还剩2页未读,
继续阅读
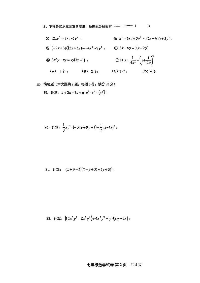
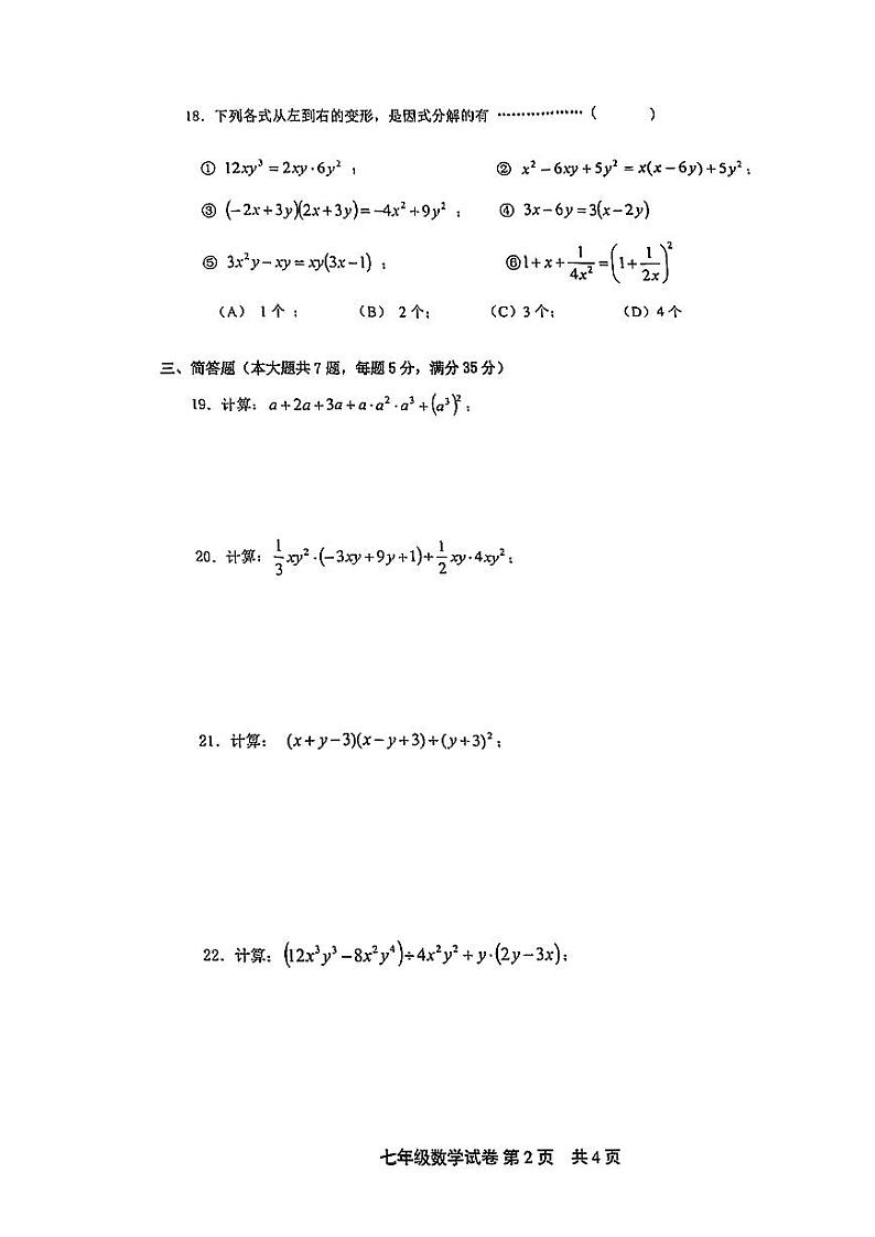
上海市松江区2024-—2025学年七年级上学期数学期中考试试卷
展开
这是一份上海市松江区2024-—2025学年七年级上学期数学期中考试试卷,共4页。
相关试卷
上海市崇明区2024—2025学年九年级上学期数学期中考试卷(无答案):
这是一份上海市崇明区2024—2025学年九年级上学期数学期中考试卷(无答案),共5页。试卷主要包含了本试卷含三个大题,共25题,下列说法中,正确的是,已知,那么__________,计算,如果一幅地图的比例尺为1等内容,欢迎下载使用。
2024-2025学年上海松江区七年级上学期数学期中考试:
这是一份2024-2025学年上海松江区七年级上学期数学期中考试,共2页。
上海市闵行区浦江第一中学2024-—2025学年九年级上学期数学期中考试试卷(无答案):
这是一份上海市闵行区浦江第一中学2024-—2025学年九年级上学期数学期中考试试卷(无答案),共5页。试卷主要包含了选择题,填空题,解答题等内容,欢迎下载使用。

