广东省八校2024—2025学年度上学期普通高中高三第四次联合教学质量检测高三数学试卷及参考答案
展开
这是一份广东省八校2024—2025学年度上学期普通高中高三第四次联合教学质量检测高三数学试卷及参考答案,文件包含广东省八校20242025学年度上学期普通高中高三第四次联合教学质量检测高三数学解析版docx、广东省八校20242025学年度上学期普通高中高三第四次联合教学质量检测高三数学解析版pdf、广东省八校20242025学年度上学期普通高中高三第四次联合教学质量检测高三数学docx、广东省八校20242025学年度上学期普通高中高三第四次联合教学质量检测高三数学pdf等4份试卷配套教学资源,其中试卷共44页, 欢迎下载使用。
满分150分,考试用时120分钟
注意事项:
1. 答题前,先将自己的姓名、准考证号填写在试卷和答题卡上,并将准考证号条形码贴在答题卡上的指定位置.
2. 选择题的作答:每小题选出答案后,用2B铅笔把答题卡上对应题目的答案标号涂黑.写在试卷、草稿纸和答题卡上的非答题区域均无效.
3. 非选择题的作答:用黑色签字笔直接答在答题卡上对应的答题区域内.写在试卷、草稿纸和答题卡上的非答题区域均无效.
4. 考试结束后,请将本试卷和答题卡一并上交.
一、单项选择题(本大题共8小题,每小题5分,共40分.在每小题所给的四个选项中,只有一项是符合题目要求的)
1.设集合,,若,则的取值范围是( )
A.B.
C.D.
2.在中,点是边上一点,若,则的最小值为( )
A.B.C.D.1
3.正项递增等比数列,前n项的和为,若,,则( )
A.121B.364C.728D.1093
4.英国生物统计学家高尔顿设计了高尔顿钉板来研究随机现象.如图是一个高尔顿钉板的设计图,每一黑点表示钉在板上的一颗钉子,它们彼此的距离均相等,上一层的每一颗钉子恰好位于下一层两颗打子的正中间,小球每次下落,将随机的向两边等概率的下落.数学课堂上,老师向学生们介绍了高尔顿钉板放学后,爱动脑的小明设计了一个不一样的“高尔顿钉板”,它使小球在从钉板上一层的两颗钉子之间落下后砸到下一层的钉子上时,向左下落的概率为向右下落的概率的2倍.当有大量的小球依次滚下时,最终都落入钉板下面的5个不同位置.若一个小球从正上方落下,经过5层钉板最终落到4号位置的概率是( )
A.B.C.D.
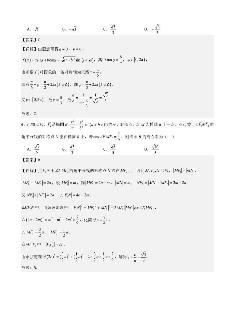
5.函数图象的一条对称轴为直线,则( )
A.B.C.D.
6.已知点、是椭圆的左、右焦点,点M为椭圆B上一点,点关于的角平分线的对称点N也在椭圆B上,若,则椭圆B的离心率为( )
A.B.C.D.
7.已知函数定义域为,,,,且,,则实数的取值范围是( )
A.B.
C.D.
8.在△中,为的角平分线(在线段上),,当取最小值时,( ).
A.B.C.D.
二、多项选择题(本题共3小题,每小题6分,共18分.在每小题给出的选项中,有多项符合题目要求,全部选对得6分,部分选对的得部分分,有选错的得0分)
9.已知是关于的方程的两根,则( )
A.B.
C.若,则D.若,则
10.如图,圆锥的底面直径和母线长均为,其轴截面为,为底面半圆弧上一点,且,,,则( )
A.存在,使得
B.当时,存在,使得平面
C.当,时,四面体的体积为
D.当时,
11.已知圆和圆的交点为,则( )
A.公共弦所在直线的方程为
B.线段的中垂线方程为
C.公共弦的长为
D.为圆上一动点,则到直线距离的最大值为
三、填空题(本大题共3小题,每小题5分,共15分)
12.随机变量X服从正态分布,,,则的最小值为 .
13.在数列中,,若对于任意的恒成立,则实数k的最小值为 .
14.已知点,点F为抛物线的焦点.若以点P,F为焦点的椭圆与抛物线有公共点,则椭圆的离心率的最大值为 .
四、解答题(本大题共5小题,共77分.解答应写出必要的文字说明、证明过程或演算步骤)
15.(本小题13分)
在中,内角的对边分别是,,.
(1)求角;
(2)若,求边上的角平分线长;
(3)若为锐角三角形,求边上的中线的取值范围.
16.(本小题15分)
已知函数.
(1)当时,曲线在点()处的切线记为.
①求的方程;
②设的交点构成,试判断的形状(锐角、钝角或直角三角形)并加以证明.
(2)讨论的极值.
17.(本小题15分)
如图,在四棱锥中,平面平面,,,,为棱的中点.
(1)证明:平面;
(2)若,,
(i)求二面角的余弦值;
(ii)在线段上是否存在点,使得点到平面的距离是?若存在,求出的值;若不存在,说明理由.
18.(本小题17分)
已知椭圆的离心率为,其左顶点到点的距离为,不过原点的直线与椭圆相交于不同的,两点,与直线交于点,且,直线与轴,轴分别交于点,.
(1)求椭圆的标准方程;
(2)当的面积取最大值时,求的面积.
19.(本小题17分)
函数.
(1)时,讨论的单调性;
(2)若函数有两个极值点、,曲线上两点、连线斜率记为,求证:.
(3)盒子中有编号为的个小球(除编号外无区别),有放回的随机抽取个小球,记抽取的个小球编号各不相同的概率为,求证:.
相关试卷
这是一份广东省九校2024-2025学年高三上学期9月联合教学质量检测 数学试卷(含解析),文件包含20242025学年上学期9月联合教学质量检测高三数学试卷解析版docx、20242025学年上学期9月联合教学质量检测高三数学试卷docx等2份试卷配套教学资源,其中试卷共20页, 欢迎下载使用。
这是一份广东省八校2024-2025学年高三上学期9月联合检测 数学试卷(含解析),文件包含广东省八校2024-2025学年高三上学期9月联合检测数学试卷解析docx、广东省八校2024-2025学年高三上学期9月联合检测数学试卷docx等2份试卷配套教学资源,其中试卷共26页, 欢迎下载使用。
这是一份2024—2025学年度上学期普通高中高三第一次联合教学质量检测高三数学(原卷版+解析版),共23页。

