终身会员
搜索
    上传资料 赚现金
    英语朗读宝

    河南省洛阳市偃师高级中学2024届高三(上)1月阶段测试数学试卷(含解析)

    立即下载
    加入资料篮
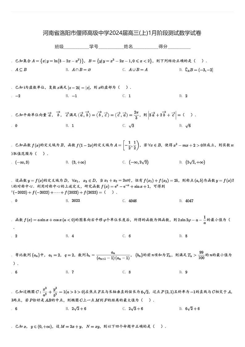
    河南省洛阳市偃师高级中学2024届高三(上)1月阶段测试数学试卷(含解析)第1页
    河南省洛阳市偃师高级中学2024届高三(上)1月阶段测试数学试卷(含解析)第2页
    河南省洛阳市偃师高级中学2024届高三(上)1月阶段测试数学试卷(含解析)第3页
    还剩14页未读, 继续阅读
    下载需要10学贝 1学贝=0.1元
    使用下载券免费下载
    加入资料篮
    立即下载

    河南省洛阳市偃师高级中学2024届高三(上)1月阶段测试数学试卷(含解析)

    展开

    这是一份河南省洛阳市偃师高级中学2024届高三(上)1月阶段测试数学试卷(含解析),共17页。

    相关试卷

    河南省漯河市实验高级中学2024届高三(上)1月阶段模拟测试数学试卷(含解析):

    这是一份河南省漯河市实验高级中学2024届高三(上)1月阶段模拟测试数学试卷(含解析),共13页。

    河南省洛阳市偃师高级中学2024届高三上学期1月阶段测试数学试题(学生版):

    这是一份河南省洛阳市偃师高级中学2024届高三上学期1月阶段测试数学试题(学生版),共6页。试卷主要包含了单项选择题,多项选择题,填空题,解答题等内容,欢迎下载使用。

    河南省洛阳市偃师高级中学2024届高三上学期1月阶段测试数学试题(教师版):

    这是一份河南省洛阳市偃师高级中学2024届高三上学期1月阶段测试数学试题(教师版),共25页。试卷主要包含了单项选择题,多项选择题,填空题,解答题等内容,欢迎下载使用。

    文档详情页底部广告位
    欢迎来到教习网
    • 900万优选资源,让备课更轻松
    • 600万优选试题,支持自由组卷
    • 高质量可编辑,日均更新2000+
    • 百万教师选择,专业更值得信赖
    微信扫码注册
    qrcode
    二维码已过期
    刷新

    微信扫码,快速注册

    手机号注册
    手机号码

    手机号格式错误

    手机验证码 获取验证码

    手机验证码已经成功发送,5分钟内有效

    设置密码

    6-20个字符,数字、字母或符号

    注册即视为同意教习网「注册协议」「隐私条款」
    QQ注册
    手机号注册
    微信注册

    注册成功

    返回
    顶部
    Baidu
    map