所属成套资源:人教A版(2019)高中数学必修第二册专题训练
人教A版(2019)高中数学必修第二册 第六章平面向量及其应用专题训练(教师版+学生版)
展开
这是一份人教A版(2019)高中数学必修第二册 第六章平面向量及其应用专题训练(教师版+学生版),文件包含人教A版2019高中数学必修第二册第六章平面向量及其应用专题训练教师版docx、人教A版2019高中数学必修第二册第六章平面向量及其应用专题训练学生版docx等2份试卷配套教学资源,其中试卷共11页, 欢迎下载使用。
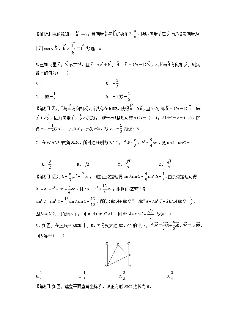
第六章 平面向量及其应用一 单选题:本题共8小题,每小题5分,共40分。在每小题给出的选项中,只有一项是符合题目要求的。1.下列说法正确的是( ) B.零向量的长度是0C.长度相等的向量叫相等向量 D.共线向量是同一条直线上的向量【解析】仅表示与的大小相等,但是方向不确定,故未必成立,所以A错误;根据零向量的定义可判断B正确;长度相等的向量方向不一定相同,故C错误;共线向量不一定在同一条直线上,也可平行,故D错误.故选:B.( )A.12 B.-12 C.123 D.-123A. B. C.1 D.2【解析】因为,所以,所以即,故,故选:D.4.在△ABC中,已知A(2,3),B(6,-4),G(4,-1)是中线AD上一点,且|eq \o(AG,\s\up6(→))|=2|eq \o(GD,\s\up6(→))|,那么点C的坐标为( )A.(-4,2) B.(-4,-2)C.(4,-2) D.(4,2)【解析】由题意知,G是△ABC的重心,设C(x,y),则有eq \b\lc\{\rc\ (\a\vs4\al\co1(\f(2+6+x,3)=4,,\f(3-4+y,3)=-1,))解得eq \b\lc\{\rc\ (\a\vs4\al\co1(x=4,,y=-2.))故点C的坐标为(4,-2).故选:C.5.已知向量与的夹角为eq \f(π,3),||=2,||=1,则向量在上的投影向量为( )A. B.eq \f(1,2) C. D.eq \f(1,2)【解析】由题意知,||=2,且向量与的夹角为eq \f(π,3),所以向量在上的投影向量为||cos〈,〉=.故选:A6.已知向量,不共线,且=x+,=+(2x-1),若与方向相反,则实数x的值为( )A.1 B.-eq \f(1,2)C.1或-eq \f(1,2) D.-1或-eq \f(1,2)【解析】因为与方向相反,所以存在k∈R,使得=k,且k

