


还剩3页未读,
继续阅读
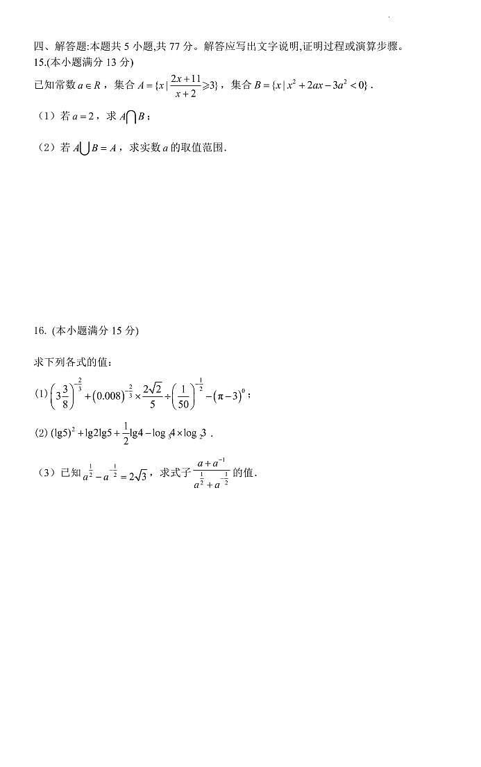
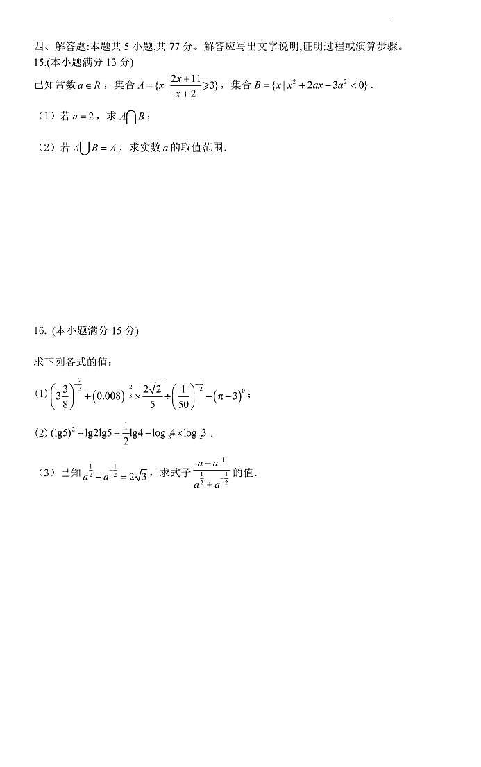
明德中学2024年高一下学期期中考试数学试卷
展开
这是一份明德中学2024年高一下学期期中考试数学试卷,共6页。
相关试卷
明德中学2024年高一下学期期中考试数学试卷及参考答案:
这是一份明德中学2024年高一下学期期中考试数学试卷及参考答案,文件包含明德中学2024年高一下学期期中考试数学试卷pdf、明德中学2024年高一下学期期中考试数学试卷答案pdf等2份试卷配套教学资源,其中试卷共16页, 欢迎下载使用。
长沙市明德中学2024年高二上学期期中考试数学试卷及参考答案:
这是一份长沙市明德中学2024年高二上学期期中考试数学试卷及参考答案,文件包含长沙市明德中学2024年高二上学期期中考试数学试卷pdf、长沙市明德中学2024年高二上学期期中考试数学试卷答案pdf等2份试卷配套教学资源,其中试卷共22页, 欢迎下载使用。
湖南省长沙市明德中学2023-2024学年高一下学期期末考试数学试卷:
这是一份湖南省长沙市明德中学2023-2024学年高一下学期期末考试数学试卷,共6页。试卷主要包含了已知复数,则,已知平面向量等内容,欢迎下载使用。