


还剩5页未读,
继续阅读
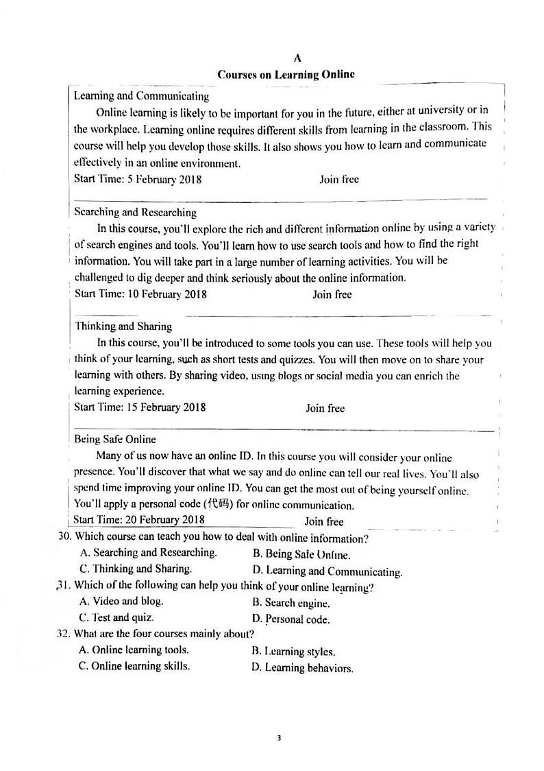
北京市第十一中学顺义学校2024-2025学年高二上学期期中英语试题
展开
这是一份北京市第十一中学顺义学校2024-2025学年高二上学期期中英语试题,共8页。
相关试卷
北京市顺义牛栏山第一中学2024-2025学年高二上学期期中英语试题(无答案):
这是一份北京市顺义牛栏山第一中学2024-2025学年高二上学期期中英语试题(无答案),共8页。试卷主要包含了 11, A等内容,欢迎下载使用。
北京市第十一中学顺义学校2024-2025学年高一上学期期中英语试题:
这是一份北京市第十一中学顺义学校2024-2025学年高一上学期期中英语试题,共18页。试卷主要包含了阅读下列短文,根据短文内容填空,写作等内容,欢迎下载使用。
北京市第十一中学顺义学校2024-2025学年高一上学期期中英语试题:
这是一份北京市第十一中学顺义学校2024-2025学年高一上学期期中英语试题,共19页。