所属成套资源:2025南充高级中学高二上学期第二次月考(12月)及答案(九科)
2025南充高级中学高二上学期第二次月考(12月)数学试题含答案
展开
这是一份2025南充高级中学高二上学期第二次月考(12月)数学试题含答案,文件包含答案pdf、高二数学docx等2份试卷配套教学资源,其中试卷共6页, 欢迎下载使用。
( 时间:120分钟 总分:150分 命、审题人)
一、单选题:本题共8个小题,每小题5分,共40分,在每小题给出的4个选项中,只有一项是符合题目要求的.
1.设复数,则的虚部是( )
A.1B.C.iD.
已知,分别是椭圆的左、右焦点,是上一点,若的
周长为10,则的离心率为( )
A.B.C.D.
3.已知事件A,B互斥,,且,则( )
A.B.C.D.
4.用斜二测画法画出的某平面四边形的直观图如图所示,边平行于y轴,平行于x
轴,若四边形为等腰梯形,且,则原四边形的周长为( ).
B.
C. D.
5.已知离心率为3的双曲线与椭圆有相同的焦点,则( )
A.13B.21C.29D.31
6.与直线关于轴对称的直线的方程为( )
A.B.
C.D.
7.已知点在过点且与直线垂直的直线上,则圆
上的点到点的轨迹的距离的最小值为( )
A.1B.3C.5D.
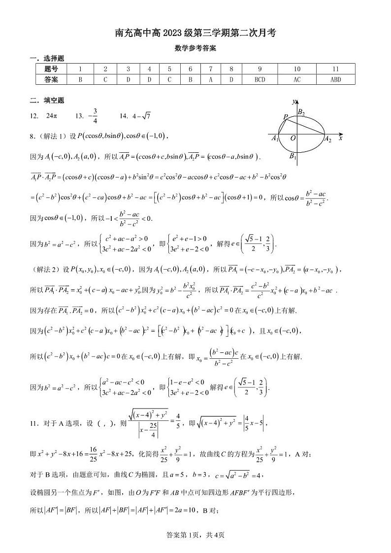
如图,已知半椭圆与半椭圆组成的曲线称为“果圆”,
其中.“果圆”与轴的交点分别为,与轴的交点分别为,
点为半椭圆上一点(不与重合),若存在.,则半椭圆的离心率的取值范
围为( )
A.B.C.D.
二、多选题:本题共3个小题,每小题6分,共18分,在每小题给出的4个选项中,有多项符合题目要求,全部选对得6分.
9.中国有很多谚语,如“人多计谋广,柴多火焰高”、“三个臭皮匠,顶个诸葛亮”,“一个篱笆三
个桩,一个好汉三个帮”等等.都能体现团队协作、集体智慧的强大.假设某人能力较强,他
独自一人解决某个项目的概率为.同时,有由个水平相当的人组成的团队也在研究
该项目,团队成员各自独立解决该项目的概率都是.如果这个人组成的团队解决该项目
的概率为,且,则的取值可能是( )(参考数据:,)
A.B.C.D.
10.设双曲线的渐近线方程为y=±12x,则该双曲线的离心率e可以为( )
A. B. C. D.
已知动点到定点的距离与它到直线距离的比是常数,点的轨迹称为曲
线,直线y=kxk≠0与曲线交于、两点.则下列说法正确的是( )
A.曲线的方程
B.
C.为曲线上不同于、的一点,且直线、斜率分别为,,则k1k2=−259
D.为坐标原点,的最大值为
三、填空题:本题共3个小题,每小题5分,共15分.
12.弧长为的扇形的圆心角为,则此扇形的面积为 .
13.设,是函数的零点,则的值为 .
14.若为平面上两个定点,则满足为常数的动点的轨迹是直线,满足的动点的轨迹是圆.将此性质类比到空间中,解决下列问题:已知点为空间中四个定点,,且两两的夹角都是,若动点满足,动点满足,则的最小值是 .
四、解答题:本题共5个小题,共77分,解答应写出文字说明、证明过程或演算步骤.
15.在2024年法国巴黎奥运会上,中国乒乓球队包揽了乒乓球项目全部5枚金牌,国球运动再掀热潮.现有甲、乙两名运动员进行乒乓球比赛(五局三胜制),其中每局中甲获胜的概率为,乙获胜的概率为,每局比赛都是相互独立的.
(1)求比赛只需打三局的概率;
(2)已知甲在前两局比赛中已经获胜,求甲最终获胜的概率.
16.已知圆C:,点,点.
(1)过点P作圆C的切线l,求出l的方程;
(2)设A为圆C上的动点,G为三角形APQ的重心,求动点G的轨迹方程.
17.如图,在四棱锥中,侧面底面,侧棱,底面为直角梯形,其中为中点.
(1)证明:平面;
(2)求直线与平面夹角的正弦值;
18.已知函数在区间上单调递减,在区间上单调递增,现有函数和函数.
(1)若,求函数的最值;
(2)若关于x的不等式的解集为,求实数m的取值范围;
(3)若对于,,使得成立,求实数m的取值范围.
19.已知椭圆:()的焦距为,,分别为椭圆的左、右焦点,过的直线与椭圆交于两点,的周长为8.
(1)求椭圆的标准方程.
(2)对于,是否存在实数,使得直线分别交椭圆于点,且?若存在,求出的值;若不存在,请说明理由.
相关试卷
这是一份2025南充高级中学高二上学期期中考试数学试题PDF版含答案,文件包含四川省南充高级中学2024-2025高二上学期期中考试数学试题pdf、高二数学答案pdf等2份试卷配套教学资源,其中试卷共10页, 欢迎下载使用。
这是一份2025南充嘉陵一中高二上学期第二次月考(11月)数学试题PDF版含答案,文件包含数学试题pdf、数学答案pdf等2份试卷配套教学资源,其中试卷共10页, 欢迎下载使用。
这是一份四川省南充高级中学2024-2025学年高二上学期10月月考数学试题,共8页。试卷主要包含了考试结束后将答题卡交回,在三棱锥中,,则是,函数的部分图象如图所示,则等内容,欢迎下载使用。

