2024-2025学年浙江省台州市六校联盟高二(上)期中联考数学试卷(解析版)
展开
这是一份2024-2025学年浙江省台州市六校联盟高二(上)期中联考数学试卷(解析版),共16页。试卷主要包含了 直线的倾斜角是, 双曲线的焦距为., 下列说法正确的是, 已知直线,则下列选项正确的是等内容,欢迎下载使用。
一、选择题(本题共8小题,每小题5分,共40分.每小题列出的四个备选项中只有一个是符合题目要求的,不选、多选、错选均不得分)
1. 直线的倾斜角是( )
A. B. C. D.
【答案】B
【解析】设直线的倾斜角为,,
由,得,
所以.
故选:B.
2. 双曲线的焦距为( ).
A. 2B. C. D. 4
【答案】D
【解析】因为双曲线方程为,所以,,因为,所以,
所以双曲线的焦距是4.
故选D.
3. 已知平面的一个法向量,点在平面内,则点到平面的距离为( )
A. 10B. 3C. D.
【答案】C
【解析】由题得,
所以到平面的距离为,
故选:C.
4. 已知圆与圆的位置关系为( )
A. 相离B. 相交C. 外切D. 内切
【答案】C
【解析】圆圆心为,半径,
圆圆心,半径,
则,
圆心距,
因为,
所以两圆位置关系为外切.
故选:C.
5. 已知直线经过两条直线的交点,且的一个方向向量为,则直线的方程为( )
A. B.
C. D.
【答案】C
【解析】已知直线经过两条直线的交点,
则,解得,故交点坐标为,
因为的一个方向向量为,
所以直线方程为,即,
故选:C.
6. 已知双曲线的左右焦点分别为,且,当点到渐近线的距离为时,该双曲线的离心率为( )
A. B. C. D.
【答案】D
【解析】由题设可得双曲线渐近线为,且,
所以,即,又,所以,
所以.
故选:D
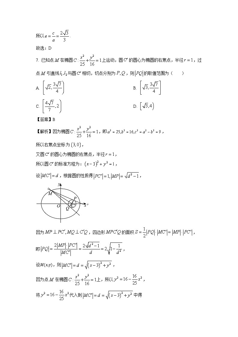
7. 已知点在椭圆上运动,圆的圆心为椭圆的右焦点,半径,过点引直线与圆相切,切点分别为,则的取值范围为( )
A. B.
C. D.
【答案】B
【解析】因为椭圆,即,
所以右焦点坐标,
又圆的圆心为椭圆的右焦点,半径,
所以圆的标准方程为:,
设,根据圆的性质得,
,
因为,四边形的面积,
即,
设Mx,y,则,
因为点在椭圆上,所以,
将代入到中得
,
对于二次函数,其对称轴为,
所以,,所以,
当时,,
当时,,
所以,
故选:B.
8. 在三棱锥中,,若为三棱锥的外接球直径,且与所成角的余弦值为,则该外接球的表面积为( )
A. B. C. D.
【答案】A
【解析】设外接球的半径为,则,由于是外接球的直径,
所以,
,所以,
所以,所以,
所以,
,
设与所成角为,则,
整理得,所以外接球的表面积为.
故选:A
二、多选题(本题共3小题,每小题6分,共18分.每小题列出的四个备选项中至少有一个是符合题目要求的.全部选对的得6分,部分选对得部分分,有选错的得0分)
9. 下列说法正确的是( )
A. 空间中的三个向量,若有两个向量共线,则这三个向量一定共面
B. 直线的方向向量,平面的法向量,则
C. 已知直线经过点,则到的距离为
D. 若,则为钝角
【答案】AC
【解析】A:对于空间向量,若,
空间中任意两个向量均是共面的,即、均共面,
所以一定共面,故A对;
B:因为,,所以与不平行,
故不成立,故B错;
C:由题设,,
则直线上的单位方向向量为,
故,
所以到直线的距离,故C对;
D:当反向共线时,也有,但此时不是钝角,故D错.
故选:AC
10. 已知直线,则下列选项正确的是( )
A. 当直线与直线平行时,
B. 当直线与直线垂直时,
C. 当实数变化时,直线恒过点
D. 直线和负半轴构成的三角形面积最小值是4
【答案】ACD
【解析】A:由题意,,则,对;
B:由题意,,则,错;
C:直线可化为,联立,直线恒过点,对;
D:由题意,直线与负半轴均有交点,
令,则,令,则,易知,
所以直线和负半轴构成的三角形面积,
令,
则,
当且仅当,即时取等号,
所以直线和负半轴构成的三角形面积最小值是4,对.故选:ACD
11. 如图,在长方体中,,点是平面上的动点,满足,( )
A. 在底面上的轨迹是一条直线
B. 三棱锥的体积是定值
C. 若角是直线和平面所成角,则的最大值是
D. 不存在点,使得
【答案】ABC
【解析】A:在上取,连接并延长交延长线于,
在和中,且,
所以,则,
所以,由长方体性质易得,而都在面内,
所以面,面,故,
根据题设,易知,,同理可证,
由且都在面内,所以面,
即面,又面面,由,
只需在直线,即在底面上的轨迹是一条直线,对;
B:由长方体的结构特征知:面,即面,
所以到面的距离恒定不变,即三棱锥的体积是定值,对;
C:由面,易知是直线和平面所成角的平面角,
所以,要使该值最大,只需最小,显然当时最小,
而,,且,
所以,则,则,,故,对;
D:由面,面,则,若存在,使,又且都在面内,此时面,面,只需,显然,在面上以为直径的圆与的交点作为点,满足,故存在点,使得,错.
故选:ABC
三、填空题(本题共3小题,每小题5分,共15分)
12. 向量与共线,且方向相同,则__________.
【答案】14
【解析】因为向量与共线,且方向相同,
所以,则,
得到,解得,,
所以,
故答案为:.
13. 设是双曲线的两个焦点,是双曲线上的一点,且,则的面积等于__________.
【答案】24
【解析】由题设,令且m>0,则,
即,
所以,而,
则,
所以为直角三角形,且,
故其面积为.
故答案为:
14. 圆和圆锥曲线的关系十分密切,它们有很多相似的结论.例如,过圆上任意不同两点作圆的切线,如果切线垂直且相交于点,则动点的轨迹为圆.在椭圆中也有类似的结论.已知椭圆,过椭圆上任意不同两点作椭圆的切线,若两切线垂直且相交于点,则动点的轨迹方程是__________.
【答案】
【解析】设,
若切线的斜率存在且不为0,则过点的切线方程为
,
联立方程,
消去y可得,
则,
整理可得,
由题意可知:关于的方程有两个不同的实数根,
则且,
整理可得;
若切线的斜率不存在或为0,则点为,满足;
综上所述:,
即动点的轨迹方程是.
故答案为:.
四、解答题(本题共5小题;其中第15小题13分,第16小题15分,第17小题15分,第18小题17分,第19小题17分;共77分)
15. 如图,在正四面体中,为棱的中点,为棱(靠近点)的三等分点,设.
(1)用表示;
(2)求的长.
解:(1)连接,
,
则;
(2)由(1)可得,所以
,
因为是正四面体,,故夹角均为,
所以,
,所以,即的长为.
16. 在坐标平面上有两定点,动点满足
(1)求动点的轨迹方程;
(2)若直线与圆交于两点,且,求实数的值.
解:(1)设Px,y,因为,所以,
平方并整理得,即;
(2)已知直线与圆交于两点,
设,
联立,得,
所以,得,
,
所以或,又,则.
17. 如图,在四棱锥中,平面平面,且,.
(1)求证:平面平面;
(2)设.若直线与平面所成角的正弦值为,求二面角夹角余弦值的大小.
解:(1)在四棱锥中,面面,面,面面,
所以面,
又面,
所以面面.
(2)以A为原点,以所在直线为轴,以所在直线为轴建立空间直角坐标系,
由,则,
设,则,所以,
设面的法向量为n=x,y,z,则,取,
则,
所以,即,
化简得,解得或(舍),所以,,
设平面的法向量,且,,
则,取,则,
设二面角的夹角大小为,则,
所以二面角的夹角的余弦值为.
18. 已知椭圆焦距为2,离心率e是
(1)求椭圆的标准方程;
(2)过点作两条互相垂直的弦,其中在轴的上方,且在的右侧,设弦的中点分别为.
①若弦的斜率均存在,求四边形面积的最小值;
②判断直线是否过定点,若过定点,则求出该定点坐标,若不过定点,请说明理由.
解:(1)依题意有,解得,
所以椭圆的方程为;
(2)①设,则
联立,,
由弦长公式可得:
同理可得:,
所以
令,
则
当的最小值是;
②
,由代替m,得,
当,即时,,过点.
当,即时,,
,
当时,,经验证直线过点,
综上,直线恒过点.
19. 人脸识别是基于人的脸部特征进行身份识别的一种生物识别技术.主要应用距离测试样本之间的相似度,常用测量距离的方式有种.设Ax1,y1,Bx2,y2,则欧几里得距离;曼哈顿距离,余弦距离,其中(为坐标原点).
(1)若,求之间曼哈顿距离和余弦距离;
(2)若点,求的最大值;
(3)已知点是直线上的两动点,问是否存在直线使得,若存在,求出所有满足条件的直线的方程,若不存在,请说明理由.
解:(1)由题可得,
,
;
(2)设,由题意得:,
即,而表示的图形是正方形,
其中.
即点在正方形的边上运动,,
可知:当最大时,取到最小值,
相应的有最大值,
①点与点重合时,则,
可得;
②点在线段上运动时,此时与同向,取,
则,
因为,所以的最大值为;
(3)易知,设,
则,
当时,,则,满足题意;
当时,,
由分段函数性质可知,
又且恒成立,
当且仅当时等号成立,
综上,满足条件的直线有且只有两条,和.
相关试卷
这是一份2024-2025学年浙江省浙东北联盟高二(上)期中联考数学试卷(解析版),共16页。试卷主要包含了考试结束后,只需上交答题纸, 我国著名数学家华罗庚曾经说过, 已知,,,则等内容,欢迎下载使用。
这是一份2024-2025学年浙江省台州市山海协作体高二(上)期中联考数学试卷(解析版),共18页。试卷主要包含了单项选择题,多项选择题,填空题,解答题等内容,欢迎下载使用。
这是一份浙江省台州市六校联盟2024~2025学年高二(上)期中联考数学试卷(含答案),共10页。

