


还剩21页未读,
继续阅读
2024-2025学年内蒙古科左中旗民族高三上学期第三次月考数学检测试题(含解析)
展开
这是一份2024-2025学年内蒙古科左中旗民族高三上学期第三次月考数学检测试题(含解析),共24页。
相关试卷
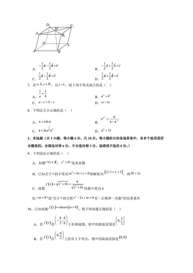
2024-2025学年内蒙古科左中旗高一上学期第二次月考数学检测试题(含解析):
这是一份2024-2025学年内蒙古科左中旗高一上学期第二次月考数学检测试题(含解析),共10页。
2024-2025学年内蒙古科左中旗高一上学期第二次月考数学检测试题(含答案):
这是一份2024-2025学年内蒙古科左中旗高一上学期第二次月考数学检测试题(含答案),共4页。
2024-2025学年内蒙古鄂尔多斯市西四旗高三上学期期中联考数学检测试题(含解析):
这是一份2024-2025学年内蒙古鄂尔多斯市西四旗高三上学期期中联考数学检测试题(含解析),共24页。