河北省保定市部分高中2024-2025学年高一(1+3)上学期11月期中考试数学试题 Word版含解析
展开
这是一份河北省保定市部分高中2024-2025学年高一(1+3)上学期11月期中考试数学试题 Word版含解析,共21页。试卷主要包含了本试卷主要考试内容等内容,欢迎下载使用。
1.答题前,考生务必将自己的姓名、考生号、考场号、座位号填写在答题卡上.
2.回答选择题时,选出每小题答案后,用铅笔把答题卡上对应题目的答案标号涂黑.如需改动,用橡皮擦干净后,再选涂其他答案标号.回答非选择题时,将答案写在答题卡上.写在本试卷上无效.
3.考试结束后,将本试卷和答题卡一并交回.
4.本试卷主要考试内容:人教A版必修第一册第五章至必修第二册第六章前三节.
一、单选题(本题共8小题,每小题5分,共40分.在每小题给出的四个选项中,只有一项是符合题目要求的.)
1. 已知向量,,,若,则实数的值为( )
A. B. C. D.
【答案】B
【解析】
【分析】由平面向量共线的坐标表示,代入计算,即可得到结果.
【详解】由题意可得,,且,
由可得,解得.
故选:B
2. 若,则( )
A. B. C. D.
【答案】A
【解析】
【分析】,利用同角三角函数关系得到正弦和正切值.
【详解】,故,则,
故.
故选:A
3. 已知角的终边经过点3,−4,将角的终边顺时针旋转后得到角,则( )
A. B. 7C. D.
【答案】B
【解析】
【分析】根据任意角的三角函数定义及两角差的正切公式计算即可.
【详解】角的终边经过点3,−4,则
将角的终边顺时针旋转后得到角,则.
故选:B.
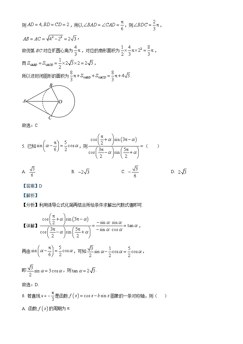
4. 水滴是刘慈欣的科幻小说《三体Ⅱ·黑暗森林》中提到的由三体文明使用强互作用力()材料所制成的宇宙探测器,因为其外形与水滴相似,所以被人类称为水滴.如图所示,水滴是由线段,和圆的优弧围成,其中,恰好与圆弧相切.若圆弧所在圆的半径为2,点A到圆弧所在圆圆心的距离为4,则该封闭图形的面积为( )
A. B. C. D.
【答案】C
【解析】
【分析】作出辅助线,得到,,利用扇形面积公式和三角形面积公式得到答案.
【详解】取优弧所在圆的圆心,连接,,则⊥,⊥,
则,所以,则,
,
故优弧对应圆心角为,对应的扇形面积为,
而,
所以该封闭图形的面积为.
故选:C
5. 已知,则( )
A. B. C. D.
【答案】D
【解析】
【分析】利用诱导公式化简再结合所给条件求解出代数式值即可.
【详解】,
再由,可知,
即,则.
故选:D.
6. 若直线是函数图象的一条对称轴,则( )
A. 函数的周期为
B. 函数在的值域为
C. 函数在单调递增
D. 将函数图象上的每一个点的纵坐标变为原来的倍,再将所得到的图象向左平移个单位长度,可以得到的图象
【答案】C
【解析】
【分析】由已知,得,求出周期,判断A;求出在的值域,判断B;求出的单调递增区间,判断C;由三角函数图象的伸缩变换得到变换后的函数解析式,即可判断D.
【详解】因为直线是函数图象的一条对称轴,
所以,即,解得,
所以,则其周期为,故A错误;
当时,,则,
所以,
即函数在值域为,故B错误;
由,则,
则函数的单调递增区间为,
因为,
所以函数在单调递增,故C正确;
将函数图象上的每一个点的纵坐标变为原来的倍,
再将所得到的图象向左平移个单位长度,
则得到的图象,故D错误.
故选:C.
7. 已知外接圆圆心为,为所在平面内一点,且.若,则( )
A. B. C. D.
【答案】C
【解析】
【分析】作出辅助线,得到,,所以四点共线,由三线合一知,⊥,所以,不妨设,求出各边长,所以,由同角三角函数关系得到答案.
【详解】取的中点,连接,则,
,
故,,则,
而,所以,
所以四点共线,
又为外接圆圆心,连接,则,
由三线合一知,⊥,所以,
不妨设,则,
所以,
故
故选:C
8. 已知,,函数的图象如图所示,,,是的图象与相邻的三个交点,与轴交于相邻的两个交点,,若在区间上,有2027个零点,则的最大值为( )
A. B. C. D.
【答案】A
【解析】
【分析】根据函数图象得到和,得到函数解析式,得到相邻两个零点的距离有两种,可能为,数形结合得到当为个和1014个时,取得最大值,得到答案.
【详解】将原点坐标代入得,又,所以,
故,
的中点横坐标为,
故,
又对应的点为轴左侧第一个最低点,所以,
解得,解得,
所以,
令得,
则或,
解得或,
所以相邻两个零点的距离有两种,可能为,
在上,有2027个零点,要求的最大值,
则当为个和1014个时,取得最大值,
故最大值为.
故选:A
二、多选题(本题共3小题,每小题6分,共18分.在每小题给出的选项中,有多项符合题目要求.全部选对的得6分,部分选对的得部分分,有选错的得0分.)
9. 有下列四个命题,其中说法正确的是( )
A. 点,,与向量方向相反的单位向量为
B. 若且,则角为第二或第四象限角
C. 若向量,,则向量在向量上投影向量为
D. ,则与的夹角为60°
【答案】BC
【解析】
【分析】对于A选项,考单位向量,向量方向相反的单位向量为;
对于B选项,先找出为第四象限角,从而得到角为第二或第四象限角;
对于C选项,向量在向量上的投影向量为;
对于D选项,由平行四边法则,作图求解即可.
【详解】对于A,,与向量方向相反的单位向量为,故A选项错误;
对于B,,故为第四象限角,
,
故角为第二或第四象限角,故B选项正确;
对于C, 向量在向量上的投影向量为,故C选项正确;
对于D,如图,由平行四边形法则,,
故且,,
作,,故即为与的夹角,且为等腰三角形,
故,故选项D错误;
故选:BC.
10. 已知,且,,则( )
A. B. C. D.
【答案】BCD
【解析】
【分析】根据两角差的正弦公式以及商数关系求解出的值,可判断AB选项;根据二倍角的正弦公式可求解出的值,由此可判断C选项;逆用两角和的正弦公式求解出的值,结合角的范围可求的值,由此可判断D选项.
【详解】因为,所以,
所以,解得,故A错误,B正确;
又因为,故C正确;
因为,且,
所以,所以,故D正确;
故选:BCD.
11. 已知点是内的一点,则以下说法正确的有( )
A. 若,,分别表示,的面积,则
B. 若,则动点的轨迹一定通过的重心
C. 若,则点是的垂心
D. 若,,分别为,,中点,且,,则的最大值为
【答案】ABD
【解析】
【分析】A选项,作出辅助线,得到,从而得到所以,即可判断;B选项,作出辅助线,得到,故点在中线上,故向量一定经过的重心; C选项,作出辅助线,得到,故⊥,并得到在的平分线上,同理可得,在的平分线上. D根据得到点的轨迹,将转化为,然后求数量积,根据点的轨迹求最值.
【详解】对于A:如图,分别为的中点,
,
则,故,
所以,
故,A正确;
对于B:过点作⊥于点,取的中点,连接,
则,,
则,
故点在中线上,故向量一定经过的重心,B正确;
对于C: 分别表示方向上的单位向量,
故,
,故⊥,
由三线合一可得,在的平分线上,同理可得,在的平分线上,
则点是的内心,C错误.
D选项,设中点为,
因为,所以点的轨迹为以为直径的圆,
结合上图,
,
当为直径时最大,最大为,故D正确.
故选:ABD
【点睛】结论点睛:为所在平面内的点,且,则点为的重心,
点为所在平面内的点,且,则点为的垂心,
点为所在平面内的点,且,则点为的外心,
点为所在平面内的点,且,则点为的内心,
三、填空题(本题共3小题,每小题5分,共15分.把答案填在答题卡中的横线上.)
12. 已知,都为锐角,,,则______.
【答案】
【解析】
【分析】根据题意,由同角三角函数的平方关系分别得到,,再由,结合和差角公式代入计算,即可得到结果.
【详解】因为,都为锐角,所以,
由可得,
由可得,
所以
.
故答案为:
13. 在中,,,,,,若,则实数的值为______.
【答案】
【解析】
【分析】用、作为一组基地表示出、,再由数量积的运算律计算可得.
【详解】因为,所以,
又,所以,
则,
又,,,所以,
所以
,
又,即,解得.
故答案为:
14. 如图,圆与轴的正半轴的交点为,点,在圆上,且点位于第一象限,点的坐标为,.若,则的值为______.
【答案】##0.8
【解析】
【分析】根据三角函数的定义可得,进而由图可得,利用二倍角公式即可化简求解
【详解】由于的坐标为,故,故在单位圆上,设终边所对角为,
由于,故,,
所以,故,
,
故答案为:
四、解答题(本题共5小题,共77分.解答应写出文字说明、证明过程或演算步骤.)
15. 已知向量,,其中.
(1)若,求角的大小;
(2)若,求的值.
【答案】(1)或
(2)
【解析】
【分析】(1)由,得,利用向量垂直坐标运算列式,进而解出的值即可;
(2)由题意解出,进而弦化切得出,再根据角的范围解出即可.
【小问1详解】
由,得,所以,即,
因为,所以,所以或,解得或.
【小问2详解】
由题得,,化简得
即,
整理得,
因为,所以,齐次化后得,
即,
即,
解得
因为,
所以.
16. 如图,在中,,.设,.
(1)用,表示,;
(2)若为内部一点,且.求证:,,三点共线.
【答案】(1),
(2)证明见解析
【解析】
【分析】(1)利用平面向量线性运算法则,计算出,进而得到;
(2)计算出,结合(1)可得,证明出结论.
【小问1详解】
由题可知,
,
【小问2详解】
,且有公共点M
,,三点共线.
17. 已知以下四个式子的值都等于同一个常数
;
;
;
.
(1)试从上述四个式子中选择一个,求出这个常数.
(2)根据(1)的计算结果,推广为三角恒等式,并证明你的结论.
【答案】(1)选第四个式子,;(2)证明见解析.
【解析】
【分析】(1)选第四个式子,由即可求三角函数式的值;
(2)由题意,设一个角为,另一个角为,应用两角差的余弦公式展开三角函数,由同角正余弦的平方和关系化简求值
【详解】(1)由第四个式子:
(2)证明:
【点睛】本题考查了三角函数,利用特殊角的函数值求三角函数式的值,应用两角差余弦公式展开三角函数式及同角的正余弦平方和关系化简求值,属于简单题
18. 某同学用“五点法”画函数在某一个周期内的图象时,列表并填入了部分数据,如下表:
(1)求出实数,,和函数的解析式;
(2)将图象上的所有点向右平移个单位长度,并把图象上所有点的横坐标缩短为原来的(纵坐标不变),得到的图象.已知图象的一个对称中心为,求的最小值;
(3)在(2)的条件下,当取最小值时,若对,关于的方程恰有两个实数根,求实数的取值范围.
【答案】(1),
(2)
(3)
【解析】
【分析】(1)根据表中的最值可得,根据,可解得的值,从而得出解析式;
(2)根据伸缩平移变换可得,结合为对称中心,从而求得实数的最小值;
(3)在(2)的条件下结合,利用三角函数的性质,数形结合即可得解.
【小问1详解】
由题意得,所以,
所以,
故,
根据表中已知数据,,所以,
,所以,
.
【小问2详解】
的图象向右平移个单位,
再将图象上所有点的横坐标缩短为原来的(纵坐标不变),
可得的图象,
则,得,
所以当时,此时最小值为.
【小问3详解】
当取最小值时,,
当时,,
此时,
恰有两个实数根,
所以与的图象有两个交点,
结合图象可知,即,
.
19. 已知平面直角坐标系中,点Aa,0,点(其中,为常数,且),点为坐标原点.
(1)设点为线段上靠近的三等分点,,求的值;
(2)如图所示,设点,,,…,是线段的等分点,其中,,
①当时,求的值(用含,的式子表示);
②当,时,求的最小值.
(说明:可能用到的计算公式:,).
【答案】(1)
(2)①;②
【解析】
【分析】(1)根据向量的线性运算化简即可得解;
(2)①由特殊到一般,可得对满足条件的,,即可化简求向量的模;
②根据条件用表示出向量,再由数量积化简,转化为关于的式子,分类讨论求最值.
【小问1详解】
因为
而点为线段上靠近点的三等分点,
则,可得,所以.
【小问2详解】
①由题意得,,
,,
所以,
事实上,对任意正整数,且时,
,,
有,
所以,
所以.
②当,时,
,,
,
令,
当,2,3时,
当或3时,上式有最小值为
当时,
当,6,7时,,当或6时,上式有最小值为
综上,的最小值为.
【点睛】关键点点睛:解题时要有特殊到一般类比思想,发现一般性规律,化简所求复杂向量求和,对于第二问的第二小问,利用数量积化简后需要分类讨论,对能力要求很高.
0
0
3
0
0
相关试卷
这是一份河北省保定市部分高中2024-2025学年高一(1+3)上学期11月期中考试数学试题,文件包含高一1+3期中数学试卷pdf、高一1+3期中数学试题答案评分细则docx等2份试卷配套教学资源,其中试卷共6页, 欢迎下载使用。
这是一份河北省保定市部分高中2024-2025学年高二上学期开学考试数学试题(Word版附解析),共10页。试卷主要包含了本试卷主要考试内容,在中,角的对边分别为,若,则,已知事件两两互斥,若,则等内容,欢迎下载使用。
这是一份河北省保定市部分学校2023-2024学年高一上学期1月联考数学试题(Word版附解析),共8页。试卷主要包含了命题“”的否定是,“”是“”的,函数的零点所在区间为,幂函数在上单调递增,则过定点,已知,则的值为,若,则的最大值为,下列选项中其值等于的是等内容,欢迎下载使用。

