河北省邯郸市武安市2023-2024学年九年级(上)期末数学试卷(解析版)
展开
这是一份河北省邯郸市武安市2023-2024学年九年级(上)期末数学试卷(解析版),共16页。试卷主要包含了选择题,四象限,选项错误,不符合题意;,计算题,解答题等内容,欢迎下载使用。
一、选择题:本题共16小题,共42分.在每小题给出的选项中,只有一项是符合题目要求的.
1. 下列四个图案中,既是轴对称图形又是中心对称图形的是( )
A. B.
C. D.
【答案】D
【解析】A.是中心对称图形,但不是轴对称图形,故不符合题意;
B.是中心对称图形,但不是轴对称图形,故不符合题意;
C.既不是轴对称图形,也不是中心对称图形,故不符合题意;
D.既是轴对称图形又是中心对称图形,符合题意.
故选:D.
2. 在中,,,,那么下列各式中,正确的是( )
A. B.
C. D.
【答案】C
【解析】如图,在中,由勾股定理得:.
A、因,故此选项错误;
B、因,故此选项错误;
C、因,故此选项正确;
D、因,故此选项错误;
故选:C.
3. 已知点A(,1)与点A′(5,)关于坐标原点对称,则实数、的值是( )
A. B.
C. D.
【答案】D
【解析】已知点A(a,1)与点A′(5,b)关于坐标原点对称,根据关于原点对称的点的横坐标与纵坐标互为相反数可得a=-5,b=-1,故答案选D.
4. 对于反比例函数,下列说法不正确的是( )
A. 点(﹣2,﹣1)在它的图象上B. 它的图象在第一、三象限
C. 当x>0时,y随x的增大而增大D. 当x<0时,y随x的增大而减小
【答案】C
【解析】把点(-2,-1)代入可得,x=-2时,y=-1,所以该点函数图象上,A正确,不符合题意;
因为2大于0所以该函数图象在第一,三象限,所以B正确,不符合题意;
因为2大于0,所以该函数在x>0时,y随x的增大而减小,所以C错误,符合题意;
当x<0时,y随x的增大而减小,正确,不符合题意,
故选:C.
5. 如图,已知第一象限内的点A在反比例函数上,第二象限的点B在反比例函数上,且,,则k的值为()
A. B. C. D.
【答案】C
【解析】作轴于点,作轴于点.
则,
则,
∵,
设则,
∴,
又∵,
∴,
∴.
故选:C.
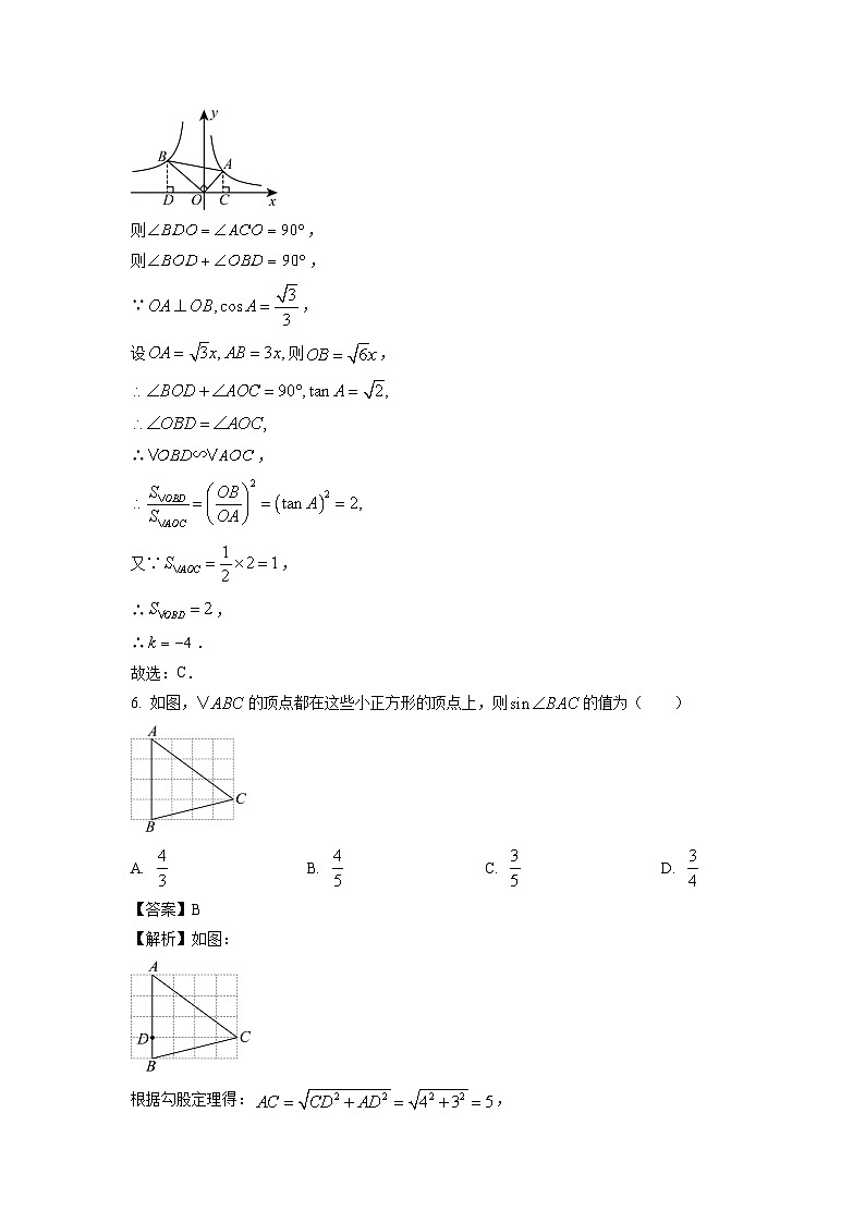
6. 如图,的顶点都在这些小正方形的顶点上,则的值为( )
A. B. C. D.
【答案】B
【解析】如图:
根据勾股定理得:,
在中,
,
故选B.
7. 设,,是抛物线上的三点,则,,的大小关系为( )
A. B.
C. D.
【答案】A
【解析】抛物线的开口向下,对称轴为直线,
,即,
离直线的距离最远,点离直线最近,
.
故选:A.
8. 如图,在中,是直径,,,则的度数为( )
A. B. C. D.
【答案】B
【解析】∵是直径,∴,
∵,∴,∵,
∴.
故选:B
9. 把抛物线向右平移1个单位长度,然后向上平移2个单位长度,则平移后抛物线的解析式为( )
A. B.
C. D.
【答案】A
【解析】∵二次函数的顶点坐标为,
∴图象向上平移2个单位长度,再向右平移1个单位长度后,顶点坐标为,由顶点式得,平移后抛物线解析式为:,
故本题答案为:
10. 如图所示,在中,,那么( )
A. B.
C. D. 无法比较
【答案】B
【解析】如图,
在圆上截取,
∵,
∴,
∴,
根据三角形的三边关系知,,
∴,
故选:.
11. 随着互联网购物急速增加,快递业逐渐成为我国发展最快的行业之一,某快递店十月份揽件5000件、十月、十一月、十二月合计揽件20000件,如果该快递店十一月、十二月月揽件量的增长率都是x,那么由题意可得方程( )
A.
B.
C.
D.
【答案】B
【解析】设该快递店十一月、十二月揽件量的增长率都是x,由题意可得方程:
.
故选:B.
12. 关于反比例函数y=﹣,下列叙述正确的是( )
A. 函数图象经过点(﹣2,﹣3)
B. 函数图象在第一、三象限
C. 当x>﹣2时,y>3
D. 当x<0时,y随x的增大而增大
【答案】D
【解析】画出反比例函数y=﹣的图象如图所示,
A、将点(﹣2,﹣3)代入表达式y=﹣,得:,等式不成立,选项错误,不符合题意;
B、由图象可得,函数图象在第二、四象限,选项错误,不符合题意;
C、由图象可得,当时,y>3,选项错误,不符合题意;
D、由图象可得,当x<0时,y随x的增大而增大,选项正确,符合题意.
故选:D.
13. 如图,一块含30°角的直角三角板绕点C顺时针旋转到,当B,C,在一条直线上时,三角板的旋转角度为( )
A. 30°B. 60°C. 120°D. 150°
【答案】D
【解析】∵将一块含30°角的直角三角板绕点C顺时针旋转到,
∴与是对应边,
∴旋转角.
故选:D.
14. 如图,点O是内一点,连接,点D,E,F分别是的中点,已知的面积是1,有以下结论:①;②;③;④其中正确的有( )
A. 1个B. 2个C. 3个D. 4个
【答案】C
【解析】∵点O是内一点,连接,点D,E,F分别是的中点,
∴,且,,且,,
且,
∴,故①正确;
∴,故②错误;
∵,,
∴,故③正确;
∵,且,
∴,故④正确;
故选:C.
15. 如图,一块材料的形状是锐角三角形,边长,边上的高为,把它加工成正方形零件,使正方形的一边在上,其余两个顶点、分别在、上,则这个正方形零件的边长是( )
A. cmB. 5cmC. 6cmD. 7cm
【答案】A
【解析】∵四边形是正方形,
∴,
∴,
又∵,
∴,
设正方形零件的边长为x,则,
∴,
解得:,
即这个正方形零件的边长为.
故选:A.
16. 已知二次函数图象的一部分如图所示,该函数图象经过点,对称轴为直线.对于下列结论:①;②;③;④若为任意实数,则.其中正确个数有( )个.
A. 1B. 2C. 3D. 4
【答案】C
【解析】①由图可知:∵图象开口向下,对称轴在轴右侧,图象与轴相交于正半轴,
∴,,,
∴,故①正确;
②,
,
,故②正确;
③∵该函数图象经过点,对称轴为直线,
∴该函数与轴另一个交点坐标为,
∴当时,,故③正确;
④∵对称轴为直线,函数开口向下,
∴当时,有最大值,
把代入得:,
把代入得:,
∵为任意实数,
∴,则,故④不正确;
综上:正确的有①②③.
故选:C.
二、填空题:本题共3小题,每小题3分,共9分.
17. 已知与轴的两个交点分别为、,则对称轴为直线_________.
【答案】1
【解析】∵与轴的两个交点分别为、,
∴抛物线的对称轴为.
18. 如图,是的直径,是的弦,,垂足为点,,,则__________.
【答案】
【解析】由题意可知,垂直平分,,
,
在中,,
.
19. 如图,正方形的边长为,P为对角线上动点,过P作于E,于F,连接,则的最小值为_______.
【答案】2
【解析】连接,,
∵正方形的边长为,,,
∴ ,,四边形是矩形,
∴
∵,
∴当点P是正方形对角线和的交点时,此时最小,且,
∴的最小值为2,
故答案为:2.
三、计算题:本大题共1小题,共9分.
20. 在一个不透明的口袋里装有分别标有数字的四个小球,除数字不同外,小球没 有任何区别,每次实验先搅拌均匀.
(1)从中任取一球, 求抽取的数字为正数的概率;
(2)从中任取一球, 将球上的数字作为点的横坐标, 记为 x (不放回);再任取一球,将球上的数字作为点的纵坐标,记为y,试用画树状图(或列表法)表示出点所有可能出现的结果,并求点落 在第二象限内的概率.
解:(1)从中任取一球,求抽取的数字为正数的概率为;
(2)由题意可列表如下:
由表格可知共有12种等可能的情况,其中点落在第二象限内的有2种可能,所以概率为.
四、解答题:本题共6小题,共60分.解答应写出文字说明,证明过程或演算步骤.
21. (1)解方程:;
(2)计算:.
解:(1)
,
方程左边分解因式,得,
∴或,
解得,;
(2)原式.
22. 如图,在正三角形中,是边上任意一点,且.
(1)求证:;
(2)若,,求的长.
(1)证明:等边三角形,
,
又,
,
,
;
(2)解:是等边三角形,,,
,,
由(1)知,
,
即,
,
.
23. 如图,直线()与双曲线()交于点和点两点.
(1)求这两个函数的表达式
(2)直接写出不等式的解集是______
解:(1)∵双曲线经过点,∴;
∴双曲线的表达式为.
∵点在双曲线上,∴,
∴点B的坐标为.
∵直线经过点和点,
∴, 解得,
∴直线的表达式为;
(2)∵
∴由图象可知,关于x的不等式的解集是,
故答案为:.
24. 如图,AB是⊙O的直径,AC是⊙O的弦,过点C的切线交AB的延长线于点D,且∠A=∠D.
解:(1)连接OC,
∵过点C的切线交AB的延长线于点D,
∴OC⊥CD,
∴∠OCD=90°,
即∠D+∠COD=90°,
∵AO=CO,
∴∠A=∠ACO,
∴∠COD=2∠A,
∵∠A=∠D,
∴∠COD=2∠D,
∴3∠D=90°,
∴∠D=30°,
∴∠ACD=180°﹣∠A﹣∠D=180°﹣30°﹣30°=120°.
(2)由(1)可知∠COD=60°
在Rt△COD中,∵CD=3,
∴OC=3×= ,
∴阴影部分的面积=.
25. 如图,在中,,,.点从点出发沿向点运动,速度为每秒,同时点从点出发沿向点运动,速度为每秒,当点到达顶点时,、同时停止运动,设点运动时间为秒.
(1)当为何值时,是以为顶角的等腰三角形?
(2)当为何值时,的面积为?
(3)当为何值时,与相似?
解:(1)∵,,
∴.
由题意,,,
∵是以为顶角的等腰三角形,
∴,
∴,
解得.
(2)过点作于点,
∴,
∴,
∴,
∴,
∴,
解得:.
(3)当时,,
∴,
解得:.
当时,,
∴,
解得:.
综上所述或时,与相似.
26. 如图,一名男生推铅球(铅球行进路线呈抛物线形状),测得铅球出手点距地面,铅球行进路线距出手点水平距离处达到最高,最高点距地面;建立如图所示的平面直角坐标系,并设抛物线的表达式为,其中是铅球行进路线的水平距离,是铅球行进路线距地面的高度.
(1)求抛物线的表达式;
(2)求铅球推出的距离是多少米.
解:(1)根据题意可知:抛物线的顶点,
则抛物线的表达式为,
将代入抛物线的表达式中,
,
解得,
抛物线的表达式为或;
(2)抛物线的表达式为,
令,则,
解得或(不符合题意,舍去),
铅球推出的距离是10米./
/
/
/
相关试卷
这是一份2023-2024学年河北省邯郸市武安市八年级(上)期末数学试卷,共6页。
这是一份河北省邯郸市武安市2023-2024学年九年级上学期期末数学试卷,共21页。试卷主要包含了选择题,填空题,计算题,解答题等内容,欢迎下载使用。
这是一份2023-2024学年河北省邯郸市武安市八年级(上)期末数学试卷(含详细答案解析),共18页。试卷主要包含了选择题,填空题,解答题等内容,欢迎下载使用。

