数,利用导数研究函数单调性,由,可得,再由,再作商法,得,从而得解.
【详解】令,则,当时,,函数单调递减;
当时,,函数单调递增,因为,所以,
又,,所以,所以,故,
因为,又因为,
故,从而有,综上所述:.故选:B.
相关试卷
这是一份新高考数学二轮复习巩固训练 专题20《函数新定义》小题综合练(2份,原卷版+教师版),文件包含新高考数学二轮复习巩固训练专题20《函数新定义》小题综合练教师版docx、新高考数学二轮复习巩固训练专题20《函数新定义》小题综合练教师版pdf、新高考数学二轮复习巩固训练专题20《函数新定义》小题综合练原卷版docx、新高考数学二轮复习巩固训练专题20《函数新定义》小题综合练原卷版pdf等4份试卷配套教学资源,其中试卷共40页, 欢迎下载使用。
这是一份新高考数学二轮复习巩固训练 专题11《直线与圆》小题综合练(2份,原卷版+教师版),文件包含新高考数学二轮复习巩固训练专题11《直线与圆》小题综合练教师版docx、新高考数学二轮复习巩固训练专题11《直线与圆》小题综合练教师版pdf、新高考数学二轮复习巩固训练专题11《直线与圆》小题综合练原卷版docx、新高考数学二轮复习巩固训练专题11《直线与圆》小题综合练原卷版pdf等4份试卷配套教学资源,其中试卷共36页, 欢迎下载使用。
这是一份新高考数学二轮复习巩固训练 专题09《数列》小题综合练(2份,原卷版+教师版),文件包含新高考数学二轮复习巩固训练专题09《数列》小题综合练教师版docx、新高考数学二轮复习巩固训练专题09《数列》小题综合练教师版pdf、新高考数学二轮复习巩固训练专题09《数列》小题综合练原卷版docx、新高考数学二轮复习巩固训练专题09《数列》小题综合练原卷版pdf等4份试卷配套教学资源,其中试卷共37页, 欢迎下载使用。

