所属成套资源:全国顶级联盟2023-2024学年高一上学期1月期末调研考试数学试题解析版
12_安徽省宿州市省、市示范高中2023-2024学年高一上学期期末教学质量检测数学试题(解析版)
展开
这是一份12_安徽省宿州市省、市示范高中2023-2024学年高一上学期期末教学质量检测数学试题(解析版),共17页。试卷主要包含了单项选择题,多项选择题,填空题,解答题等内容,欢迎下载使用。
高一数学试卷(人教版)
一、单项选择题:(本题共8小题,每小题5分,共40分.在每小题给出的四个选项中,只有一项是符合题目要求的.)
1. 已知集合,,则()
A. B. C. D.
【答案】A
【解析】
【分析】将集合化简,再由并集的运算,即可得到结果.
【详解】因为,令,解得,
则,且,
则.
故选:A
2. ()
A. B. C. D.
【答案】C
【解析】
【分析】利用诱导公式求出答案.
【详解】.
故选:C
3. “角是第三象限角”是“”的().
A. 充分不必要条件B. 必要不充分条件
C. 充要条件D. 既不充分又不必要条件
【答案】A
【解析】
【分析】结合角所在象限的性质及充分不必要条件进行判断即可.
【详解】当角是第三象限角时,
,,
于是,
所以充分性成立;
当,即时,
角第二或第三象限角,
所以必要性不成立,
故选:A.
4. 已知,,则xy的最大值为()
A. 2B. C. D.
【答案】A
【解析】
【分析】由,得,再根据基本不等式可求出结果.
【详解】由,得,得,即,
因为,所以,当且仅当,时,等号成立,
所以,即xy的最大值为.
故选:A
5. 已知,,,则,,的大小关系为()
A. B. C. D.
【答案】C
【解析】
【分析】根据题意,结合指数函数以及对数函数的单调性,即可求解.
【详解】因为函数在上单调递增,
则,即,
又,即,
所以.
故选:C
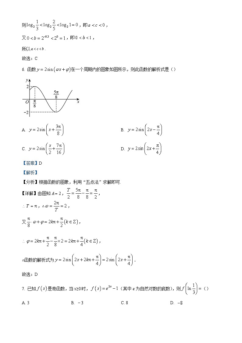
6. 函数在一个周期内的图象如图所示,则此函数的解析式是()
A. B.
C. D.
【答案】D
【解析】
【分析】根据函数的图象,利用“五点法”求解即可.
详解】由图知,,
,∴,
又,
,
∴函数的解析式为.
故选:D
7. 已知是奇函数,当x≥0时,(其中e为自然对数的底数),则()
A. 3B. C. 8D.
【答案】D
【解析】
【分析】根据奇函数的性质即可求解.
【详解】由是奇函数得,又时,,
所以.
故选:D
8. 黎曼函数由德国著名数学家黎曼(Riemann)发现提出黎曼函数定义在上,其解析式为:当为真约数且时,当或上的无理数时,若函数是定义在R上的偶函数,且,,当时,,则:()
A. B. C. D.
【答案】B
【解析】
【分析】根据已知可推得偶函数的周期为4,利用偶函数性质、周期性求目标函数值.
【详解】由题意,则,
所以偶函数的周期为4,
,
,
所以
故选:B
二、多项选择题:(本题共4小题,每小题5分,共20分.在每小题给出的选项中,有多项符合题目要求,全部选对的得5分,部分选对的得2分,有选错的得0分.)
9. 设,则下列结论中正确的是()
A. B.
C. D.
【答案】AC
【解析】
【分析】利用诱导公式(一)到(六)依次转化角,逐步化简即得.
【详解】对于A项,,故A项正确;
对于B项,,故B项错误;
对于C项,,故C项正确;
对于D项,,故D项错误.
故选:AC.
10. 下列叙述正确的是()
A. 若幂函数的图象经过点,则该函数在上单调递减
B. 命题“,”的否定是“,”
C. 函数的单调递增区间为
D. 函数与函数互为反函数
【答案】ABD
【解析】
【分析】对于A,依题求出函数解析式,再判断即得;对于B,根据全称量词命题的否定要求即得;对于C,根据复合函数的单调性判断“同增异减”原则即可求得递增区间;对于D,按照互为反函数的两函数之间的关系分析即得.
【详解】对于A项,设依题意,,解得:,则因,故函数在上单调递减,即A项正确;
对于B项,否定量词和结论即得命题“,”的否定是“,”,即B项正确;
对于C项,设,由解得:或,因在定义域内为增函数,
且在上递减,在上递增,
根据同增异减原则知,函数的单调递增区间为,即C项错误;
对于D项,因的定义域为R,值域为,由可得:,
交换即得:,即,其定义域为,值域为R.即D项正确.
故选:ABD.
11. 已知函数,则下列关于函数的图象与性质的叙述中,正确的有()
A. 函数的最小正周期为
B. 函数在上单调递增
C. 函数的图象关于直线对称
D.
【答案】ABC
【解析】
【分析】根据正切函数的性质画出图象,即可判断A、B、C的正误,由正切函数及诱导公式求判断D.
【详解】函数的大致图象,如下图示,
由上图象,易知:最小正周期为、上单调递增、图象关于直线对称,故A,B,C正确,
又,
所以,故D错误.
故选:ABC.
12. 已知关于的不等式的解集为,则下列说法正确的是()
A.
B.
C. 不等式的解集为或
D. 的最小值为6
【答案】BCD
【解析】
【分析】根据含参的一元二次不等式的解法,分析可得a的正负,即可判断A的正误;根据二次函数性质,可判断B的正误;根据根与系数的关系,可得且,代入所求,化简计算,即可判断C的正误;将代入,根据基本不等式,即可判断D的正误,即可得答案.
【详解】A选项,依题可得函数开口向下与轴交点横坐标为2,3,故A错误;
B选项,依题可得时,函数值小于0,即,故B正确;
C选项,因为开口向下与轴交点横坐标为2,3,
所以,即,且,
所以不等式可化为,即,
解集为或,故C正确;
D选项,,
当且仅当时,即时取等,故D正确.
故选:BCD.
三、填空题:(本题共4小题,每小题5分,共20分.)
13. ________.
【答案】2
【解析】
【分析】利用对数的运算性质和分数指数幂的运算性质计算即得.
【详解】.
故答案为:2.
14. 已知,,则的值为______.
【答案】##
【解析】
【分析】利用半角公式结合已知条件求解.
【详解】因为,
所以,
因为,
所以,
故答案为:.
15. 如图1,折扇又名“撒扇”“纸扇”,是一种用竹木或象牙做扇骨,㓞纸或绫绢做扇面的能折叠的扇子,其展开的平面图如图2的扇形,其中,则扇面(曲边四边形)的面积是__________.
【答案】##
【解析】
【分析】由大扇形面积减去小扇形面积即可得.
【详解】,
由题意可得,扇形的面积是,扇形的面积是.则扇面(曲边四边形)的面积是.
故答案为:.
16. 已知函数有且仅有3个零点,则的取值范围是________.
【答案】
【解析】
【分析】根据函数图像及零点的定义可得结果.
【详解】当时没有零点,所以依题意有且仅有3个零点,
又时,所以,即,
故;
当时有1个零点,所以依题意有且仅有2个零点,
所以,即,
故答案为:.
四、解答题:(本题共6小题,共70分.第17题10分,其他每题12分,解答应写出文字说明、证明过程或演算步骤.)
17. (1)已知,求的值.
(2)已知角的终边过点,,,求的值.
【答案】(1)1;(2)
【解析】
【分析】(1)化简已知式,求得的值,将利用弦的齐次式化弦为切代入即得;
(2)由条件分别求出的值,再代入两角和的余弦公式计算即得.
【详解】(1)由可得:;
(2)角的终边过点,则.
由,可知:
则.
18. 已知函数.
(1)求的单调递增区间;
(2)将的图象向右平移个单位长度,得到函数的图象,求在上的值域.
【答案】(1)
(2)
【解析】
【分析】(1)根据三角恒等变换可得,然后根据三角函数的性质即得;
(2)根据图象变换规律可得,然后根据正弦函数的性质即得.
【小问1详解】
因为,
令,解得,
则的单调递增区间是;
【小问2详解】
因为,
将的图象向右平移个单位长度,
可得.
因为,所以,
所以,则,
即在区间内的值域为.
19. 已知函数是定义在R上的奇函数,其图象经过点.
(1)求实数,的值并指出的单调性(不必证明);
(2)求不等式的解集.
【答案】(1),在上单调递减
(2)
【解析】
【分析】(1)根据R上奇函数的性质得,再由,列出方程组,求得,再利用函数的单调性定义证明函数单调性即得;
(2)观察易得,代入不等式,利用奇函数性质将其化成,最后利用函数单调性化为一元二次不等式,解之即得.,
【小问1详解】
是R上的奇函数,,即,又解得.
故,易得在R上单调递减,证明如下.
任取,由,
因,则,而,则,故在R上单调递减.
【小问2详解】
易得:,不等式可化为,
是R上的奇函数,
又在R上单调递减,,即,解得或
故原不等式的解集为.
20. 国家质量监督检验检疫局于2004年5月31日发布了新的《车辆驾驶人员血液、呼气酒精含量阈值与检验》国家标准,新标准规定,车辆驾驶人血液中的酒精含量大于或等于20毫克/百毫升、小于80毫克/百毫升的行为饮酒驾车,血液中的酒精含量大于或等于80毫克/百毫升为醉酒驾车,经过反复试验,喝一瓶啤酒后酒精在人体血液内的变化规律“散点图”如下:
该函数模型如下,
.
根据上述条件,回答以下问题:
(1)试计算喝1瓶啤酒后多少小时血液中的酒精含量达到最大值?最大值是多少?
(2)试计算喝1瓶啤酒后多少小时才可以驾车?(时间以整小时计)(参考数据:)
【答案】(1)喝一瓶啤酒后1.5小时血液中的酒精达到最大值,最大值是44.42毫克/百毫升;(2)喝一瓶啤酒后6小时才可以驾车
【解析】
【分析】(1)由图可知,当函数取得最大值时,,此时时,取得最大值,即可求得.
(2)由题意知当车辆驾驶人员血液中的酒精小于20毫克/100毫升可以驾车,此时,解不等式,两边取对数,即可求出..
【详解】(1)由图可知,当函数取得最大值时,.
此时.
当时,即时,函数取得最大值为,
故喝一瓶啤酒后1.5小时血液中的酒精达到最大值,最大值是44.42毫克/百毫升,
(2)由题意知当车辆驾驶人员血液中的酒精小于20毫克/100毫升可以驾车,此时,
由,得,
两边取自然对数得,
即,
∴,
故喝一瓶啤酒后6小时才可以驾车.
【点睛】本题考查函数模型应用和分段函数,考查分析问题的能力和运算求解的能力,属于中档题.
21. 已知函数且的图象过点.
(1)求的值及的定义域;
(2)求在上的最大值;
(3)若,比较与的大小.
【答案】(1),定义域为;
(2)最大值是,
(3).
【解析】
【分析】(1)由求得,由对数函数的定义得定义域;
(2)函数式化简为只含有一个对数号,然后由二次函数性质及对数函数性质得最大值;
(3)指数式改写为对数式,然后比较的大小,并由已知得出的范围,在此范围内由的单调性得大小关系.
【小问1详解】
由已知,,
,定义域为;
【小问2详解】
,
,,则,
所以,时取等号,
最大值为;
【小问3详解】
,,
,,
,,
所以,,则,,
∵,所以,,即,
,,
所以,,
∵在上是增函数,又在时是减函数,
∴在上是减函数,
∴.
22. 已知函数.
(1)若为偶函数,求函数的定义域;
(2)若过点,设,若对任意的,,都有,求实数的取值范围.
【答案】(1)
(2)
【解析】
【分析】(1)先得出的值,然后解出的解,即为函数的定义域;
(2)先求出的最小值,然后分类讨论求出的最大值,进而得出的取值范围.
【小问1详解】
因为为偶函数,
所以,即,
因为,所以,
解得:,,
所以,,
所以的定义域为.
【小问2详解】
因为过点,所以,
因为,所以,
所以,
因,所以,
所以 ,
又因为对任意的,,都有成立,
所以,,
,
因为,所以,
设,
则有图象开口向下,对称轴为的抛物线,
当 时,在 上单调递增,
所以,
所以,解得,所以;
当 时, 在上单调递减,
所以,所以,
解得,故;
当时,,
故,解得,所以,
综上所述:实数 a 取值范围为.
【点睛】关键点点睛:本题第二问的关键是根据题意得,再利用换元法和二次函数的性质对进行分类讨论即可.
相关试卷
这是一份11_安徽省宿州市省、市示范高中2023-2024学年高一上学期期末教学质量检测数学试题(原卷版),共5页。试卷主要包含了单项选择题,多项选择题,填空题,解答题等内容,欢迎下载使用。
这是一份安徽省宿州市省、市示范高中2024-2025学年高一上学期期中教学质量检测数学试题,文件包含安徽省宿州市省市示范高中20242025学年度第一学期期中教学质量检测docx、安徽省宿州市省市示范高中20242025学年度第一学期期中教学质量检测参考答案pdf等2份试卷配套教学资源,其中试卷共9页, 欢迎下载使用。
这是一份安徽省宿州市省、市示范高中2023-2024学年高一上学期期末教学质量检测数学试题,共9页。试卷主要包含了单项选择题,多项选择题,填空题,解答题等内容,欢迎下载使用。

