所属成套资源:【高考二轮】2025年高考数学二轮复习课件+练习
2025届高中数学二轮复习 微专题7 导数与不等式的证明(课件+练习)
展开
这是一份2025届高中数学二轮复习 微专题7 导数与不等式的证明(课件+练习),文件包含微专题7导数与不等式的证明pptx、微专题7导数与不等式的证明docx等2份课件配套教学资源,其中PPT共27页, 欢迎下载使用。
导数与不等式的交汇命题是高考的热点和难点,在利用导数证明不等式问题中,常用的方法有构造函数、适当换元、合理放缩、利用最值、不等式及其性质等.
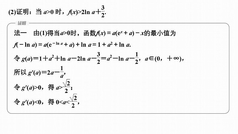
(2023·新高考Ⅰ卷)已知函数f(x)=a(ex+a)-x.(1)讨论f(x)的单调性;
f′(x)=aex-1,x∈R.当a≤0时,f′(x)0时,令f′(x)>0,得x>-ln a;令f′(x)0时,函数f(x)=a(ex+a)-x的最小值为f(-ln a)=a(e-ln a+a)+ln a=1+a2+ln a.
已知函数f(x)=ex+exln x(其中e是自然对数的底数).求证:f(x)≥ex2.
利用导数证明不等式问题的基本方法(1)直接构造函数法:证明不等式f(x)>g(x)(或f(x)<g(x))转化为证明f(x)-g(x)>0(或f(x)-g(x)<0),进而构造辅助函数h(x)=f(x)-g(x);(2)适当放缩构造法:一是根据已知条件适当放缩;二是利用常见放缩结论;(3)构造“形似”函数,稍作变形再构造,对原不等式同结构变形,根据相似结构构造辅助函数.
(2024·长春调研)设函数f(x)=ex-1,其中e为自然对数的底数.求证:(1)当x>0时,f(x)>x;
令g(x)=f(x)-x=ex-1-x,则g′(x)=ex-1,当x>0时,g′(x)>0,g(x)在(0,+∞)上单调递增,故当x>0时,g(x)>g(0)=0,即当x>0时,f(x)>x成立.
(2)ex-2>ln x.
由(1)可得当x>0时,ex>1+x.要证ex-2>ln x,可证ex-2>x-1≥ln x,即证x-1-ln x≥0.
3.(2024·全国甲卷)已知函数f(x)=a(x-1)-ln x+1.(1)求f(x)的单调区间;
(2)当a≤2时,证明:当x>1时,f(x)1时,ex-1-f(x)=ex-1-a(x-1)+ln x-1≥ex-1-2x+ln x+1.令g(x)=ex-1-2x+ln x+1,则只需证当x>1时g(x)>0.
法二 设g(x)=a(x-1)-ln x+1-ex-1,只需证当x>1时g(x)0得,x∈(0,a),则f(x)在(0,a)上单调递增;由f′(x)f(1)=0,不合题意.综上所述,a=1.
相关课件
这是一份2025届高中数学二轮复习 微专题5 导数中函数的构造问题(课件+练习),文件包含微专题5导数中函数的构造问题pptx、微专题5导数中函数的构造问题docx等2份课件配套教学资源,其中PPT共56页, 欢迎下载使用。
这是一份2025届高中数学二轮复习 微专题10 导数与三角函数问题(课件+练习),文件包含微专题10导数与三角函数问题pptx、微专题10导数与三角函数问题docx等2份课件配套教学资源,其中PPT共37页, 欢迎下载使用。
这是一份2025届高中数学二轮复习 微专题9 导数与函数的零点(课件+练习),文件包含微专题9导数与函数的零点pptx、微专题9导数与函数的零点docx等2份课件配套教学资源,其中PPT共32页, 欢迎下载使用。

