







还剩18页未读,
继续阅读
初中数学人教版(2024)九年级上册21.2.4 一元二次方程的根与系数的关系说课课件ppt
展开
这是一份初中数学人教版(2024)九年级上册21.2.4 一元二次方程的根与系数的关系说课课件ppt,共1页。
相关课件
初中数学21.2.4 一元二次方程的根与系数的关系图文ppt课件:
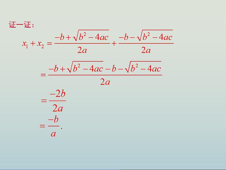
这是一份初中数学21.2.4 一元二次方程的根与系数的关系图文ppt课件,共23页。PPT课件主要包含了新课导入,探究新知,例题讲解,方法总结,课堂小结等内容,欢迎下载使用。
初中人教版21.2.4 一元二次方程的根与系数的关系评课课件ppt:
这是一份初中人教版21.2.4 一元二次方程的根与系数的关系评课课件ppt,共11页。PPT课件主要包含了解方程,教科书练习等内容,欢迎下载使用。
2020-2021学年21.2.4 一元二次方程的根与系数的关系图文ppt课件:
这是一份2020-2021学年21.2.4 一元二次方程的根与系数的关系图文ppt课件,共9页。PPT课件主要包含了-ba等内容,欢迎下载使用。
