还剩3页未读,
继续阅读
2024-2025学年天津市经济技术开发区高三上学期第一次月考数学检测试题(含答案)
展开
这是一份2024-2025学年天津市经济技术开发区高三上学期第一次月考数学检测试题(含答案),共6页。
相关试卷
2024-2025学年天津市高三上学期第二次月考数学检测试卷(含答案):
这是一份2024-2025学年天津市高三上学期第二次月考数学检测试卷(含答案),共15页。
2024-2025学年天津市高三上学期第一次月考数学检测试卷(含解析):
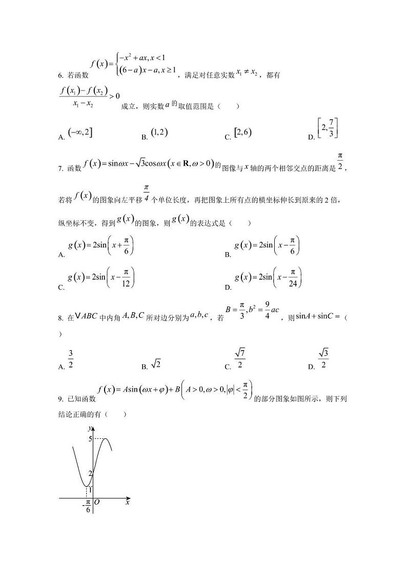
这是一份2024-2025学年天津市高三上学期第一次月考数学检测试卷(含解析),共17页。
2024-2025学年天津市高三上学期第一次月考数学检测试卷:
这是一份2024-2025学年天津市高三上学期第一次月考数学检测试卷,共5页。

