所属成套资源:2025 高考数学一轮复习课件专辑
2025高考数学一轮复习-第9章-圆锥曲线-规范解答 解析几何综合问题【课件】
展开
这是一份2025高考数学一轮复习-第9章-圆锥曲线-规范解答 解析几何综合问题【课件】,共18页。PPT课件主要包含了►分值分布,明确思维·答题知策略等内容,欢迎下载使用。
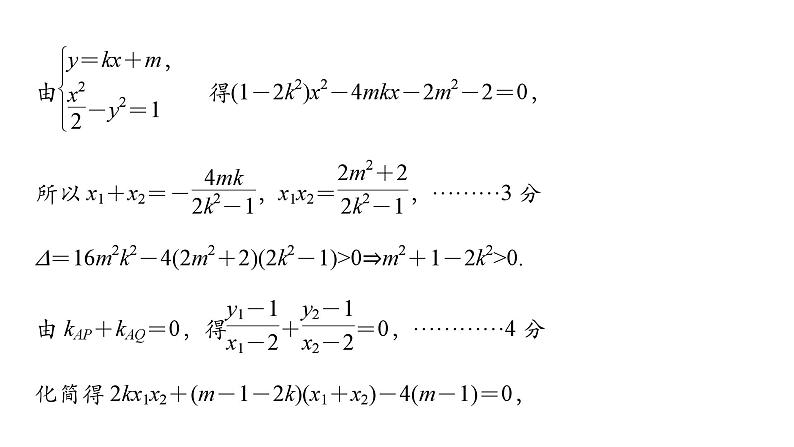
►满分指导(1)得步骤分:对于解题过程中是得分点的,有则给分,无则没分,对于得分点步骤一定要写全.第(1)问中,写出代点求双曲线的过程,直接给出答案得1分.第(1)问中,设出直线方程,并将直线方程与双曲线联立,化简后得到关于x的一元二次方程,利用根与系数的关系得出x1+x2及x1x2.第(2)问中,分别说明P,Q在双曲线的左支及右支的情形,缺少步骤,要扣掉1至2分.
(3)得计算分:本题的运算量很大,各环节的计算要细致并且保证正确才能得分,如果一个环节、步骤中出现运算错误,会直接影响后续得分.第(1)问将点代入到所设的双曲线的方程时,正确求出双曲线可得分,双曲线求错不得分.第(2)问中正确求出直线AP和直线AQ的方程得1分,直线与双曲线联立,得出关于x的一元二次方程求出P点的坐标得1分;
第(2)问中正确求出PQ的直线方程,利用点到直线距离公式求出点A到直线PQ的距离得1分;第(2)问中利用面积公式求出△PAQ的面积得1分.
相关课件
这是一份2025高考数学一轮复习-第7章-立体几何与空间向量-规范解答 立体几何综合问题【课件】,共18页。PPT课件主要包含了►分值分布,明确思维·答题知策略等内容,欢迎下载使用。
这是一份2025高考数学一轮复习-第6章-数列-规范解答 数列综合问题【课件】,共15页。PPT课件主要包含了►分值分布,明确思维·答题知策略等内容,欢迎下载使用。
这是一份2025届高考数学二轮总复习规范解答6解析几何课件,共10页。PPT课件主要包含了题意理解,答题模板等内容,欢迎下载使用。

