

还剩3页未读,
继续阅读
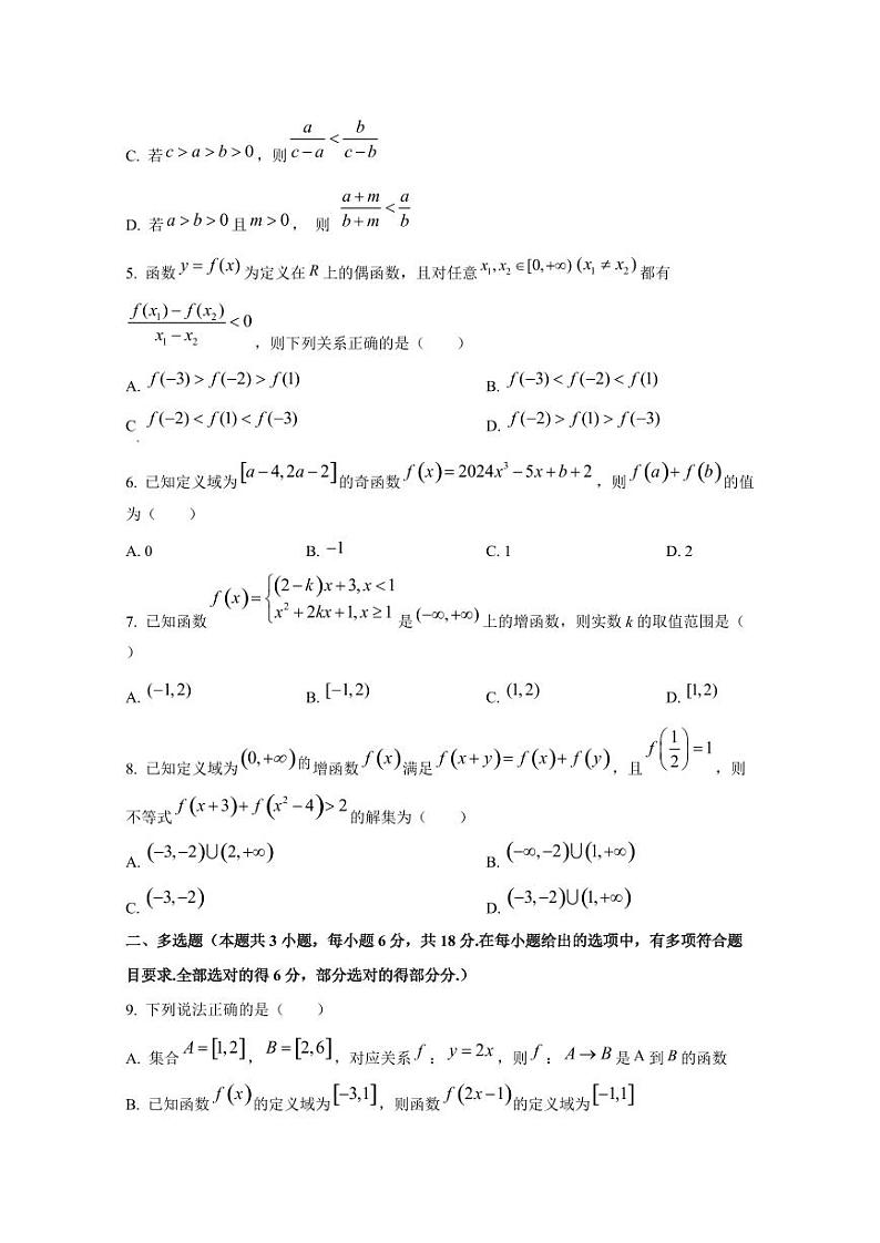
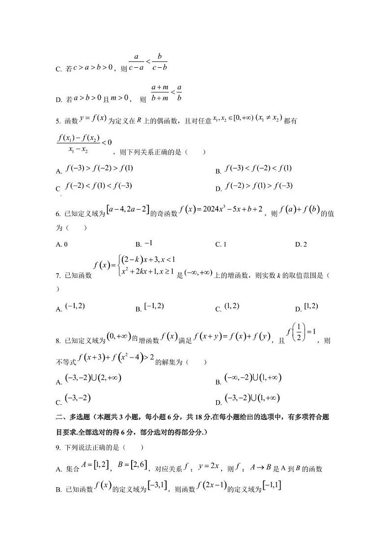
2024-2025学年湖北省荆州市公安县高一上学期12月月考数学检测试卷
展开
这是一份2024-2025学年湖北省荆州市公安县高一上学期12月月考数学检测试卷,共5页。
相关试卷
2024-2025学年湖北省荆州市公安县高一上学期12月考试数学检测试卷(含解析):
这是一份2024-2025学年湖北省荆州市公安县高一上学期12月考试数学检测试卷(含解析),共16页。
湖北省荆州市公安县第三中学2024-2025学年高一上学期12月月考数学试卷(Word版附解析):
这是一份湖北省荆州市公安县第三中学2024-2025学年高一上学期12月月考数学试卷(Word版附解析),文件包含湖北省荆州市公安县第三中学2024-2025学年高一上学期12月考试数学试卷Word版含解析docx、湖北省荆州市公安县第三中学2024-2025学年高一上学期12月考试数学试卷Word版无答案docx等2份试卷配套教学资源,其中试卷共20页, 欢迎下载使用。
2024-2025学年湖北省荆州市公安县高一上学期10月月考数学检测试卷:
这是一份2024-2025学年湖北省荆州市公安县高一上学期10月月考数学检测试卷,共4页。