所属成套资源:人教A版高一数学寒假讲义+巩固练习+随堂检测(2份,原卷版+教师版)
- (预习课)人教A版高一数学寒假讲义第09讲 平面向量的应用+巩固练习+随堂检测(2份,原卷版+教师版) 试卷 0 次下载
- (预习课)人教A版高一数学寒假讲义第10讲 复数的概念+巩固练习+随堂检测(2份,原卷版+教师版) 试卷 0 次下载
- (预习课)人教A版高一数学寒假讲义第11讲 复数的四则运算+巩固练习+随堂检测(2份,原卷版+教师版) 试卷 0 次下载
- (预习课)人教A版高一数学寒假讲义第12讲 基本立体图形+巩固练习+随堂检测(2份,原卷版+教师版) 试卷 0 次下载
- (预习课)人教A版高一数学寒假讲义第14讲 简单几何体的表面积与体积+巩固练习+随堂检测(2份,原卷版+教师版) 试卷 0 次下载
(预习课)人教A版高一数学寒假讲义第13讲 立体图形的直观图+巩固练习+随堂检测(2份,原卷版+教师版)
展开
这是一份(预习课)人教A版高一数学寒假讲义第13讲 立体图形的直观图+巩固练习+随堂检测(2份,原卷版+教师版),文件包含预习课人教A版高一数学寒假讲义第13讲立体图形的直观图+巩固练习+随堂检测教师版docx、预习课人教A版高一数学寒假讲义第13讲立体图形的直观图+巩固练习+随堂检测教师版pdf、预习课人教A版高一数学寒假讲义第13讲立体图形的直观图+巩固练习+随堂检测原卷版docx、预习课人教A版高一数学寒假讲义第13讲立体图形的直观图+巩固练习+随堂检测原卷版pdf等4份试卷配套教学资源,其中试卷共67页, 欢迎下载使用。
1、学会画水平放置的平面图形.
2、学会直观图的有关知识.
【考点目录】
考点一:水平放置的平面图形直观图的画法
考点二:几何体的直观图画法
考点三:与直观图还原有关的计算问题
【基础知识】
知识点一:用斜二测画法画平面图形的直观图的步骤
(1)在已知图形中取互相垂直的x轴和y轴,两轴相交于点O,画直观图时,把它们画成对应的x′轴和y′轴, 两轴相交于点O′,且使∠x′O′y′=45°(或135°),它们确定的平面表示水平面.
(2)已知图形中平行于x轴或y轴的线段,在直观图中分别画成平行于x′轴或y′轴的线段.
(3)已知图形中平行于x轴的线段,在直观图中保持原长度不变,平行于y轴的线段,长度变为原来地一半.
知识点诠释:
用斜二测画法画图的关键是在原图中找到决定图形位置与形状的点并在直观图中画出.一般情况下,这些点的位置都要通过其所在的平行于x、y轴的线段来确定,当原图中无需线段时,需要作辅助线段.
知识点二:用斜二测画法画空间几何体的直观图的步骤
(1)画底面,这时使用平面图形的斜二测画法即可.
(2)画z′轴,z′轴过点O′,且与x′轴的夹角为90°,并画出高线(与原图高线相等,画正棱柱时只需要画侧棱即可),连线成图.
(3)擦去辅助线,被遮线用虚线表示.
知识点三:斜二测画法保留了原图形中的三个性质
①平行性不变,即在原图中平行的线在直观图中仍然平行;②共点性不变,即在原图中相交的直线仍然相交;③平行于x,z轴的长度不变.
【考点剖析】
考点一:水平放置的平面图形直观图的画法
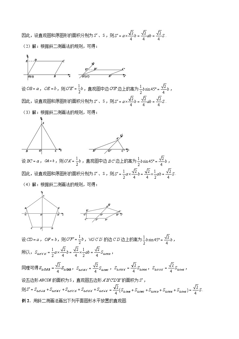
例1.用斜二测画法画出下列水平放置的平面图形的直观图(尺寸自定),并由此探寻直观图面积与原图形面积之间的关系.
(1)矩形;(2)平行四边形;(3)正三角形;(4)正五边形
【解析】(1)解:根据斜二测画法的规则,可得:
设,,则,直观图中边边上的高为,
因此,设直观图和原图形的面积分别为、,则.
(2)解:根据斜二测画法的规则,可得:
设,,则,直观图中边边上的高为,
因此,设直观图和原图形的面积分别为、,则.
(3)解:根据斜二测画法的规则,可得:
设,,则,直观图中边边上的高为,
因此,设直观图和原图形的面积分别为、,则.
(4)解:根据斜二测画法的规则,可得:
设,,则,的边边上的高为,
所以,,
同理可得,,,,
设五边形的面积为,直观图五边形的面积为,
则.
例2.用斜二测画法画出下列平面图形水平放置的直观图.
【解析】解:(1)画,轴,使,在轴上截取,在轴上截取.过作轴的平行线,且取线段长度为2,连接,,,,则四边形的直观图即为四边形;
(2)画,轴,使,在轴上截取,在轴过、分别作的平行线,与在轴上过作轴的平行线分别交于,,连接,,,.则四边形的直观图即为四边形.
考点二:几何体的直观图画法
例3.用斜二测画法画出各棱长都为5的正三棱锥的直观图.
【解析】分两个步骤完成:
(1)先画出水平放置的边长为的正三角形的直观图:
1°在正三角形中,设的中点为,取中心为原点,过且与平行的直线为轴,以为轴建立直角坐标系,如图:
,
则,,
2°作出斜坐标系,使,
在轴正半轴上取使,在轴负半轴上取点,使,
过作轴的平行线,使得,连,则三角形就是水平放置的边长为的正三角形的直观图,如图:
(2)过作轴,在轴正半轴上取点,使,连,可得各棱长都为5的正三棱锥的直观图,如图:
考点三:与直观图还原有关的计算问题
例4.如图,是用斜二测画法画出的直观图,则的周长为( )
A. B. C. D.
【答案】C
【解析】作出的直观图如下图所示:
由图可得,,因此,的周长为.故选:C.
例5.如图,边长为2的正方形是一个水平放置的平面图形的直观图,则图形的面积是( )
A.B.C.D.
【答案】A
【解析】由三视图知原平面图形是平行四边形,,,且,
所以面积为.故选:A.
例6.正方形的边长为1,利用斜二测画法得到直观图,其周长等于___________.
【答案】3
【解析】根据斜二测画法的原则可得:直观图中,x方向长度不变,y方向长度减半,如图所示:
所以的周长为.故答案为:3
【真题演练】
1.(2022·广东佛山·高一阶段练习)如图,水平放置的的斜二测直观图为,已知,则的周长为( )
A.B.C.D.
【答案】C
【解析】由直观图可还原如下图所示,
其中,,,,的周长为.
故选:C.
2.(2022·江苏省江阴市第一中学高一阶段练习)如图,是一个平面图形的直观图,若,则这个平面图形的面积是( )
A.1B.C.D.
【答案】C
【解析】由已知得中,直角边,,则平面图中该三角形,对应底面边长不变为,三角形的高应为,则平面三角形的面积为.故选:C
3.(2022·浙江·高一期中)已知的面积为,下图是的直观图,已知,,过作轴于,则的长为( )
A.B.C.D.
【答案】A
【解析】设三角形直观图的面积为,显然,
又,解得.故选:
4.(2022·江西省万载中学高一阶段练习(文))如图,是水平放置的△ABC的斜二测画法的直观图,其中,则△ABC是( )
A.钝角三角形B.等腰三角形,但不是直角三角形
C.等腰直角三角形D.等边三角形
【答案】C
【解析】将其还原成原图,设,则可得,,从而,所以,即,故是等腰直角三角形.故选:C.
5.(2022·福建省福州格致中学高一期末)如图,是用斜二测画法画出的直观图,则是( )
A.锐角B.直角C.钝角D.无法判断
【答案】C
【解析】根据斜二测画法的规则,将直观图还原为平面图如图所示,
所以,是钝角.故选:C
6.(2022·上海市七宝中学高一期末)如下图所示,梯形是水平放置的平面图形的直观图(斜二测画法),若,,则四边形的面积是_____.
【答案】10
【解析】根据直观图画法的规则,直观图中平行于轴,,所以原图中,
从而得出AD⊥DC,且,直观图中,,
所以原图中,,即四边形ABCD上底和下底边长分别为4,6,高为2,
故其面积.故答案为:10.
7.(2022·浙江省杭州学军中学高一期中)已知三角形ABC的斜二侧画法的直观图是边长为2的正三角形如图所示,则C的坐标为__________
【答案】
【解析】在直观图中,在轴上取点,使得轴,如下图:
则,,
由正弦定理可得,
又,
可得,,故将直观图还原为平面图如下图:
在平面直角坐标系中如图所示,连接,,.故
故答案为:
8.(2022·安徽池州·高一期中)一水平位置的平面图形的斜二测直观图是一个底平行于轴,底角为,两腰和上底长均为2的等腰梯形,则这个平面图形的面积是__________.
【答案】
【解析】由已知斜二测直观图根据斜二测化法规则画出原平面图形,如图所示:
这个平面图形的面积:.故答案为:.
9.(2022·全国·高一课时练习)如图所示,平行四边形是四边形的直观图,若,,则原四边形的周长为______.
【答案】10
【解析】由四边形的直观图可知该四边形是矩形,如图,且,,
所以原四边形的周长为.故答案为:10.
10.(2022·全国·高一课时练习)如图,在斜二测画法下被画成正三角形,请画出的真正图形.
【解析】如图,即为所求图形.
作图过程:过C作CD⊥AB于D,延长DA到O,使得DO=DC,连接OC,则∠COD=45°.过O作Oy⊥OB,并以Oy作为y轴,OB作为x轴,在y轴正半轴取,使得,连接、,
则根据斜二测画法的原理可知即为真正的图形.
【过关检测】
一、单选题
1.关于斜二测画法,下列说法错误的是( )
A.平行直线的直观图仍然是平行直线
B.垂直直线的直观图仍然是垂直直线
C.直观图中分别与两条坐标轴重合的直线,实际的位置是相互垂直的
D.线段的中点在直观图中仍然是中点
【答案】B
【解析】对于A,平行直线在直观图中长度可能会变化,但平行关系不变,A正确;对于B,平行于轴和轴的两条直线,在直观图中夹角为,B错误;对于C,直观图中与两条坐标轴重合的直线,还原后与平面直角坐标系中的轴重合,实际位置互相垂直,C正确;对于D,线段的中点在直观图中依然会是该线段直观图画法中的中点,D正确.故选:B.
2.如图,这是一个平面图形的直观图,则它的实际形状(四边形)为( )
A.平行四边形B.梯形C.菱形D.矩形
【答案】D
【解析】由,得,由边的平行关系可知,原图形为矩形,故选:D
3.已知水平放置的的直观图如图所示,,,则边上的中线的实际长度为( )
A.5B.C.D.
【答案】C
【解析】的实际图形应是直角三角形,两条直角边长分别是4和3,斜边上的中线长度为
故选:C
4.已知等边三角形ABC的边长为a,那么△ABC的平面直观图△A′B′C′的面积为( )
A.B.C.D.
【答案】D
【解析】如图①②所示的实际图形和直观图.
由斜二测画法可知,,,
在图②中作于,则.
所以.故选:D.
5.如图所示,矩形是水平放置的一个平面图形的直观图,其中,,则原图形是( )
A.面积为的矩形B.面积为的矩形
C.面积为的菱形D.面积为的菱形
【答案】C
【解析】,所以,故在原图中,,,
所以四边形为菱形(如图所示),,则面积为.故选:C
6.如图,正方形的边长为1,它是水平放置的一个平面图形的直观图,则原图形的周长是( )
A.6B.8C.D.
【答案】B
【解析】作出该直观图的原图形,因为直观图中的线段轴,所以在原图形中对应的线段CB平行于x轴且长度不变,点和在原图形中对应的点C和B的纵坐标是的2倍,
则,所以,则四边形的周长为.故选:B.
7.对于用斜二测画法画水平放置的图形的直观图来说,下列描述错误的是( )
A.三角形的直观图仍然是一个三角形
B.的角的直观图会变为的角
C.与y轴平行的线段长度变为原来的一半
D.由于选轴的不同,所得的直观图可能不同
【答案】B
【解析】对于A,根据斜二测画法特点知,相交直线的直观图仍是相交直线,因此三角形的直观图仍是一个三角形,故A正确;对于B,的角的直观图会变为或的角,故B错误;对于C,D,由斜二测画法的特点可知,C,D显然正确.故选:B.
8.若水平放置的四边形按“斜二测画法”得到如图所示的直观图,其中,,,,则原四边形中的长度为( )
A.B.C.2D.
【答案】B
【解析】过点作,垂足为. 因为,,,;
,所以原四边形中的长度为2.故选:B
二、多选题
9.用斜二测画法画水平放置的平面图形的直观图时,下列结论正确的是( )
A.相等的线段在直观图中仍然相等
B.平行的线段在直观图中仍然平行
C.一个角的直观图仍是一个角
D.相等的角在直观图中仍然相等
【答案】BC
【解析】由斜二测画法原则:平行依旧垂改斜,横等纵半竖不变,平行于x轴且相等的线段在直观图中仍相等,而不是所有相等线段都能相等,A错误;平行线段在直观图中仍然平行,B正确;一个角在直观图中也是一个角的形式出现,C正确;如直角梯形在直观图中与直角对应的两个角不相等,D错误.
故选:BC
10.(多选)下列说法中正确的有( )
A.画直观图时与x轴、y轴对应的轴、轴之间的夹角应为或
B.长方体直观图的长、宽、高与原长方体的长、宽、高的比例相同
C.水平放置的矩形的直观图是平行四边形
D.水平放置的圆的直观图是椭圆
【答案】ACD
【解析】由斜二测画法规则知,选项A,C正确;长方体直观图的长、高与原长方体的长、高的比例相同,但在直观图中的宽只是原来的一半, B错误;水平放置的圆的直观图是椭圆,D正确.故选:ACD
11.如图所示,是水平放置的的斜二测直观图,其中,则以下说法正确的是( )
A.是钝角三角形
B.的面积是的面积的2倍
C.是等腰直角三角形
D.的周长是
【答案】CD
【解析】根据斜二测画法可知,在原图形中,O为的中点,,因为,所以,则是斜边为4的等腰直角三角形,如图所示:
所以的周长是,面积是4,故A错误,C,D正确.由斜二测画法可知,的面积是的面积的倍,故B错误.故选:CD.
12.如图,四边形ABCD的斜二测直观图为等腰梯形,已知,则( )
A. B.
C.四边形ABCD的周长为 D.四边形ABCD的面积为6
【答案】ACD
【解析】由已知等腰梯形中,,, 所以,由斜二测画法得,在原图直角梯形ABCD中,.∠BAD=,易得,所以四边形ABCD的周长为,面积为.故选:ACD.
三、填空题
13.如图所示,是利用斜二测画法画出的的直观图,已知轴,,且的面积为16,过作轴,则的长为______.
【答案】
【解析】因为,,所以,即.
故答案为:.
14.如图,正方形是一水平放置的平面图形ABCD在斜二测画法下的直观图.若,则平面图形ABCD的面积是______.
【答案】
【解析】由斜二测画法的规则知与轴平行或重合的线段与轴平行或重合,其长度不变,所以,
与轴平行或重合的线段与轴平行或重合,其长度变成原来的一半.正方形的对角线在轴上,可求得其长度为,如图所示:平面图中,在轴上,且其长度变为原来的2倍,即.
则平面图形ABCD的面积.故答案为:
15.在中,,用斜二测画法画出的直观图,则该直观图的面积为______.
【答案】
【解析】如图所示,作出底边上的高,
则,所以,所以该直观图的面积.
故答案为:.
16.已知正方形的面积为4,其直观图是四边形,则四边形的面积是_________.
【答案】
【解析】按照斜二测画法,边长为2的正方形的直观图是邻边分别为2和1,一个内角为的平行四边形,其面积为.故答案为:
四、解答题
17.画出如图所示的水平放置的正方形的直观图(画在原图上).
【解析】该正方形直观图如图所示,
18.画图中水平放置的直角三角形的直观图.
【解析】如图所示.
,去掉作图痕迹,如图,
19.用斜二测画法画长、宽、高分别是8cm,6cm,3cm的长方体的直观图.
【解析】根据斜二测画法的规则可知,底面矩形的直观图为平行四边形.
①画出水平放置的长、宽分别是8 cm、6 cm的矩形ABCD的直观图.
②作Az垂直于AB,在Az轴上截取.
分别过点B、C、D作,,,且.
③连接、、、,并擦去辅助线,将被遮挡的部分改为虚线,即得长方体的直观图,如图2所示.
20.如图,矩形是一个水平放置的平面图形的直观图,其中,,则原图形的形状是什么?面积是多少?
【解析】在直观图中,若与交于点,则,,.
在原图形中,,,.
∵,,∴原图形是平行四边形,如图,其面积.
21.如图,梯形是一水平放置的平面图形在斜二测画法下的直观图.若平行于轴,,求梯形的面积.
【解析】如图,根据直观图画法的规则,直观图中平行于轴,,⇒原图中,
从而得出AD⊥DC,且,
直观图中,,⇒原图中,,
即四边形ABCD上底和下底边长分别为2,3,高为2,如图.
故其面积.
立体图形的直观图 随堂检测
1.用斜二测画法画水平放置的平面图形的直观图时,下列结论中正确的是( )
A.相等的角在直观图中仍然相等
B.相等的线段在直观图中仍然相等
C.正方形在直观图中仍然是正方形
D.平行的线段在直观图中仍然平行
【答案】D
【解析】选项A:通过举反例,等腰三角形的直观图不是等腰三角形,A错误.选项B:由于斜二测画法的法则是平行于x轴的线平行性与长度都不变;平行于y轴的线平行性不变,但长度变为原长度的一半,故B错误.选项C:正方形的两邻边相等,但在直观图中不相等,C错误.选项D:由斜二测画法可知,平行的线段在直观图中仍然平行,D正确.故选:D.
2.用斜二测画法画水平放置的平面图形的直观图,对其中的线段说法错误的是( )
A.原来相交的仍相交B.原来垂直的仍垂直
C.原来平行的仍平行D.原来共点的仍共点
【答案】B
【解析】根据斜二测画法可知:平行不变,即原图中的平行,则直观图也平行,原图的相交,直观图中也相交,但相对应的角度会改变,,所以错误的是B故选:B.
3.如图,是水平放置的△ABC的斜二测画法的直观图,其中,则△ABC是( )
A.钝角三角形B.等腰三角形,但不是直角三角形
C.等腰直角三角形D.等边三角形
【答案】C
【解析】将其还原成原图,设,则可得,,从而,所以,即,故是等腰直角三角形.故选:C.
4.已知水平放置的矩形的长为4,宽为,用斜二测画法画出该矩形的直观图,则所画直观图的面积为( )
A.32B.C.4D.2
【答案】C
【解析】根据斜二测画法的规则可知,矩形的直观图为平行四边形, 如图,
其中,所以平行四边形的面积.故选:C
5.在直角坐标系中水平放置的直角梯形如图所示.已知为坐标原点,,,.在用斜二测画法画出的它的直观图中,四边形的周长为( )
A.8B.10C.D.
【答案】D
【解析】如图,画出直观图,
过点作,垂足为.因为,,所以,,,则,故四边形的周长为,所以D正确.故选:D.
6.如图,是用斜二测画法画出的直观图,则的周长为( )
A. B. C. D.
【答案】C
【解析】作出的直观图如下图所示:
由图可得,,因此,的周长为.故选:C.
7.(多选)如图所示,是水平放置的的斜二测直观图,其中,则以下说法正确的是( )
A.是钝角三角形 B.的面积是的面积的2倍
C.是等腰直角三角形 D.的周长是
【答案】CD
【解析】根据斜二测画法可知,在原图形中,O为的中点,,因为,所以,则是斜边为4的等腰直角三角形,如图所示:
所以的周长是,面积是4,故A错误,C,D正确.由斜二测画法可知,的面积是的面积的倍,故B错误.故选:CD.
8.如图,若斜边长为的等腰直角(与重合)是水平放置的的直观图,则的面积为________.
【答案】
【解析】在斜二测直观图中, 由为等腰直角三角形,,可得,.
还原原图形如图:
则,则,故答案为:.
9.如图,正方形是一水平放置的平面图形ABCD在斜二测画法下的直观图.若,则平面图形ABCD的面积是______.
【答案】
【解析】由斜二测画法的规则知与轴平行或重合的线段与轴平行或重合,其长度不变,所以,
与轴平行或重合的线段与轴平行或重合,其长度变成原来的一半.正方形的对角线在轴上,可求得其长度为,如图所示:平面图中,在轴上,且其长度变为原来的2倍,即.
则平面图形ABCD的面积.故答案为:
10.如图,某四边形的直观图是上底为1,下底为2,高为的梯形,则原四边形的面积为________.
【答案】6
【解析】过点作的垂线,垂足分别为,因为是梯形,且,,,
所以,因为,所以,
画出原图形如下:
由直观图和原图形知:,原来图形为直角梯形,且,
所以原来图形的面积.故答案为:6.
11.已知三角形ABC的斜二侧画法的直观图是边长为2的正三角形如图所示,则C的坐标为__________
【答案】
【解析】在直观图中,在轴上取点,使得轴,如下图:
则,,
由正弦定理可得,
又,
可得,,故将直观图还原为平面图如下图:
在平面直角坐标系中如图所示,连接,,.
故故答案为: .
相关试卷
这是一份(预习课)人教A版高一数学寒假讲义第12讲 基本立体图形+巩固练习+随堂检测(2份,原卷版+教师版),文件包含预习课人教A版高一数学寒假讲义第12讲基本立体图形+巩固练习+随堂检测教师版docx、预习课人教A版高一数学寒假讲义第12讲基本立体图形+巩固练习+随堂检测教师版pdf、预习课人教A版高一数学寒假讲义第12讲基本立体图形+巩固练习+随堂检测原卷版docx、预习课人教A版高一数学寒假讲义第12讲基本立体图形+巩固练习+随堂检测原卷版pdf等4份试卷配套教学资源,其中试卷共74页, 欢迎下载使用。
这是一份(预习课)人教A版高一数学寒假讲义第11讲 复数的四则运算+巩固练习+随堂检测(2份,原卷版+教师版),文件包含预习课人教A版高一数学寒假讲义第11讲复数的四则运算+巩固练习+随堂检测教师版docx、预习课人教A版高一数学寒假讲义第11讲复数的四则运算+巩固练习+随堂检测教师版pdf、预习课人教A版高一数学寒假讲义第11讲复数的四则运算+巩固练习+随堂检测原卷版docx、预习课人教A版高一数学寒假讲义第11讲复数的四则运算+巩固练习+随堂检测原卷版pdf等4份试卷配套教学资源,其中试卷共51页, 欢迎下载使用。
这是一份(预习课)人教A版高一数学寒假讲义第10讲 复数的概念+巩固练习+随堂检测(2份,原卷版+教师版),文件包含预习课人教A版高一数学寒假讲义第10讲复数的概念+巩固练习+随堂检测教师版docx、预习课人教A版高一数学寒假讲义第10讲复数的概念+巩固练习+随堂检测教师版pdf、预习课人教A版高一数学寒假讲义第10讲复数的概念+巩固练习+随堂检测原卷版docx、预习课人教A版高一数学寒假讲义第10讲复数的概念+巩固练习+随堂检测原卷版pdf等4份试卷配套教学资源,其中试卷共54页, 欢迎下载使用。

