


浙江省绍兴市诸暨市2024届高三(上)期末考试数学试卷(解析版)
展开
这是一份浙江省绍兴市诸暨市2024届高三(上)期末考试数学试卷(解析版),共16页。试卷主要包含了选择题,多选题,填空题,解答题等内容,欢迎下载使用。
1. 设集合,,,则( )
A. B. C. D.
【答案】D
【解析】因为,
所以,.
故选:D
2. 若函数(,)的图象过点和,则( )
A. ,B. ,
C. ,D. ,
【答案】A
【解析】因为过点得,
则,
又过点得,即,.
故选:A
3. 已知i是虚数单位,,则“”是“”的( )
A. 充分不必要条件B. 必要不充分条件
C. 充分必要条件D. 既不充分也不必要条件
【答案】B
【解析】当时,即,得,
而时,,推不出一定是,即推不出;
所以“”是“”的必要不充分条件,
故选:B
4. 已知,为单位向量,若,则( )
A. B. C. D.
【答案】C
【解析】因为,为单位向量,若,
得,即
所以,
解得:,又因为,所以.
故选:C
5. 的展开式中(即分子a的指数和分母b的指数相同)项的系数为( )
A. B. 15C. D. 20
【答案】B
【解析】通项公式,由可得,故,系数为.
故选:B
6. 若直线l与三次函数有三个公共点且公共点的横坐标成等差数列,则直线l ( )
A. 经过定点B. 不经过定点
C. 斜率为定值D. 斜率可为任意实数
【答案】A
【解析】设这三个交点的坐标分别为,,由题意可得,
由于三次函数的图像是中心对称图形,由可知,为对称中心,即直线l经过定点是三次函数的对称中心.
故选:A.
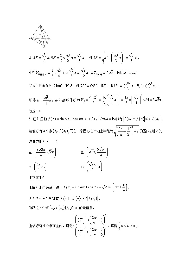
7. 小张同学将一块棱长为正方体形状橡皮泥重新捏成一个正四面体(过程中橡皮泥无损失),则该四面体外接球的体积为( )
A. B. C. D.
【答案】C
【解析】设正四面体的棱长为a,由题意可得,正方体的体积即为正四面体的体积,
设正四面体如图,F为为底面的中心,E为的中点,F在上,
O为正四面体外接球的球心,则为四面体的高,O在上,
则,则,
即得,所以,
又设正四面体外接球的半径R,则,即,
即得,故外接球体积为,
故选:C.
8. 已知函数,都有,若恰好有4个点同在一个圆心在x轴上半径为的圆内,则的取值范围为( )
A. B.
C. D.
【答案】C
【解析】由题意可得:,
因为都有,
所以这4个点为的最值点,
由恰好有4个点在圆内,可得,解得,
所以的取值范围为.
故选:C.
二、多选题:本题共4小题,每小题5分,共20分.
9. 在正方体中,E为棱的中点,则下列结论正确的是( )
A. 若点P为中点,则//平面
B. 若点P为中点,则//平面
C. 若点P为AC中点,则平面
D. 若点P为中点,则平面
【答案】AC
【解析】在正方体中,建立如图所示的空间直角坐标系,令,
则,,
设平面的法向量,则,令,得,
对于A,当点P为中点时,,,显然,
即平面,而平面,因此//平面,A正确;
对于B,当点P为中点时,,,显然,
即与平面不平行,因此与平面不平行,B错误;
对于C,当点P为AC中点时,,,因此平面,C正确;
对于D,当点P为中点时,,与不平行,因此不垂直于平面,D错误.
故选:AC
10. 已知函数,为的导函数,则下列结论正确的是( )
A. B.
C. D.
【答案】ABD
【解析】由已知得
,故A正确:
,故B正确;
,而,所以不成立,故C错误;
,故D正确:
故选:ABD
11. 已知双曲线上两点关于轴对称,分别为的左右顶点,若直线和交于点,则( )
A. 直线和的斜率之积为定值B. 直线和的斜率之积为定值
C. 点在椭圆上D. 面积的最大值为
【答案】ABC
【解析】
【分析】根据条件,对各个选项逐一分析判断即可得出结果.
【详解】设点,,则有,得到,又易知,
对于选项A,直线和的斜率之积为定值,所以选项A正确;
对于选项B,直线和的斜率之积为定值,所以选项B正确;
对于选项C,设点,直线,直线,
因为点为直线和的交点,
由,解得,
所以,
又,所以,故点在椭圆上,所以选项C正确;
对于选项D,由选项C可知面积的,
所以,得到,所以选项D错误,
故选:ABC.
12. 在的红色表格中,有一只会染红黄蓝三种颜色的电子蛐蛐从A区域出发,每次跳动都等可能的跳往相邻区域,当它落下时会将该区域染成新的颜色(既与该区域原来的颜色不同,也与蛐蛐起跳时区域的颜色不同).记蛐蛐第跳后表格中的不同染色情况种数为,(第一次跳后有如图四种情况,即),则( )
A. B. ,恒成立
C. 蛐蛐能将表格中的三块染成蓝色D. 蛐蛐能将表格中的四块染成黄色
【答案】AC
【解析】对于A,当时,对第一个表格往左跳,区域染成蓝色;或往下跳,区域染成蓝色;
共两种情况;其他表格亦如此,
,A正确;
对于B,表格最多不超过种不同的染色情况,不可能恒成立,B错误;
对于C,若蛐蛐按照如下顺序跳,即可将三个区域染成蓝色;
情况一:
情况二:
C正确;
对于D,三块都是黄色也可能,但当三块染成黄色后,不可能第四块还是黄色,因为要和起跳时区域不一样,D错误.
故选:AC.
三、填空题:本题共4小题,每小题5分,共20分
13. 设等比数列的公比为,为前项和,若,,则______.
【答案】8
【解析】因为:,,得,
于是,.
故答案为:8
14. 一台放置在水平桌面上的笔记本电脑,将其侧面抽象成如图所示的几何图形,若显示屏所在面的侧边AO与键盘所在面的侧边长BO均为,点P为眼睛所在位置,D为AO的中点,连接PD,当时,称点P为“黄金视角点”,作,垂足C在OB的延长线上,当,时,______cm.
【答案】
【解析】过O作交DP于M,过M作交PC于C,
则,,,
于是(cm).
故答案为:.
15. 将正整数由小到大排列,从中随机抽取两个数,这两个数其中一个在前面,一个在后面的概率为,则______.
【答案】4或7
【解析】由题意,整理得到
解得或7,
故答案为:4或7.
16. 已知动点P在抛物线上,抛物线焦点为F,准线与x轴交于点E,以E,F为焦点的椭圆和双曲线皆过点P,则椭圆和双曲线离心率之比的取值范围为______.
【答案】
【解析】由题意椭圆和双曲线离心率之比.
令,设,则,因为,,
所以,
因为,
所以,故,
又,所以.
故答案为:.
四、解答题:本题共6小题,共70分.
17. 已知为等比数列,前n项和,且,,,成等差数列.
(1)求和;
(2)若,求数列的前n项和.
解:(1)因为,,成等差数列,所以,又,即,
可列出方程,解得,
所以,
(2)由(1)得,所以,
.
18. 如图,在四棱锥中,PA⊥平面ABCD,,,N是线段PC中点,,.
(1)求点N到平面PAB的距离;.
(2)若二面角的余弦值为,求四棱锥体积的大小.
解:(1)因为平面,平面所以,
因为,
所以,
平面ABP,平面ABP,平面ABP,
所以点C到平面PAB的距离,
又因为BN是线段PC的中点,所以点N到平面PAB的距离.
(2)解法一:建立如图空间直角坐标系,则,,,,,
,,,
所以,
又因为平面APD,则,所以,
所以.
解法二:如图,作NO垂直AC于O,取AD中点M,连结MO,MN,
易知是二面角余角,
所以中,,
所以,所以.
19. 在中,已知.
(1)若,求的值;
(2)已知中线交于,角平分线交于,且,,求的面积.
解:(1)因为,得到,即,
由平方关系得 ,整理得到,
解得或.
(2)因为,得到,
整理得到, 所以,
又,所以,得到,
又是的中点,所以,
又,得到,整理得到,
又,得到,
所以.
20. 已知点在椭圆:上,过右焦点的两相互垂直的弦中点分别记为,.
(1)求椭圆的方程;
(2)求直线经过的定点坐标.
解:(1)由题意得:,所以椭圆的标准方程为:.
(2)若两条弦分别与轴,轴平行,此时直线就是轴,故定点在轴上.
否则设过右焦点的直线记为:交椭圆于两点,,
则,联立方程组:,消去,得:
整理得:,
, ,
用代替,可得:,,
若,解得,:,
否则, ,
故:,
其中:令得:.
故直线过定点.
21. 为丰富课余生活,某班组织了五子棋大赛.下表统计了该班学生近期课间与其他班学生的200场比赛的胜负与先后手列联表(不记平局,单位:场).最后甲乙两人晋级决赛,决赛规则如下:五局三胜,没有平局,其中第一局先后手等可能,之后每局交换先后手.已知甲先手胜乙的概率为后手胜乙的概率为.
(1)依据的独立性检验,能否认为五子棋先后手与胜负有关联?
(2)在甲第一局失败的的条件下,求甲最终获胜的概率.
附:
解:(1),
故可以认为五子棋先后手与胜负有关联.
(2)设事件A:甲第一局失败;事件B:第一局甲先手;事件C:甲获胜
;.
分两种情况讨论:
甲第一局先手且失败,但最终获胜:
共4局比赛:.
共5局比赛:
甲第一局后手且失败,但最终获胜:
共4局比赛:
共5局比赛:.
故甲在第一局失败的情况下获胜的概率.
综上.
22. 已知函数,其中且.
(1)当时,求曲线在处的切线方程.
(2)若对任意,都有恒成立,求实数a的取值范围.
解:(1)由题意知,当时,,
易知,,
即得曲线在处的切线方程为.
(2)法一:因为,
又因为,
所以随a增大而减小,当时,,
下证充分性:
设,则,
显然时,则此时单调递增,时,此时单调递减,
所以,即恒成立,
由,,
令,即,
设,,易知其对称轴为,
且,即开口向上,对称轴,
所以在单调递减,在单调递增,
所以
,
所以当时,恒成立.
法二:由题意可知,,
又由,
可知在上递增,
且.
(i)当时,即,此时存在,使得,
即在上递减,在上递增,
所以
设,则,
显然时,则此时单调递增,时,此时单调递减,
所以,即恒成立,
①当时,令
,
所以可得.
②当,
再令,
此时
,
所以可得.
(ii)当时,即,则存在,使得,
则在上递减,在上递增,
所以,不成立.
综上(i),(ii)知.先后手
胜负
合计
胜
负
先手
60
40
100
后手
40
60
100
合计
100
100
200
0.050
0.010
0.001
3.841
6.635
10.828
相关试卷
这是一份浙江省绍兴市诸暨市2023-2024学年高二(上)期末考试数学试卷(解析版),共15页。
这是一份浙江省绍兴市诸暨市2023-2024学年高三上学期期末考试数学试卷,共12页。试卷主要包含了选择题,多选题,填空题,解答题等内容,欢迎下载使用。
这是一份2024届浙江绍兴市诸暨市高三上学期期末考试数学试卷,共13页。