


四川省宜宾市第三中学2024-2025学年高二上学期期末模拟考试数学试卷(Word版附解析)
展开
这是一份四川省宜宾市第三中学2024-2025学年高二上学期期末模拟考试数学试卷(Word版附解析),共20页。试卷主要包含了单项选择题,多项选择题等内容,欢迎下载使用。
一、单项选择题:8小题,每小题5分,共40分.每题只有一个选项合题意.
1. 抛物线的焦点坐标为( )
A. B.
C. D.
【答案】D
【解析】
【分析】将抛物线方程化为标准方程,进而得到焦点坐标.
【详解】由可得抛物线标准方程为:,其焦点坐标为.
故选:D.
2. “”是“方程表示椭圆”的( )
A. 充分不必要条件B. 必要不充分条件
C. 充要条件D. 既不充分也不必要条件
【答案】B
【解析】
【分析】先求出“方程表示椭圆”的充要条件,即可判断.
【详解】“方程表示椭圆”的充要条件为,即且.
故“”是“方程表示椭圆”的必要不充分条件.
故选:B
3. 设数列{an}的通项公式为an=2n-7,则|a1|+|a2|+|a3|+…+|a15|=( )
A. 139B. 153
C. 144D. 178
【答案】B
【解析】
【分析】根据数列的通项公式,可得数列{an}为等差数列,即可求得,进而可得前n项和,所求可化简为,代入公式,即可得答案.
【详解】∵an=2n-7,∴,
∴数列{an}为等差数列,且a1=-5,d=2.
∴前n项和.
∴|a1|+|a2|+…+|a15|=.
故选:B
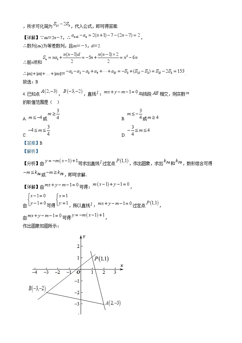
4. 已知点,,直线:与线段相交,则实数的取值范围是( )
A. 或B. 或
C. D.
【答案】B
【解析】
【分析】由可求出直线过定点,作出图象,求出和,数形结合可得或,即可求解.
【详解】由可得:,
由可得,所以直线:过定点,
由可得,
作出图象如图所示:
,,
若直线与线段相交,则或,解得或,
所以实数的取值范围是或,
故选:B.
5. 已知有100个半径互不相等的同心圆,其中最小圆的半径为1,在每相邻的两个圆中,小圆的切线被大圆截得的弦长都为2,则这100个圆中最大圆的半径是( )
A. 8B. 9C. 10D. 100
【答案】C
【解析】
【分析】设这100个圆的半径从小到大依次为,由题意得且,可求.
【详解】设这100个圆的半径从小到大依次为,则由题知,
每相邻的两个圆中,小圆的切线被大圆截得的弦长都为2,
有,则是首项为1公差为1的等差数列,,
所以,得.
故选:C.
6. 已知圆上有一动点,双曲线的左焦点为,且双曲线的右支上有一动点,则的最小值为( )
A. B. C. D.
【答案】D
【解析】
【分析】根据双曲线的定义,结合圆的几何性质进行求解即可.
【详解】
在双曲线中,,,
,,
设双曲线的右焦点为,则,
在双曲线的右支上,
,即,
由题知,圆心,半径,在圆上,
,
则,
当,,三点共线且Q位于另两点之间时,取得最小值为,
此时,
的最小值为.
故选:D.
7. 如图,已知二面角平面角的大小为,其棱上有、两点,、分别在这个二面角的两个半平面内,且都与垂直.已知,,则( )
A. B. C. D.
【答案】C
【解析】
【分析】以、为邻边作平行四边形,连接,计算出、的长,证明出,利用勾股定理可求得的长.
【详解】如下图所示,以、为邻边作平行四边形,连接,
因为,,则,
又因为,,,故二面角的平面角为,
因为四边形为平行四边形,则,,
因为,故为等边三角形,则,
,则,,,故平面,
因为平面,则,故.
故选:C.
8. 已知,分别为双曲线(,)的左、右焦点,以为直径的圆与双曲线在第一象限和第三象限的交点分别为,,设四边形的周长为,面积为S,且满足,则该双曲线的离心率为( )
A. B. 2C. D.
【答案】C
【解析】
【分析】利用双曲线定义和已知列方程组,可用a,p表示,然后可表示出四边形面积,结合已知可得a,p关系,最后根据勾股定理可解.
【详解】由题意可得,,解得,
又为直径,所以四边形为矩形,所以,
又,所以,即,
由,得,即,
所以,即.
故选:C.
二、多项选择题:每题6分,共18分,部分选对得3分,有错选得0分.
9. 已知空间单位向量两两互相垂直,设,则下列说法正确的有( )
A. 与的夹角为
B
C. 夹角的余弦值为
D. 不可以作为基底来表示空间中的任意一个向量
【答案】CD
【解析】
【分析】A选项,计算出,得到与的夹角为;B选项,设,得到方程组,方程组无解,故不平行;C选项,计算出,,,从而利用,求出两向量夹角余弦值;D选项,设,从而得到方程组,求出,所以共面,不能作为基底,D正确.
【详解】A选项,因为空间单位向量两两互相垂直,
所以,
故
,故与的夹角为,A错误;
B选项,,
又,设,
则,所以,无解,
故与不平行,B错误;
C选项,
,
其中,
则,同理得,
故夹角的余弦值为,C正确;
D选项,设,即,
则,解得,
故,所以共面,
不可以作为基底来表示空间中的任意一个向量,D正确.
故选:CD
10. 已知数列的前项和为,则下列说法正确的是( )
A. 若,
B. 若,则当时,是等比数列
C. 若数列为等差数列,,,则
D. 若数列为等差数列,,,则时,最大
【答案】AD
【解析】
【分析】利用题设条件及等差等比数列性质以及前项和公式,一一验证即可.
【详解】对于A:,,
两式相减得:,所以,故A正确;
对于选项B:当时,,此时,
数列不是等比数列,故选项B错误;
对于选项C:若数列为等差数列,,,
,,,故C错误;
对于选项D:数列为等差数列,,,,
,即数列前8项为正值,从第9项开始为负,
时,最大,故选项D正确;
综上所述:选项AD正确.
故选:AD.
11. 已知椭圆C:的左、右焦点分别为,,过作直线与C交于A,B两点,的周长为8.若在C外,点Q在C上,记C的离心率为e,则( )
A. 的最小值为4
B.
C. 存在点Q,使得
D. 当时,点R在C上且满足,则有
【答案】ABD
【解析】
【分析】由题意求得,再根据基本不等式判断A,由条件确定的范围,结合离心率公式判断B,由短轴端点对焦点的张角最大判断C,设出直线方程,与椭圆方程联立,再求出相关距离,并化简计算后判断D.
【详解】因为的周长为8,所以,即,
又在椭圆外,代入椭圆得,所以,
选项A,,
,
当且仅当时等号成立,因此的最小值是4,A正确;
选项B,椭圆离心率为,所以,B正确;
选项C,设椭圆上顶点为,焦点为,
,
因为,当时,,此时为锐角,因此不存在,使得为直角,因此不成立,C错;
选项D,时,,从而,椭圆方程为,
当直线斜率存在时,设直线方程,设,
由得,
,,
,,
,
,所以,即,
所以原点到直线的距离为,
,
当直线斜率不存在时,不妨设在第一象限,在第四象限,由得,设,,由得,即.
即,,
,也满足,
综上,为定值,D正确.
故选:ABD.
【点睛】方法点睛:椭圆中定值问题,一般设动直线方程为,交点坐标为,直线方程与椭圆方程联立,消元,应用韦达定理得,由动直线(或交点)满足的条件求得关系,再求出要证定值的量,然后代入韦达定理的结论化简即可得.
三、填空题:共3小题,每小题5分,共15分.
12. 若直线过点且在两坐标轴上的截距互为相反数,则直线的方程为____________.
【答案】或
【解析】
【分析】通过讨论截距为0和不为0两类情况讨论即可.
【详解】当截距为0时,过点和原点,所以的方程为,即;
当截距不为0时,设的方程为,由过点,得,
解得,所以的方程为.
故答案为:或
13. 在数列中,,,则数列的通项公式为_________.
【答案】
【解析】
【分析】方法1:设,得出,可得出数列为等比数列,求出该数列的首
项和公比,可求出数列的通项公式,从而求出;
方法2:由得出,两式相减得,可得知数列是等比数列,求出数列的通项公式,再利用累加法求出.
【详解】方法1:令,即与,比较得,
又,故数列是以为首项,为公比的等比数列,
所以,所以;
方法2:因为,所以,
所以,
所以是等比数列,首项,公比,
所以,即,即,故答案为.
【点睛】本题考查利用待定系数法或累加法求数列通项,解题时要注意这几种方法对数列递推式结构的要求,同时合理选择方法构造等差或等比数列来求解,属于中等题.
14. 已知为抛物线的焦点,点,在该抛物线上且位于轴的两侧,而且(为坐标原点),若与的面积分别为和,则最小值是______
【答案】6
【解析】
【分析】
先设直线方程和点的坐标,联立直线与抛物线的方程得到一个一元二次方程,再利用韦达定理及消元,最后将面积之和表示出来,探求最值问题.
【详解】解:设直线的方程为,点,,
直线与轴交点为.
∴联立,可得,
根据韦达定理得,
∵
∴,即,
∵,位于轴的两侧,∴
∴设点在轴的上方,则∵
∴
当且仅当,即时取等号.
故答案为:6
【点睛】求解本题时,应考虑以下几个点:
1、联立直线与抛物线方程,消或后建立一元二次方程,利用韦达定理与已知条件消元,这是处理此类问题的常见模式.
2、求三角形面积时,为使面积的表达式简单,常根据图形的特征选择适当的底与高.
3、利用基本不等式时,应注意"一正,二定,三相等".
四、解答题:共5小题,共77分.解答应写出相应文字说明、证明过程或演算步骤.
15. 已知圆:关于直线的对称圆的圆心为,若直线过点.
(1)若直线与圆相切,求直线的方程;
(2)若直线与圆交于两点,,求直线的方程.
【答案】(1)或.
(2)或
【解析】
【分析】(1)分类讨论直线的斜率存在与不存在,利用圆心到直线的距离等于圆的半径计算即可;
(2)由题意知直线的斜率一定存在,设直线方程,利用点到直线的距离公式和圆的半径计算即可.
【小问1详解】
由题意可知圆:的圆心坐标,半径,
当直线的斜率不存在时,直线过点.即的方程为时,此时直线与圆相切,符合题意;
当直线的斜率存在时,设斜率为,直线过点.设直线的方程为,
即化为一般式:,直线与圆相切,则,
即,解得,所以的方程为:,即.
综上,当直线与圆相切,直线的方程为或.
【小问2详解】
圆:的圆心坐标,半径,
设,因为圆关于直线的对称圆的圆心为,
所以,解得,圆的圆心为,半径为1.
当直线斜率不存在时,直线的方程为,此时直线过圆的圆心,,不符合题意;
当直线斜率存在时,设斜率为,直线过点.设直线的方程为,即化为一般式:,圆心到直线的距离.
若直线与圆交于两点,,根据勾股定理可得,解得,
所以直线的方程为或
16. 已知数列的前项和满足.
(1)求的通项公式;
(2)若,求数列的前项和.
【答案】(1)
(2)=
【解析】
【分析】(1)应用,可求出通项公式;
(2)方法一应用错位相减法计算求和;方法二应用待定系数法结合累加即可求解.
【小问1详解】
当时,.
当时,由,得,
则.
因为,所以.
【小问2详解】
(方法一)由(1)可得.
则,①
则,②
①,得
,
从而.
(方法二)由(1)可得,
令,则
令,且,
则,
整理得,
则,解得,
故.
.
17. 如图所示,在三棱锥中,已知平面,平面平面.
(1)证明:平面;
(2)若,,在线段上(不含端点),是否存在点,使得二面角的余弦值为,若存在,确定点的位置;若不存在,说明理由.
【答案】(1)证明见解析
(2)存在;是上靠近的三等分点
【解析】
【分析】(1)过点作于点,由面面垂直性质定理可得平面,由此证明,再证明,根据线面垂直判定定理证明结论;
(2)建立空间直角坐标系,求平面,平面的法向量,利用向量夹角公式求法向量夹角,由条件
列方程确定点的位置;
【小问1详解】
过点作于点,
因为平面平面,且平面平面,平面,
所以平面,
又平面,所以,
又平面,平面,
所以,
又因为,,平面,
所以平面.
【小问2详解】
假设在线段上(不含端点),存在点,使得二面角的余弦值为,
以为原点,分别以、为轴,轴正方向,建立如图所示空间直角坐标系,
则,,,,
,,,,
设平面的一个法向量为,
即取,,,
所以为平面的一个法向量,
因为在线段上(不含端点),所以可设,,
所以,
设平面一个法向量为,
即,
取,,,
所以为平面的一个法向量,
,又,
由已知可得
解得或(舍去),
所以,存在点,使得二面角的余弦值为,
此时是上靠近的三等分点.
18. 如图,已知椭圆过点,焦距为,斜率为的直线与椭圆相交于异于点的两点,且直线均不与轴垂直.
(1)求椭圆的方程;
(2)求中点E的轨迹方程;
(3)记直线的斜率为,直线的斜率为,证明:为定值.
【答案】(1)
(2)
(3)证明见解析
【解析】
【分析】(1)根据条件列的关系式求解即可.
(2)设直线方程,与椭圆联立可表示点,根据点横、纵坐标之间关系可得轨迹方程.
(3)根据韦达定理代入中即可得到定值.
【小问1详解】
由题意得,,
又∵,∴,
∴椭圆的方程为.
【小问2详解】
设直线方程为,,
由得,,
由得,,
则,
∴,
∵E为中点,∴,即,
设,则,
由得,
故中点E的轨迹方程为.
【小问3详解】
由直线的斜率存在且异于点得,,故且,
∴
,
∴为定值.
19. 设数列是各项均为正数的等比数列,.数列满足:对任意的正整数n,都有.
(1) 分别求数列与的通项公式.
(2) 若不等式对一切正整数n都成立,求实数λ的取值范围.
(3) 已知,对于数列,若在与之间插入个2,得到一个新数列.设数列的前m项的和为Tm,试问:是否存在正整数m,使得Tm=2019?如果存在,求出m的值;如果不存在,请说明理由.
【答案】(3)当时,.
【解析】
【分析】
(1 )对整理即可求, 从而求得公比q , 由等比数列通项公式求得 ,再对式子用 代得到两方程作差即可求得;
(2 )对的范围分类,然后将原不等式转化成恒成立,利用判断数列的单调性,从而求得的最大值,问题得以解决;
( 3 )对在新数列中的位置分析,求得在新数列中为第项,然后对分组求和,得, 利用单调性解出不等式,当时的情况即可求得的值.
【详解】因为是等比数列,且各项均为正数,所以,解得,公比,
所以,
因为,所以,
两式相减,得,所以当时,,因为当时,,所以,符合,
所以.
(2)因为,所以当时,原不等式成立, 当时,原不等式可化为,
设,则,则,
所以,即数列单调递减,
所以,,解得,
综上,
(3 )由题意可知,设在数列中的项为 , 则由题意可知,,所以当时,,设,解得,
当时,,因为且,
所以当时,
【点睛】本题考查等比数列的基本量和通项的求解,由数列的前项和得出数列的通项,考查研究数列的单调性解决不等式恒成立的问题,关于插入项构成新数列,解决恒成立的关键是运用数列的相邻作差或作商后判断数列的增减性,得出数列的最值,属于难度题.
相关试卷
这是一份四川省泸州市泸化中学2024-2025学年高二上学期期中数学试卷(Word版附解析),文件包含四川省泸州市龙马潭区泸化中学2024-2025学年高二上学期11月期中考试数学试题Word版含解析docx、四川省泸州市龙马潭区泸化中学2024-2025学年高二上学期11月期中考试数学试题Word版无答案docx等2份试卷配套教学资源,其中试卷共23页, 欢迎下载使用。
这是一份四川省阆中中学2024-2025学年高二上学期期中学习质量检测数学试卷(Word版附解析),文件包含四川省阆中中学校2024-2025学年高二上学期期中学习质量检测数学试题Word版含解析docx、四川省阆中中学校2024-2025学年高二上学期期中学习质量检测数学试题Word版无答案docx等2份试卷配套教学资源,其中试卷共23页, 欢迎下载使用。
这是一份四川省雅安市雅安中学2024-2025学年高二上学期入学检测数学试卷(Word版附解析),文件包含四川省雅安市雅安中学2024-2025学年高二上学期入学检测数学试卷Word版含解析docx、四川省雅安市雅安中学2024-2025学年高二上学期入学检测数学试卷Word版无答案docx等2份试卷配套教学资源,其中试卷共20页, 欢迎下载使用。