


2025届上海市实验学校高三(上)期中考试数学试卷(解析版)
展开
这是一份2025届上海市实验学校高三(上)期中考试数学试卷(解析版),共14页。试卷主要包含了填空题,选择题,解答题等内容,欢迎下载使用。
1. 若,则_____
【答案】
【解析】.
2. 设函数若 则实数a的值为____________.
【答案】或
【解析】已知函数,
当时,,解得或,舍去,所以;
当时,,得.
综上,或.
3. 函数的值域是_____________.
【答案】
【解析】∵y=的定义域为R,
∴方程y(1+x2)=x有实数解,即方程yx2-x+y=0有实数解,
当y=0时,x=0,
当y≠0时,则≥0,即1-4y2≥0,解得≤y≤且y≠0,
综上,函数的值域为:.
4. 定义集合运算:且.若集合,则集合的子集个数为_____.
【答案】
【解析】由题设中新集合定义可得:
,,故,
故其子集个数为,
故答案为:.
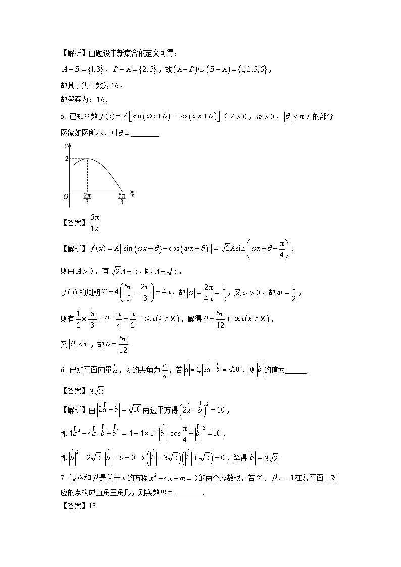
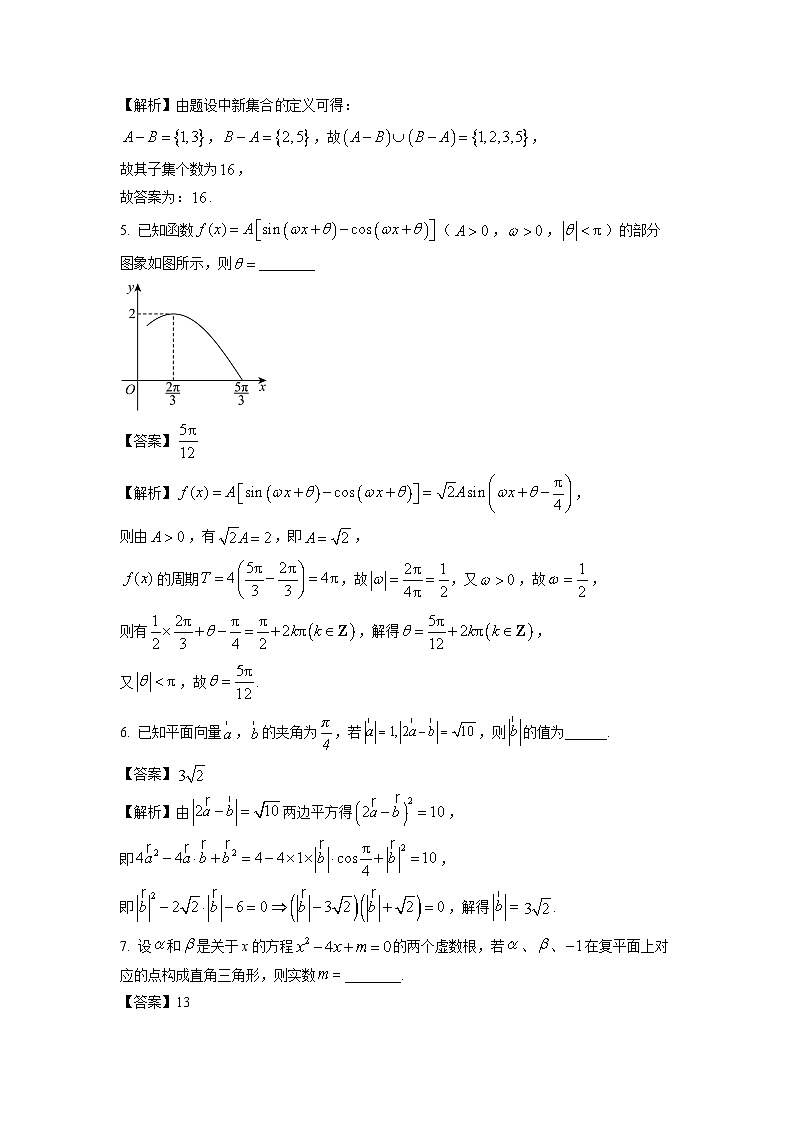
5. 已知函数(,,)的部分图象如图所示,则________
【答案】
【解析】,
则由,有,即,
的周期,故,又,故,
则有,解得,
又,故.
6. 已知平面向量,的夹角为,若,则的值为______.
【答案】
【解析】由两边平方得,
即,
即,解得.
7. 设和是关于x的方程的两个虚数根,若、、在复平面上对应的点构成直角三角形,则实数________.
【答案】13
【解析】设,由实系数一元二次方程虚根成对定理可得,
由根与系数的关系可得,
整理得,
设、、在复平面上对应的点分别为、、,
则,
可知A,B关于x轴对称,
若复平面上、、对应点构成直角三角形,则,
即,解得,
所以.
8. 已知圆,直线,直线被圆所截的最短弦长为_________
【答案】
【解析】圆的圆心,半径,
直线,由,解得,
则直线过定点,显然点在圆内,当时,直线被圆所截弦长最短,
而,所以最短弦长为.
9. 已知函数在区间上单调递减,则的最大值为_____.
【答案】
【解析】,
因为函数在区间上单调递减,
所以,即在区间上恒成立,
令,则,
所以在上单调递增,所以,
所以,所以,所以的最大值为.
10. 设椭圆的右焦点为,动点在椭圆上,点是直线上的动点,则的最小值为_________
【答案】
【解析】根据题意知椭圆的右焦点坐标为,左焦点坐标为,
根据椭圆的定义可知,所以,
则,
所以最小时,即最小,
即定点到直线最短距离是过定点到直线的垂线段长,
根据点到直线的距离公式可得,
所以.
11. 若曲线在处的切线也是曲线的切线,则______.
【答案】
【解析】设,则,,
所以曲线在点处的切线方程为,
化为.
设,则,
又设切线与曲线相切的切点为,
由题,得,解得,则切点为.
因为切点在切线上,则.
12. 已知函数的定义域为,且和对任意的都成立,若当时,的值域为,则当时,函数的值域为________
【答案】
【解析】令,则有,即
当时,,又,∴
即当时,的值域为
∴当时,的值域为,
,
∴当时,的值域为,时,的值域为,
依此类推可知,当时,的值域为,
∴当时,的值域为
又,当时,,
∴
综上,当 时,函数的值域为.
二、选择题(本大题满分18分,第13、14题每题4分,第15、16题每题5分)
13. “”是“直线和直线平行”的( )
A. 充分不必要条件B. 必要不充分条件
C. 充要条件D. 既不充分也不必要条件
【答案】C
【解析】当,则直线分别为和直线满足平行,即充分性成立,
若直线和直线平行,
当时,直线分别为和,不满足条件,
当时,满足,即,解得或,
当时,两直线重合,故不满足条件,故,即必要性成立,
综上“”是“直线和直线平行”的充要条件,
故选:C.
14. 已知是定义域为R的函数,,若对任意的,都有成立,则实数a的取值范围是( )
A. B.
C. D.
【答案】D
【解析】因为对任意的,都有成立,
所以,所以成立,
构造,
所以由上述过程可得在单调递增,
(1)若,则对称轴,解得;
(2)若,在单调递增,满足题意;
(3)若,则对称轴恒成立;
综上.
故选:D.
15. 在正方体中,是底面的中心,是棱上的点,且,记直线与直线所成角为,直线与平面所成角为,二面角的平面角为,则( )
A. B.
C. D.
【答案】C
【解析】以为原点,为轴,为轴,为轴,建立空间直角坐标系,
设正方体中棱长为4,
则,
,,
==,
平面的法向量,
∴=,∴=,
,,
设平面的法向量,
则,取,得,=,
∵,∴.
故选:C.
16. 如图,将线段AB,CD用一条连续不间断的曲线连接在一起,需满足要求:曲线经过点B,C,并且在点B,C处的切线分别为直线AB,CD,那么下列说法正确的是( )
命题甲:存在曲线满足要求
命题乙:若曲线和满足要求,则对任意实数,当时,曲线满足要求
A. 甲命题正确,乙命题正确B. 甲命题错误,乙命题正确
C. 甲命题正确,乙命题错误D. 甲命题错误,乙命题错误
【答案】B
【解析】由图知点,
直线的斜率分别为,
则直线AB的方程为,直线CD的方程为,
对于命题甲:曲线的导函数为,
当时,,当时,,代入得
,即,
又由,得,
而的取值集合为,
要,
必有,
又当时,,,
因此不存在,即方程组中a,b没有解,命题甲不正确;
对于命题乙:当时,由,求导得,
有,即,
即当时,曲线满足要求,命题乙正确.故选:B.
三、解答题(本大题满分78分)
17. 如图,在四棱锥中,底面ABCD是正方形,侧面底面ABCD,E,F分别为PA,BD中点,.
(1)求证:平面PBC;
(2)求四面体的体积.
解:(1)连结,交于点,
因为点分别是的中点,所以,
因平面,平面,
所以平面;
(2)因为,所以是等边三角形,
取的中点,面内连结,则,
因为平面平面,且平面平面,
所以平面,,且,
所以.
18. 已知向量,,设函数.
(1)当时,求函数的值域;
(2)已知在中,内角A、B、C的对边分别为a、b、c,若,且,求面积的最大值.
解:(1),
,
又,则,故,
因此可得,
即函数的值域为.
(2)由(1)可知,
又,所以,
因为,所以,故,
因为,由可知,,
由基本不等式得,
解得,当且仅当时,等号成立,
故三角形面积,即面积最大值为1.
19. 某中学新建了学校食堂,每天有近2000名学生在学校食堂用午餐,午餐开放时间约40分钟,食堂制作了三类餐食,第一类是选餐,学生凭喜好在做好的大约6种菜和主食米饭中任意选购;第二类是套餐,已按配套好菜色盛装好,可直接取餐;第三类是面食,如煮面、炒粉等,为了更合理地设置窗口布局,增加学生的用餐满意度,学校学生会在用餐的学生中对就餐选择、各类餐食的平均每份取餐时长以及可接受等待时间进行问卷调查,并得到以下的统计图表.
已知饭堂的售饭窗口一共有20个,就餐高峰期时有200名学生在等待就餐.
(1)根据以上的调查统计,如果设置12个选餐窗口,4个套餐窗口,4个面食窗口,就餐高峰期时,假设大家在排队时自动选择较短的队伍等待(即各类餐食的窗口前队伍长度各自相同),问:选择选餐的同学最长等待时间是多少?这能否让80%的同学感到满意(即在接受等待时长内取到餐)?
(2)根据以上的调查统计,从等待时长和公平的角度上考虑,如何设置各类售饭窗口数更优化,并给出你的求解过程.
解:(1)由题意得,就餐高峰期时选择选餐的总人数为人;
这100人平均分布在12个选餐窗口,平均每个窗口等待就餐的人数为人,
所以选择选餐同学的最长等待时间为分钟,
由可接受等待时长的频率分布直方图可知,分组为的频率分别为,
所以可接受等待时长在15分钟以上的同学占,
故设置12个选餐窗口,4个套餐窗口,4个面食窗口,不能让80%的同学感到满意;
(2)假设设置m个选餐窗口,n个套餐窗口,k个面食窗口,则各队伍的同学最长等待时间如下:
依题意,从等待时长和公平的角度上考虑,则要求每个队伍的最长等待时间大致相同,
即得,即有,
而,故,
因此建议设置选餐、套餐、面食三个类别的窗口数分别为个.
20. 设椭圆的离心率,过点.
(1)求椭圆的方程;
(2)求椭圆被直线截得的弦长.
(3)直线与椭圆交于两点,当时,求值.(O为坐标原点)
解:(1)由题意可知,解得,
椭圆的方程为.
(2)设椭圆与直线的交点为,,,,
联立方程,消去得,
,,
因此
(3)设,,
联立方程,消去得,
所以,,,得
由,即
,
,均符合,
故
21. 已知函数,若存在实数,使得,则称与gx为“互补函数”,为“互补数”.
(1)判断函数与是否为“互补函数”,并说明理由.
(2)已知函数为“互补函数”,且为“互补数”.
(i)是否存在,使得?说明理由.
(ii)若,用的代数式表示的最大值.
解:(1)因为,则,
所以在单调递增,在单调递减,
则,所以,
因为,则,
所以gx在上单调递增,在上单调递减,
所以,所以.
故不存在实数,使得,则与gx不是“互补函数”.
(2)(i)存在,使得.
由,得,
则,故存在.
(ii)令,则,
两式相加可得,
两式相减可得
所以,
故.
令,
则.
.
因为,所以,
故当时,h'x
相关试卷
这是一份2024~2025学年10月上海浦东新区上海市实验学校高三(上)月考数学试卷(含解析),共7页。
这是一份2025届上海市长宁区高三(上)期中考试数学试卷(解析版),共11页。
这是一份2024~2025学年上海市浦东新区洋泾中学高三(上)期中数学试卷(含解析),共21页。
