


安徽省池州市2024届高三(上)期末数学试卷(解析版)
展开
这是一份安徽省池州市2024届高三(上)期末数学试卷(解析版),共17页。试卷主要包含了选择题,填空题,解答题等内容,欢迎下载使用。
1. 已知集合,则( )
A. B. C. D.
【答案】C
【解析】因,
而,.
故选:C.
2. 已知,则( )
A. B. C. D. 2
【答案】B
【解析】由复数,可得,所以,
则.
故选:B.
3. 已知向量,若,则下列关系一定成立的是( )
A. B. C. D.
【答案】D
【解析】,
由可得,,整理得.
故选:D.
4. 已知函数在区间上单调递增,则实数a取值范围是( )
A. B. C. D.
【答案】A
【解析】由函数在上单调递增,
因为函数在区间上单调递增,
则有函数在区间上恒正且单调递增,
则满足且,解得,
所以实数的取值范围是.
故选:A.
5. 某种化学物质的衰变满足指数函数模型,每周该化学物质衰减,则经过周后,该化学物质的存量低于该化学物质的,则的最小值为( )(参考数据:)
A. B. C. D.
【答案】C
【解析】设该化学物质最初的质量为,经过周后,该化学物质的存量为,
由题意可得,即,可得,
所以,,
故正整数的最小值为.
故选:C.
6. 的展开式中的系数为( )
A. 10B. C. 20D.
【答案】A
【解析】,
展开式的通项公式为,
时,,所以的系数为.
故选:A.
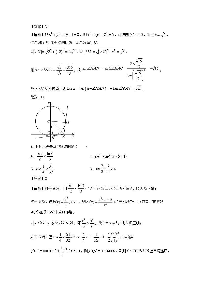
7. 已知过点与圆:相切的两条直线分别是,若的夹角为,则( )
A. B. C. D.
【答案】D
【解析】,即,可得圆心,半径,
过点作圆C的切线,切点为M,N,
,则,
则,故,
故为钝角,则.
故选:D.
8. 下列不等关系中错误的是( )
A. B.
C. D.
【答案】C
【解析】对于A项,因,故A项正确;
对于B项,设,则在上恒成立,故函数在上单调递增,
因,故,即,故,故B项正确;
对于C项,因,故构造,则则在上单调递增,,故C项错误;
对于D项,,,构造函数则单调递增,,故D项正确.
故选:C.
二、选择题:本题共4小题,每小题5分,共20分.在每小题给出的选项中,有多项符合题目要求.全部选对的得5分,部分选对的得2分,有选错的得0分.
9. 下列判断中正确的是( )
A. 一组从小到大排列的数据,1,3,5,6,7,9,x,10,10,去掉x与不去掉x,它们的80%分位数都不变,则
B. 两组数据与,设它们的平均值分别为与,将它们合并在一起,则总体的平均值为
C. 已知离散型随机变量,则
D. 线性回归模型中,相关系数r的值越大,则这两个变量线性相关性越强
【答案】AB
【解析】对于A中,数据,1,3,5,6,7,9,x,10,10的80%分位数为,
数据,1,3,5,6,7,9,10,10的80%分位数为10,所以,选项A正确;
对于B中,由平均数公式,可得,,则将它们合并在一起,可得 ,所以B正确;
对于C中,离散型随机变量,可得,
根据方差的性质,可得,所以C错误;
对于D中,相关系数越大,两个变量线性相关性越强,所以D错误.
故选:AB.
10. 下列函数中均满足下面三个条件的是( )
①为偶函数;②;③有最大值
A. B.
C. D.
【答案】BCD
【解析】由题意,函数满足:①为偶函数;②;③有最大值,
对于A中,函数,由余弦函数的性质,可得,不满足②,所以A不符合题意;
对于B中,函数,由,满足①;
又由,满足②;由函数,满足③,所以B符合题意;
对于C中,函数,由,满足①;
又由,可得,满足②;当时,可得,满足③,所以C符合题意;
对于D中,,函数为偶函数,由,可得,,所以D符合题意.
故选:BCD.
11. 如图,棱长为1的正方体中,E为棱的中点,点F在该正方体的侧面上运动,且满足平面.下列说法正确的是( )
A. 点F轨迹是长度为的线段
B. 三棱锥的体积为定值
C. 存在一点F,使得
D. 直线与直线所成角的正弦值的取值范围为
【答案】ACD
【解析】设G为中点,则截面图形是为等腰梯形,分别为的中点,可得且,因为平面,平面,且平面,平面,所以平面,平面,
又因,且平面,所以平面平面,
因为平面,且点在该正方体的侧面上运动,
所以点的轨迹为线段,且,所以A正确;
由,所以B错误;
当点为中点时,因为,可得,
因为,所以,所以C正确;
当点为中点时,在正方体,可得,
则直线与直线所成的角,即为直线与直线所成的角,设,
在等腰中,,可得,
在中,可得,
所以;
当点与或重合时,此时直线与直线所成角的正弦值为,
所以直线与直线所成角的正弦值的取值范围为,所以D正确.
故选:ACD.
12. 已知数列满足,则下列说法正确的是( )
A. B. 为递增数列
C. D.
【答案】ACD
【解析】因为,即,
所以数列为递增数列,可得,选项A正确;
因为数列为递增数列且,则为递减数列,选项B错误;
因为,可得,两边平方整理得,选项C正确.
因为,整理得,两边平方得,即,可得,累加可得,即,所以,故D正确.
故选:ACD
三、填空题:本题共4小题,每小题5分,共20分.
13. 某校思想品德课教师一天有3个不同班的课,每班一节,如果该校一天共7节课,上午4节,下午3节,该教师的3节课任意两节都不能连着上(第四节和第五节不算连着上),则该教师一天的课所有不同的排法有___________种.
【答案】78
【解析】上午2节不连堂,下午一节,共有种;
上午1节,下午2节不连堂,共有,
故不同的排课方案共有种.
故答案为:78.
14. 已知函数的图象如图所示,则___________.
【答案】
【解析】由图象可得,函数的最小正周期为,
,则,
,
,即,
由于,
,故
故答案为:
15. 已知双曲线的左、右焦点分别为,点A在双曲线C上,点B在y轴上,,则双曲线C的离心率为___________.
【答案】
【解析】因,,点B在y轴上,则.
又,则,,由勾股定理,,由双曲线定义,
则.
故答案为:.
16. 现有一个底面边长为,高为4的正三棱柱形密闭容器,在容器中有一个半径为1的小球,小球可以在正三棱柱形容器中任意运动,则小球未能达到的空间体积为___________.
【答案】
【解析】边长为正三角形的内切圆半径为:,
故该小球恰好与该正三棱柱从侧面相切,
球在上下移动中所形成的空间几何体为两个半球圆柱,
其体积为:,
所以剩下体积:.
故答案为:.
四、解答题:本题共6小题,共70分.解答应写出文字说明、证明过程或演算步骤.
17. 已知在中,角的对边分别是,且.
(1)求角C的大小;
(2)若的面积,求的值.
解:(1)由题意知
因为,可得,所以,
即,
可得,
又因为,可得,所以,
因为,所以.
(2)因为的面积,可得,
解得,
由余弦定理得,即,
解得或,
当时,可得,所以;
当时,可得,所以.
18. 已知正项数列的前n项和为.
(1)求数列的前n项和;
(2)令,求数列的前9项之和.
解:(1)正项数列的前n项和为,满足,
可得,
两式相减可得,
所以,
因为,所以,
又因为,解得,
所以数列是以首项为1,公差为2的等差数列,
则数列的通项公式为,可得.
(2)由(1)知,可得,
所以
.
19. 如图,在五面体中,四边形是矩形,平面平面.
(1)求该五面体的体积;
(2)请判断在棱上是否存在一点G,使得与平面所成角的正弦值为?若存在,求的长;若不存在,请说明理由.
解:(1)因为底面是矩形,所以,又因为平面,
平面,所以平面,
又因过的平面平面,所以,
分别取与的中点M,N,连接,
则平面将五面体分割成两部分,几何体和棱锥,
故,
取中点为O,
,
,
为中点,,
平面平面,平面平面,平面,
平面,
又因为,所以,则几何体为棱柱,
取的中点,连接,可得,
则四边形为平行四边形,则,
由平面,可得平面,则为棱锥的高,
由可得,
则,
又,平面,平面平面,
平面平面,所以平面,
所以为棱柱的高,
,
;
(2)取中点Q,连接,易得,
结合(1)可知两两垂直,
以O为坐标原点,为x轴,为y轴,为z轴建立如图所示的空间直角坐标系;
则,
,,
设平面的法向量,
可得则,得,令得,
解得平面的一个法向量,
在上,设,,
,则,
设直线与平面所成角为,
,
或(舍去),
,
故存在G点,当,即G与F重合时,
与平面所成角的正弦值为.
20. 编号为1,2,3,4的四名同学一周内课外阅读的时间(单位:h)用表示,,将四名同学的课外阅读时间看成总体,则总体的均值为.先后随机抽取两个值,用这两个值的均值来估计总体均值.
(1)若采用有放回的方式抽样(两个值可以相同),则样本均值的可能取值有多少个?写出样本均值的分布列并求其数学期望;
(2)若采用无放回的方式抽样,则样本均值超过总体均值的概率会不会大于0.5?
(3)若考虑样本均值与总体均值的差的绝对值不超过0.5的概率,那么采用哪种抽样方法概率更大?
解:(1)有放回抽样会有16个等可能的样本
可得,,
所以样本均值的分布列为:
则均值.
(2)无放回抽样会有12个等可能的样本,
可得
所以样本均值的分布列为:
所以样本均值超过总体均值的概率为,
所以样本均值超过总体均值的概率不会大于0.5.
(3)样本均值与总体均值的误差不超过0.5的概率,
有放回的抽样,;无放回的抽样,,
因为,故采用无放回的抽样方法概率更大.
21. 已知椭圆具有如下光学性质:从椭圆的一个焦点发出的光线射向椭圆上任一点,经椭圆反射后必经过另一个焦点.若从椭圆的左焦点发出的光线,经过两次反射之后回到点,光线经过的路程为8,椭圆C的离心率为.
(1)求椭圆C的标准方程;
(2)如图,若椭圆C的右顶点为A,上顶点为B,动直线l交椭圆C于P、Q两点,且始终满足,作交于点M,求的最大值.
解:(1)由椭圆的性质可知,左焦点发出的光线,经过两次反射之后回到点,
可得光线经过的路程为,解得,
又由椭圆的离心率为,可得,所以,
故,故椭圆C的标准方程为.
(2)椭圆,可得,则, ,
设,直线的方程为,
联立方程组,整理得,
则且,
因为,可得,
所以
,
化简为,
而到直线的距离为,
即有M的轨迹方程为;
法1、设,则
,
表示点与点的距离的平方,减去的差;
由点与的即离为,可得M与点的距离的最大值为,
则的最大值为.
法2、令,设,
所以
(其中),
当且仅当时,取“等号”.
22. 已知函数与的图象关于直线对称,若,构造函数.
(1)当时,求函数在点处的切线与坐标轴围成三角形的面积;
(2)若(其中为的导函数),当时,,证明:.(参考数据:)
解:(1)由题,,则,
当时,,
则, .
则切线方程为,
又切线与坐标轴的交点为,
则;
证明:(2)当时,,由题意,
即
构造函数,则,
,
得在上单调递减,在上单调递增,
即,当且仅当时取等号.
则式
因,则,①
因,则,又结合(*)式,
可得,因
则,②
由①②知,
构造函数,则在单调递增,
注意到,
由零点存在性定理可知:.5
5.5
6
6.5
5.5
6
6.5
7
6
6.5
7
7.5
6.5
7
7.5
8
5
5.5
6
6.5
7
7.5
8
P
5.5
6
6.5
5.5
6.5
7
6
6.5
7.5
6.5
7
7.5
5.5
6
6.5
7
7.5
P
相关试卷
这是一份安徽省池州市第一中学2024届高三一模数学试卷(Word版附解析),文件包含安徽省池州市第一中学2024届高三第一次模拟联合检测数学试题Word版含解析docx、安徽省池州市第一中学2024届高三第一次模拟联合检测数学试题Word版无答案docx等2份试卷配套教学资源,其中试卷共30页, 欢迎下载使用。
这是一份安徽省池州市2024届高三上学期期末数学试卷(Word版附解析),文件包含安徽省池州市2024届高三上学期期末数学试题Word版含解析docx、安徽省池州市2024届高三上学期期末数学试题Word版无答案docx等2份试卷配套教学资源,其中试卷共28页, 欢迎下载使用。
这是一份安徽省池州市2023-2024学年高三上学期期末考试数学试卷(PDF版附解析),共12页。
