


还剩10页未读,
继续阅读
2024-2025学年福建省古田县高三上学期第三次月考数学检测试题(含答案)
展开
这是一份2024-2025学年福建省古田县高三上学期第三次月考数学检测试题(含答案),共13页。
相关试卷
2024-2025学年福建省古田县高三上册第三次月考数学质量检测试题(含解析):
这是一份2024-2025学年福建省古田县高三上册第三次月考数学质量检测试题(含解析),共12页。试卷主要包含了选择题,解答题等内容,欢迎下载使用。
2024-2025学年福建省福州市高三上学期第一次月考数学检测试题(含答案):
这是一份2024-2025学年福建省福州市高三上学期第一次月考数学检测试题(含答案),共5页。
2024~2025学年福建省宁德市古田县第一中学高三(上)第三次月考数学试卷(含答案):
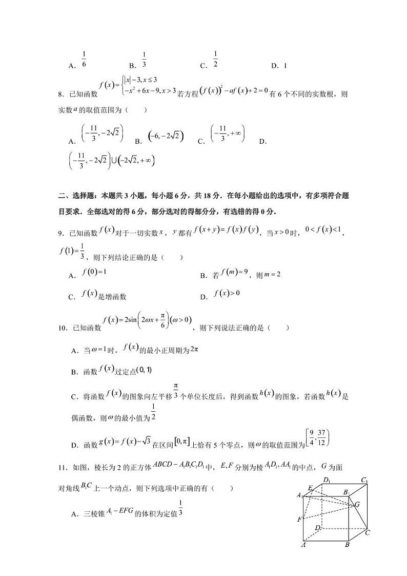
这是一份2024~2025学年福建省宁德市古田县第一中学高三(上)第三次月考数学试卷(含答案),共12页。
