还剩13页未读,
继续阅读
所属成套资源:2025年高考数学一轮复习课件
成套系列资料,整套一键下载
28 第3章 高考研究在线3 泰勒公式与切线不等式在导数中的应用-2025年高考数学一轮复习课件
展开
这是一份28 第3章 高考研究在线3 泰勒公式与切线不等式在导数中的应用-2025年高考数学一轮复习课件,共21页。
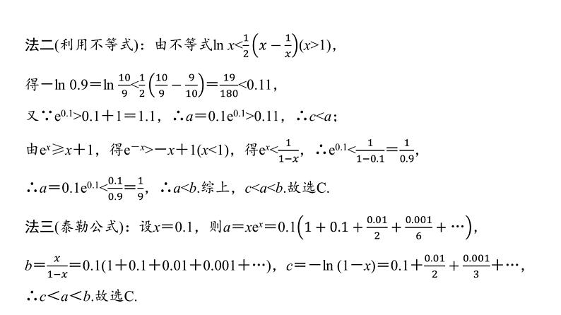
高考研究在线3 泰勒公式与切线不等式在导数中的应用
[解] (1)当a=1时,f (x)=xex-ex=(x-1)ex,f ′(x)=xex,当x∈(-∞,0)时,f ′(x)0,f (x)单调递增.
相关课件
2024届人教A版高考数学一轮复习第3章导数及其应用第2节导数的应用第4课时利用导数研究不等式恒成立(能成立)问题课件:
这是一份2024届人教A版高考数学一轮复习第3章导数及其应用第2节导数的应用第4课时利用导数研究不等式恒成立(能成立)问题课件,共52页。PPT课件主要包含了四字程序等内容,欢迎下载使用。
2024届人教A版高考数学一轮复习第3章导数及其应用第2节导数的应用第3课时利用导数证明不等式__构造法证明不等式课件:
这是一份2024届人教A版高考数学一轮复习第3章导数及其应用第2节导数的应用第3课时利用导数证明不等式__构造法证明不等式课件,共20页。
2024版高考数学一轮总复习第3章导数及其应用第2节导数的应用第4课时利用导数研究不等式恒成立能成立问题课件:
这是一份2024版高考数学一轮总复习第3章导数及其应用第2节导数的应用第4课时利用导数研究不等式恒成立能成立问题课件,共52页。

