所属成套资源:2025壮族自治区贵港高三上学期11月月考试题及答案(九科)
2025壮族自治区贵港高三上学期11月月考试题数学含解析
展开
这是一份2025壮族自治区贵港高三上学期11月月考试题数学含解析,文件包含广西壮族自治区贵港市2024-2025学年高三上学期11月月考数学试题含解析docx、广西壮族自治区贵港市2024-2025学年高三上学期11月月考数学试题无答案docx等2份试卷配套教学资源,其中试卷共25页, 欢迎下载使用。
本卷满分:150分 考试时间:120分钟
命题人:浔高高三数学各课组 审题人:浔高高三数学各课组
注意事项:
1.答题前,考生先在答题卡上用直径0.5毫米黑色墨水签字笔将自己的姓名、学校、班级、准考证号填写清楚,然后贴好条形码.请认真核准条形码上的准考证号、姓名和科目.
2.答选择题时,选出每小题答案后,用铅笔把答题卡上对应题目的答案标号涂黑,如需改动,用橡皮擦干净,再选涂其他答案标号,回答非选择题时,请用直径0.5毫米黑色墨水签字笔在答题卡上各题的答题区域内作答,在试题卷上作答无效.
一、选择题:本大题共8小题,每小题5分,共40分.在每小题给出的四个选项中,只有一个选项是正确的,请把正确的选项填涂在答题卡相应的位置上.
1. 已知复数z在复平面内对应的点为,是z的共轭复数,则( )
A. B. C. D.
【答案】B
【解析】
【分析】求出,再由复数的除法运算可得答案.
【详解】∵复数z在复平面内对应的点为,
∴,,
.
故选:B.
2. 已知集合,则( )
A. B. C. D.
【答案】B
【解析】
【分析】由绝对值不等式及一元二次不等式的解法求出集合和,然后根据交集的定义即可求解.
【详解】解:由题意,集合,或,
所以,
故选:B.
3. 已知一组数据为:,,,,,,,,,,则这组数据( )
A. 中位数为B. 众数为C. 百分位数为3D. 平均数为
【答案】C
【解析】
【分析】根据数据的样本的数字特征值的概念分别判断各选项.
【详解】将数据从小到大排列为:,,,,,,,,,,共个数,
中位数为,A选项错误,
出现最多的是和,均出现次,故众数为2和3,B选项错误,
,故分位数为,C选项正确,
平均数为,D选项错误;
故选:C.
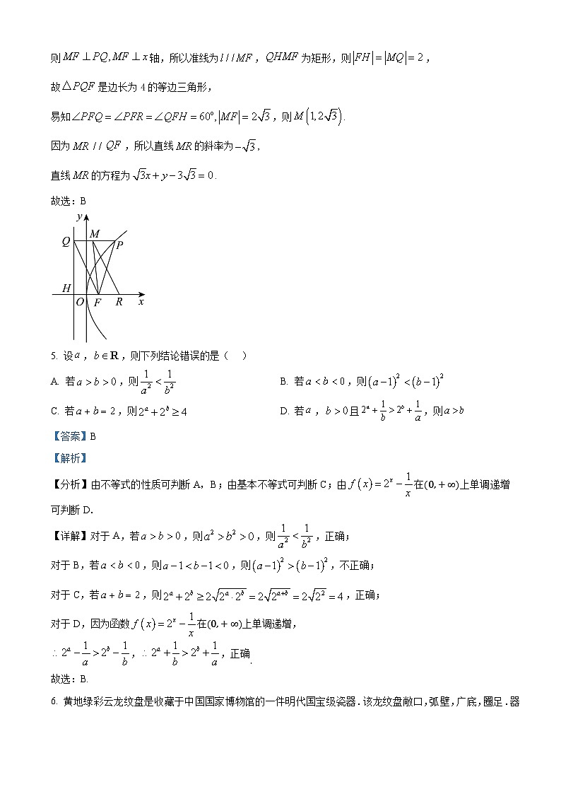
4. 已知抛物线的焦点为,准线为为上一点,垂直于点为等边三角形,过的中点作直线,交轴于点,则直线的方程为( )
A. B.
C. D.
【答案】B
【解析】
【分析】设直线与轴交于点,连接,说明为矩形,得,求得的斜率为,直线方程可求.
【详解】设直线与轴交于点,连接,
因为焦点F1,0,所以抛物线的方程为,准线为,
则,因为是等边三角形,的中点为,
则轴,所以准线为,为矩形,则,
故是边长为4的等边三角形,
易知,则.
因为,所以直线的斜率为,
直线的方程为.
故选:B
5. 设,,则下列结论错误的是( )
A. 若,则B. 若,则
C. 若,则D. 若,且,则
【答案】B
【解析】
【分析】由不等式的性质可判断A,B;由基本不等式可判断C;由在0,+∞上单调递增可判断D.
【详解】对于A,若,则,则,正确;
对于B,若,则,则,不正确;
对于C,若,则,正确;
对于D,因为函数在0,+∞上单调递增,
,,正确
故选:B.
6. 黄地绿彩云龙纹盘是收藏于中国国家博物馆的一件明代国宝级瓷器.该龙纹盘敞口,弧壁,广底,圈足.器内施白釉,外壁以黄釉为地,刻云龙纹并填绿彩,美不胜收.黄地绿彩云龙纹盘可近似看作是圆台和圆柱的组合体,其口径,足径,高,其中底部圆柱高,则黄地绿彩云龙纹盘的侧面积约为( )(附:的值取3,)
A B. C. D.
【答案】B
【解析】
【分析】首先求圆台母线长,再代入圆台和圆柱侧面积公式,即可求解.
【详解】设该圆台的母线长为,两底面圆半径分别为,(其中),
则,,,
所以,
故圆台部分的侧面积为,
圆柱部分的侧面积为,
故该黄地绿彩云龙纹盘的侧面积约为.
故选:B.
7. 在平行四边形ABCD中,已知,,,,则( ).
A. B. C. 6D. 9
【答案】A
【解析】
【分析】利用平面向量的线性运算及平面向量的数量积的运算律,可以得所求数量积的值.
【详解】由题意可得:,,
∵,①
,②
①-②得:,即,
∴.
故选:A.
8. 若在x∈0,+∞上恒成立,则的最大值为( )
A. B. C. D.
【答案】C
【解析】
【分析】易知,原式可变形为,结合隐零点的解题思路,求出,由可得,结合函数的单调性解得,即可求出a的取值范围即可.
【详解】由题意知,,由,得.
原式可化为,
设,则,
又函数在上单调递增,所以函数在上单调递增,
则当时,,当时,,
故存在使得,即,得,即,
且当时,;当时,,
所以函数在上单调递减,在上单调递增,
故,
所以,
即,设,
由函数在在单调递减,
知函数在在单调递减,且,所以,
所以,故,即,当且仅当时等号成立,
所以的最大值为.
故选:C
【点睛】方法点睛:利用导数证明不等式的恒成立问题的求解策略:
形如的恒成立的求解策略:
1、构造函数法:令,利用导数求得函数Fx的单调性与最小值,只需恒成立即可;
2、参数分离法:转化为或恒成立,即或恒成立,只需利用导数求得函数φx的单调性与最值即可;
3,数形结合法:结合函数y=fx的图象在y=gx的图象的上方(或下方),进而得到不等式恒成立.
二、选择题:本大题共3小题,每小题6分,共计18分.每小题给出的四个选项中,有多项符合题目要求.全部选对的得6分,选对但不全得部分分,有选错的得0分.
9. 给出下列四个命题,其中不正确命题为( )
A. 是的充分不必要条件
B. 是的必要不充分条件
C. 是函数为奇函数的充要条件
D. 是函数在上单调递增的既不充分也不必要条件
【答案】ABD
【解析】
【分析】对于A项,根据单调性验证充分性和必要性;对于B项,取特值验证必要性不成立;对于C项,充分性考察幂函数的奇偶性,必要性求出和对应系数相等;对于D项,必要性根据幂函数的单调性验证.
【详解】对于A 项,设函数,因为在上单调递增,
则,
因为在上单调递增,当时,即,所以充分性成立;
若,即,又因为在上单调递增,所以,必要性成立;
所以“”是“”的充要条件,A不正确.
对于B项,取满足,但是不满足,
则“”不是“”的必要条件,B不正确.
对于C 项,时,的定义域为关于原点对称,
又因为,
所以是定义在奇函数,所以充分性成立;
若为奇函数,则
并且,又因为,则,所以必要性成立.
故是函数为奇函数的充要条件,所以C正确.
对于D项,因为函数在上单调递增,所以,故必要性成立,所以D项不正确.
故选:ABD.
10. 已知函数,则下列说法正确的是( )
A. 若,则将的图象向左平移个单位长度,能得到函数的图象
B. 若,则当时,的值域为
C. 若在区间上恰有个零点,则
D. 若在区间上单调递增,则
【答案】AD
【解析】
【分析】利用二倍角公式及辅助角公式进行化简,然后结合正弦函数的性质检验各选项即可判断.
【详解】
,
当时,,则将的图象向左平移个单位长度得到:
,故A正确;
当时,,当时,,
故,则的值域为,故B错误;
令,,则,,
又,
若在区间上恰有个零点,则,解得,故C错误;
若在区间上单调递增,
则,又,所以,解得,
又,所以,
由可得,
要使在区间上单调递增,则,解得,故D正确.
故选:AD.
11. 双曲线C:x2a2−y2b2=1a>0,b>0,左、右顶点分别为,,为坐标原点,如图,已知动直线与双曲线左、右两支分别交于,两点,与其两条渐近线分别交于,两点,则下列命题正确的是( )
A. 不存在直线,使得
B. 在运动的过程中,始终有
C. 若直线的方程为,存在,使得取到最大值
D. 若直线的方程为,,则双曲线的离心率为
【答案】ABD
【解析】
【分析】根据双曲线与直线的位置关系可判断A选项,联立直线与双曲线,直线与直线,结合韦达定理可得线段与线段的中点重合,即可判断B选项,易知,即可得知无最大值,判断C选项,根据,可得,即可得离心率.
【详解】A选项:与渐近线平行的直线不可能与双曲线有两个交点,A选项正确;
B选项:设直线,与双曲线联立,
得:,
设Px1,y1,Qx2,y2,由根与系数关系得:,,
所以线段中点即,
将直线与渐近线联立得点,
将直线与渐近线联立得点,
所以线段中点,
所以线段与线段的中点重合,所以,故B选项正确;
C选项:由B选项可得,
则,
因为为定值,当越来越接近渐近线的斜率时,趋向于无穷,
所以会趋向于无穷,无最大值,故C选项错误;
D选项:联立直线与渐近线,解得,
联立直线与渐近线,解得,
由题可知,,所以,即,
所以,解得,
所以,D选项正确;
故选:ABD.
三、填空题:本大题共3小题,每小题5分,共计15分.
12. 某学校在校庆晚会期间连续播放6个广告,其中4个不同的商业广告和2个不同的宣传广告,要求最后播放的必须是宣传广告,且2个宣传广告不能相邻播放,则不同的播放方式有______种.
【答案】192
【解析】
【分析】先考虑最后位置必为宣传广告,再考虑4个商业广告的顺序,最后另一宣传广告插入4个商业广告之间,即可求解.
【详解】先考虑最后位置必为宣传广告,有种,
再考虑4个商业广告的顺序,有种,
另一宣传广告插入4个商业广告之间,有种,
故共有种.
故答案为:192.
13. 已知数列满足,且,该数列的前项和为,则______.
【答案】4049
【解析】
【分析】由题意写出求和的式子,利用分组求和与等差数列的求和,可得答案.
【详解】
.
故答案为:4049.
14. 已知函数则函数的零点个数是___________.
【答案】5
【解析】
【分析】令,,则,分别作出和直线,得到两交点的横坐标,再由图象观察,即可得到所求零点个数.
【详解】解:令,,
则,
分别作出和直线,
由图象可得有两个交点,横坐标设为,,
则,,
即有有2根;
时,有3个不等实根,
综上可得的实根个数为5,
即函数的零点个数是5.
故答案为:5.
四、解答题:本题共5小题,共70分.解答应写出文字说明、证明过程或演算步骤.
15. 已知在中,内角,,所对的边分别为,,,.
(1)求角;
(2)已知直线为的平分线,且与交于点,若,,求的周长.
【答案】(1)
(2)
【解析】
【分析】(1)根据正弦定理进行边角互化,再根据同角三角函数关系式可得解;
(2)根据余弦定理及三角形面积列方程,解方程可得,即可得周长.
【小问1详解】
在中,由正弦定理可知可转化为,
即,
即,,
由在中,,
则;
【小问2详解】
在中,
由,
即,
又直线为的平分线,
则,
所以,
即,
又由余弦定理可得,即,
可知,
解得或(舍),
所以的周长为.
16. 已知函数.
(1)若曲线在点处的切线方程为,求实数的值
(2)若,求函数在区间上的最大值.
【答案】(1)
(2)
【解析】
【分析】(1)求导,根据导数的几何意义可得参数值;
(2)求导,构造函数,再根据确定的最值,进而可得的单调性,即可得最值.
【小问1详解】
因为,
所以,
所以,
因为曲线在点处的切线方程为,
切线的斜率为,
所以,得,解得:;
【小问2详解】
当时,令,,
所以在恒成立,
即单调递增,
又,,
所以至少存在唯一的实数,使得,
当时,,,函数单调递减;
当时,,,函数单调递增,
又,,
又函数,,
当时,,函数单调递增,
所以当时,,
所以,
所以,
所以.
【点睛】在解决类似的问题时,首先要注意区分函数最值与极值的区别.求解函数的最值时,要先求函数y=f(x)在[a,b]内所有使f′(x)=0的点,再计算函数y=f(x)在区间内所有使f′(x)=0的点和区间端点处的函数值,最后比较即得.
17. 如图,在四棱锥中,底面,若四边形为菱形,,且分别为的中点.
(1)试判断直线与是否垂直,并说明理由;
(2)若四棱锥体积为,求异面直线与所成角的余弦值.
【答案】(1)直线与不垂直,理由见解析;
(2).
【解析】
【分析】(1)根据给定条件,利用反证法,结合线面垂直的性质、判定及菱形的性质导出矛盾即可得证.
(2)利用给定的体积求出,进而求出,再利用几何法结合余弦定理求解即得.
【小问1详解】
直线与不垂直,证明如下:
假设,连接,连接,由分别为的中点,得,
由平面,得平面,而平面,则,
又,平面,于是平面,又平面,
则,由四边形是菱形,得,因此,与矛盾,
所以直线与不垂直.
【小问2详解】
菱形中,,则,
菱形的面积,而平面,
于是四棱锥的体积为,解得,
由平面,得,
,,
由,得或其补角即为异面直线与所成的角,
在中,,由余弦定理得,
所以异面直线与所成角的余弦值为.
18. 如图,已知椭圆上、下焦点分别为,,焦距为2,离心率为,称圆心在椭圆上运动,且半径为的圆是椭圆的“环绕圆”.
(1)求椭圆的标准方程;
(2)记直线与椭圆的另一个交点为点,“环绕圆”的面积为,三角形的面积为,试判断,是否存在点,使,若存在,求满足条件的直线的条数,若不存在,请说明理由;
(3)若过原点可作“环绕圆”的两条切线,分别交椭圆于、两点,直线,的斜率存在,记为,,求的取值范围.
【答案】(1);
(2)存,2条; (3).
【解析】
【分析】(1)根据焦距、离心率及参数关系求标准方程;
(2)设直线为,,联立椭圆并应用韦达定理得,,根据及已知列方程求参数k,即可得答案.
(3)设切线方程为,切线方程为,且,根据相切关系得到是的两个不相等实根,由韦达定理及椭圆有界性求范围.
【小问1详解】
由题意,,得,故椭圆的标准方程为;
【小问2详解】
由(1)知:,显然直线不与轴重合,
设直线为,,
联立,得,显然,
所以,,
则,
圆半径为1,则,故,
所以(负值舍),即满足条件的直线有2条;
【小问3详解】
设切线方程为,切线方程为,且,
圆与相切,则,化简得,
同理,
所以是的两个不相等实根,则,
又在椭圆上,故,则,
由存在,则,即,
所以.
19. 已知集合,,若中元素的个数为,且存在,,使得,则称是的子集.
(1)若,写出的所有子集;
(2)若为的子集,且对任意的,,存在,使得,求的值;
(3)若,且的任意一个元素个数为的子集都是的子集,求的最小值.
【答案】(1);
(2)2; (3)13.
【解析】
【分析】(1)根据子集的定义, 即可容易求得;
(2)取,求得,再利用反证法假设,推得与矛盾即可;
(3)令,讨论时不满足题意,再验证时的情况满足题意,即可求得的最小值.
【小问1详解】
当时,,的所有子集为.
【小问2详解】
当时,取,因为,所以是的子集,此时;
若,设且,
根据题意,,其中;
因为,所以,所以;
又因为,所以;
因为,所以,
所以;
因为,所以,
所以,与矛盾.
综上所述,.
【小问3详解】
设
,
设的元素个数为,
若不是的子集,
则最多能包含中的一个元素以及中的元素;
令,易验证不是的子集,
当时,的任意一个元素个数为的子集都不是的子集,
所以,若的任意一个元素个数为的子集都是的子集,则;
当时,存在,使得中必有两个元素属于,
同时中两个元素之和为的某个正整数指数幂,
所以是的子集;
所以,的最小值为.
【点睛】关键点点睛:本题考查集合新定义问题,处理问题的关键是充分把握题中对子集的定义,同时要熟练的使用证明方法,属综合困难题.
相关试卷
这是一份广西壮族自治区贵港市2024-2025学年高三上学期11月月考数学试题,文件包含数学pdf、2025届上学期高三11月月考数学试题答案pdf等2份试卷配套教学资源,其中试卷共10页, 欢迎下载使用。
这是一份2025壮族自治区钦州高二上学期10月月考数学试题含解析,文件包含广西钦州市2024-2025学年高二上学期10月月考数学试卷含解析docx、广西钦州市2024-2025学年高二上学期10月月考数学试卷无答案docx等2份试卷配套教学资源,其中试卷共19页, 欢迎下载使用。
这是一份广西壮族自治区贵港市平南县中学2025届高三上学期9月月考 数学试题(含解析),共16页。试卷主要包含了下列四个命题中,是真命题的为,若函数则等内容,欢迎下载使用。

