


所属成套资源:全国通用 中考数学 二次函数压轴题专题练习
全国通用 中考数学 二次函数压轴题专题练习 17二次函数与圆(含答案解析版)
展开
这是一份全国通用 中考数学 二次函数压轴题专题练习 17二次函数与圆(含答案解析版),共24页。试卷主要包含了两点,与y轴交于点C,已知,定义,,直线l是对称轴等内容,欢迎下载使用。
性质:外接圆的圆心性质:三角形的外接圆的圆心是三角形任意两边的垂直平分线的交点,这个交点被称为外心。
锐角三角形:锐角三角形的外心在三角形内部。
直角三角形:直角三角形的外心在斜边的中点上。
钝角三角形:钝角三角形的外心在三角形外部。
1.(2024春•开福区校级月考)如图,在平面直角坐标系中,二次函数图象与x轴交于A(﹣1,0)、B(3,0),与y轴交于点C(0,3).
(1)求二次函数的解析式;
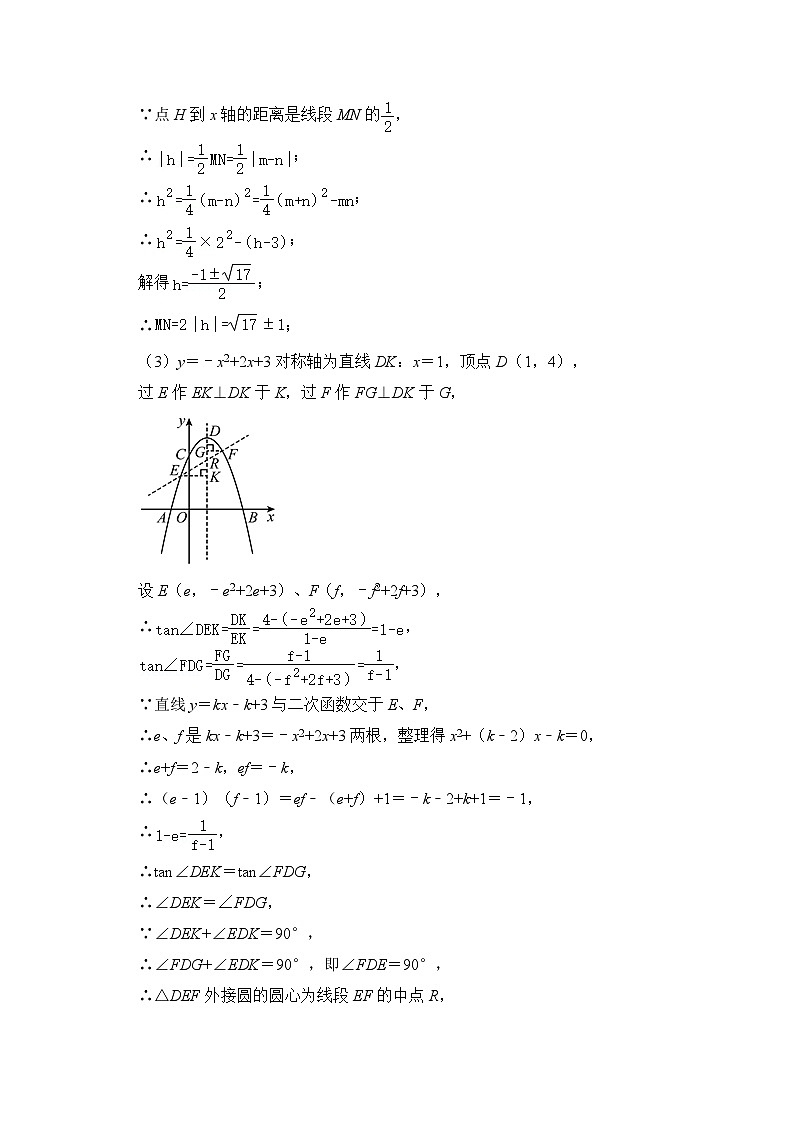
(2)若平行于x轴的直线与抛物线交于M、N两点,与抛物线的对称轴交于H点,若点H到x轴的距离是线段MN的,求线段MN的长;
(3)抛物线的顶点为D,过定点Q的直线y=kx﹣k+3与二次函数交于E、F,△DEF外接圆的圆心在一条抛物线上运动,求该抛物线的解析式.
【解答】解:(1)∵二次函数图象与x轴交于A(﹣1,0)、B(3,0),
∴设抛物线解析式为y=a(x+1)(x﹣3),
把C(0,3)代入y=a(x+1)(x﹣3)可得3=a×1×(﹣3),
解得a=﹣1,
∴二次函数的解析式y=﹣(x+1)(x﹣3)=﹣x2+2x+3;
(2)根据题意设设点H纵坐标为h,M(m,h),N(n,h),
则m、n是﹣x2+2x+3=h两根;
∴m+n=2,mn=h﹣3,Δ=22﹣4(h﹣3)≥0即h≤4,
∵点H到x轴的距离是线段MN的,
∴;
∴;
∴;
解得;
∴;
(3)y=﹣x2+2x+3对称轴为直线DK:x=1,顶点D(1,4),
过E作EK⊥DK于K,过F作FG⊥DK于G,
设E(e,﹣e2+2e+3)、F(f,﹣f2+2f+3),
∴,
,
∵直线y=kx﹣k+3与二次函数交于E、F,
∴e、f是kx﹣k+3=﹣x2+2x+3两根,整理得x2+(k﹣2)x﹣k=0,
∴e+f=2﹣k,ef=﹣k,
∴(e﹣1)(f﹣1)=ef﹣(e+f)+1=﹣k﹣2+k+1=﹣1,
∴,
∴tan∠DEK=tan∠FDG,
∴∠DEK=∠FDG,
∵∠DEK+∠EDK=90°,
∴∠FDG+∠EDK=90°,即∠FDE=90°,
∴△DEF外接圆的圆心为线段EF的中点R,
∵E(e,ke﹣k+3)、F(f,kf﹣k+3),
∴EF的中点R坐标为,
∵e+f=2﹣k,
∴
令,消去k得y=﹣2x2+4x+1,
∴△DEF外接圆的圆心在一条抛物线上运动,求该抛物线的解析式为y=﹣2x2+4x+1.
2.(2024•兴化市二模)已知二次函数y=x2+bx+c与x轴交于A(﹣1,0),B(3,0)两点,与y轴交于点C.
(1)求这个二次函数的表达式;
(2)如图1,连接AC,BC,若点M在抛物线上,且M的横坐标为,连接CM,∠ACB与∠BCM相等吗?请说明理由;
(3)如图2,点N是线段AB上任意一点(N不与A,B重合),过点N作NE⊥x轴,交抛物线于点E,连接AE,作△ABE的外接圆⊙P,延长EN交⊙P于点F.试说明点F在某条定直线上.
【解答】解:(1)由题意得:y=(x+1)(x﹣3)=x2﹣2x﹣3;
(2)∠ACB=∠BCM,理由:
如图1,由点B、C的坐标知,∠ABC=45°,
M的横坐标为,则点M(,﹣),
过点B作y轴的平行线交CM于点H,
由点C、M的坐标得,直线CM的表达式为:y=﹣x﹣3,
当x=3时,y=﹣4,
即BH=4=AB,
∵BC=BC,∠ABC=45°=∠HBC,
∴△BCH≌△BCA(SAS),
则∠ACB=∠BCM;
(3)连接AF,
设点N(t,0),则点E(t,t2﹣2t﹣3),
∴AN=t+1,EN=﹣(t2﹣2t﹣3),BN=3﹣t,
∵∠AFN=∠ABE,∠FAN=∠FEB,
∴△AFN∽△EBN,即,
即,
解得:FN=1,
即点F在直线y=1上.
3.(2024春•龙华区月考)已知:二次函数.
(1)求证:不论k为何实数时,此二次函数与x轴总有交点;
(2)设k<0,当二次函数的图象与x轴的两个交点A、B间的距离为4时,求此二次函数的解析式;
(3)在(2)的条件下,若抛物线的顶点为C,过y轴上一点M(0,m)作y轴的垂线l,当m为何值时,直线l与△ABC的外接圆有公共点?
【解答】(1)证明:∵Δ=k2﹣4×(k﹣)=(k﹣1)2≥0,
∴不论k为何实数时,此二次函数与x轴总有交点;
(2)解:当y=0时,=0,
∴x1+x2=﹣2k,x1•x2=2k﹣1,
∴AB==4,
解得k=﹣1,
∴抛物线的解析式为y=x2﹣x﹣;
(3)解:当y=0时,x2﹣x﹣=0,
解得x=3或x=﹣1,
∴A(﹣1,0),B(3,0),
∵y=x2﹣x﹣=(x﹣1)2﹣2,
∴抛物线的顶点为C(1,﹣2),
∵AC=2,BC=2,AB=4,
∴△ABC是直角三角形,
∴△ABC的外接圆圆心为(1,0),半径为2,
∴﹣2≤m≤2时,直线l与△ABC的外接圆有公共点.
4.(2023•翠屏区校级模拟)在平面直角坐标系中,将二次函数y=ax2(a>0)的图象向右平移1个单位,再向下平移2个单位,得到如图所示的抛物线,该抛物线与x轴交于点A、B(点A在点B的左侧),OA=1,经过点A的一次函数y=kx+b(k≠0)的图象与y轴正半轴交于点C,且与抛物线的另一个交点为D,△ABD的面积为5.
(1)求抛物线和一次函数的解析式;
(2)点Q是直线上的一动点,连接OQ,FQ,设△OQF外接圆的圆心为M,当sin∠OQF最大时,求点M的坐标(直接写答案).
【解答】解:(1)将二次函数y=ax2(a>0)的图象向右平移1个单位,再向下平移2个单位,得到的抛物线解析式为y=a(x﹣1)2﹣2,
∵OA=1,
∴点A的坐标为(﹣1,0),代入抛物线的解析式得,4a﹣2=0,
∴,
∴抛物线的解析式为,即.
令y=0,则,
解得:x1=﹣1,x2=3,
∴B(3,0);
∴AB=OA+OB=4,
∵△ABD的面积为5,
∴,
∴,
∴,
解得:x1=﹣2,x2=4,
∴.
设直线AD的解析式为y=kx+b,则有
,
解得:,
∴直线AD的解析式为.
(2)如图,H是OF的中点,M在直线上运动,
∴∠OQF=∠OMH,
∴,
∴当OM取得最小值时,sin∠OQF的值最大,
∵MO=MQ,
∴当MQ取得最小值时,sin∠OQF的值最大,
∵当MQ垂直直线时,MQ取得最小值,
∴此时M、Q在二次函数的对称轴直线x=1上,
∴,
根据对称性,存在,
故:或.
5.(2023秋•宿豫区校级期中)定义:平面直角坐标系xOy中,过二次函数图象与坐标轴所有交点的圆,称为该二次函数的坐标圆.
(1)已知点P(2,2),以P为圆心,为半径作圆,请判断⊙P是不是二次函数y=x2﹣4x+3的坐标圆,并说明理由;
(2)已知二次函数y=x2﹣4x+4图象的顶点为A,交y轴于点C,则该二次函数的坐标圆的圆心为P在 直线x=2 上;
(3)求△POA周长最小值.
【解答】解:(1)⊙P是二次函数y=x2﹣4x+3的坐标圆,理由如下:
当x=0时,y=3,当y=0时,解方程x2﹣4x+3=0得x1=1,x2=3,
∴二次函数y=x2﹣4x+3的图象与x轴的交点坐标为A(1,0),B(3,0),与y轴的交点坐标为C(0,3),
∵,,,
∴,
故⊙P是二次函数y=x2﹣4x+3的坐标圆;
(2)∵已知二次函数y=x2﹣4x+4=(x﹣2)2图象的顶点为A,交y轴于点C,
∴A(2,0),C(0,4),则二次函数y=x2﹣4x+4图象与x轴相切,
∴该二次函数的坐标圆与x轴相切,切点为A,
∴PA⊥x轴,则该二次函数的坐标圆的圆心为 P在直线x=2上,
故答案为:直线x=2;
(3)取点O关于点A的对称点,连接PC,PO′,CO′,则OP=O′P,PA=PC,
∵A(2,0),C(0,4),
∴OC=4,OA=O′A=2,
∴△POA的周长为OP+PA+OA=O′P+PC+2≥CO′+2,当点C、P、O′共线时取等号,
∵,
∴△POA 周长最小值为.
6.(2023秋•雨花区期末)如图,二次函数y=﹣x2+bx+c的图象经过点A(﹣1,0),B(3,0),点E为二次函数第一象限内抛物线上一动点,EH⊥x轴于点H,交直线BC于点F,以EF为直径的圆⊙M与BC交于点R.
(1)求b,c的值;
(2)当△EFR周长最大时,求此时E点坐标及△EFR周长;
(3)连接CE、BE,当△ERC∽△BRE时,求出E点坐标.
【解答】解:(1)将A(﹣1,0),B(3,0)代入y=﹣x2+bx+c中,
得,
解得,
(2)∵以EF为直径的圆⊙M与BC交于点R,
∴∠ERF=90°,
∵y=﹣x2+2x+3,
∵OC=OB=3,
∴∠CBO=∠OCB=45°,
又∵CO∥EH,
∴∠EFC=∠OCB=45°,
∴△ERF为等腰直角三角形,
∴当△EFR周长最大时,EF最长,
∵C(0,3),B(3,0),
即可得到直线BC解析式为:y=﹣x+3,
设E(m,﹣m2+2m+3),F(m,﹣m+3),
∴EF=﹣m2+3m=,
当m=时,EF=,
∴点E的坐标为,
在Rt△EFR中,ER=FR=,△EFR的周长为;
(3)若△ERC∽△BRE,则∠CER=∠EBR,
∴∠CEB=90°,
设E(m,﹣m2+2m+3),过点B和E分别作平行于x轴、y轴的直线,垂足为N,直线交于点G,
∵∠CEN+∠BEG=90°,∠CEN+∠NCE=90°,
∴∠BEG=∠NCE,
又∵∠CNE=∠BGE=90°,
∴△CNE∽△EGB,
∴,
∴,
解得,(舍去),
∴E,
当点E在对称轴左边时,
∵△ERC∽△BRE,
∴∠REC=∠RBE,
∵∠REC+∠CEF=∠RBE+∠FEB=45°,
∴∠CEF=∠FEB,
延长EC交x轴于K,
∵直线EK的解析式为y=(﹣m+2)x+3,
∴K(,0),
∵EF⊥BK,∠CEF=∠FEB,∴EF垂直平分线段BK,
∴,
解得m=,
∴点E(,);
综上所述,点E的坐标为或(,).
7.(2024•沂源县二模)如图,已知二次函数y=ax2﹣2ax+c的图象与x轴交于A、B两点,其中A在B的左侧,OA:OB=1:3;与y轴的正半轴交于点C;与一次函数y=﹣x+b的图象交于A、D两点,连接BD,tan∠ADB=.
(1)求b的值;
(2)求二次函数的关系式;
(3)在抛物线上,是否存在点P,使得以P为圆心的圆与直线AD和x轴都相切.若存在,求出P点横坐标;若不存在,请说明理由.
【解答】解:(1)由抛物线的表达式知,其对称轴为直线x=1,
设点A、B的坐标分别为:(﹣m,0)、(3m,0),
则1=(3m﹣m),
解得:m=1,
则点A、B的坐标分别为:(﹣1,0)、(3,0),
将点A的坐标代入一次函数表达式得:0=1+b,
解得:b=﹣1;
(2)由(1)知抛物线的表达式为:y=a(x+1)(x﹣3),
如图,由直线AD的表达式知,∠BAD=45°,
过点B作BH⊥AD于点H,
∵tan∠ADB=,
故设HB=2x,则DH=3x,
则AH=BH=2x,
则AB=2x=4,
则x=,
则AD=5x=5,
过点D作x轴的平行线交过点A和y轴的平行线于点T,
则△ADT为等腰直角三角形,
则AT=TD=5,
则点D(4,﹣5),
将点D的坐标代入抛物线表达式得:﹣5=a(4+1)(4﹣3),
解得:a=﹣1,
则抛物线的表达式为:y=﹣x2+2x+3①;
(3)存在,理由:
当点P在y轴右侧时,如图①,
当以P为圆心的圆与直线AD和x轴都相切,
则点P为∠BAD的角平分线和抛物线的交点,
由直线AD的表达式知,∠DAB=45°,
而直线m和x轴的夹角为22.5°,
如图②,设△BCD为等腰直角三角形,DA=CD,则∠C=22.5°,
设AB=BD=x,则AD=x=CD,
则tanC===﹣1=tan22.5°,
则直线m的表达式为:y=﹣(﹣1)(x+1)②,
联立①②得:﹣x2+2x+3=﹣(﹣1)(x+1),
解得:x=﹣1(舍去)或2+;
当点P在y轴左侧时,
则点P所在的直线n和m垂直,
故直线n的表达式为:y=(+1)(x+1)③,
联立①③得:(+1)(x+1)=﹣x2+2x+3,
解得:x=﹣1(舍去)或2﹣;
故P点横坐标为2±.
8.(2023秋•中山市期中)如图,y关于x的二次函数图象的顶点为M,图象交x轴于A、B两点,交y轴正半轴于点D.以AB为直径作圆,圆心为点C,定点E的坐标为(﹣3,0),连接ED.(m>0)
(1)求用m表示的A、B、D三点坐标;
(2)当m为何值时,点M在直线ED上?判定此时直线ED与圆的位置关系;
(3)当m变化时,用m表示△AED的面积.
【解答】解:(1)令y=0,则﹣(x+m)(x﹣3m)=0,
解得x1=﹣m,x2=3m;
令x=0,则y=﹣(0+m)(0﹣3m)=m.
故A(﹣m,0),B(3m,0),D(0,m);
(2)当m=1时,点M在直线ED上.理由如下:
设直线ED的解析式为y=kx+b,将E(﹣3,0),D(0,m)代入得:
解得,k=,b=m.
∴直线ED的解析式为y=mx+m.
将y=﹣(x+m)(x﹣3m)化为顶点式:y=﹣(x﹣m)2+m.
∴顶点M的坐标为(m,m).代入y=mx+m得:m2=m
∵m>0,
∴m=1.
∴当m=1时,M点在直线DE上.
连接CD,C为AB中点,C点坐标为C(m,0).
∵OD=,OC=1,
∴CD=2,D点在圆上
又∵OE=3,DE2=OD2+OE2=12,
EC2=16,CD2=4,
∴CD2+DE2=EC2.
∴∠EDC=90°
∴直线ED与⊙C相切.
(3),
当0<m<3时,,即.
当m>3时,,即.
综上所述知:.
9.(2023秋•阜宁县期末)在平面直角坐标系中,二次函数y=ax2+x+c的图象经过点C(0,2)和点D(4,﹣2),点E是直线y=﹣x+2的图象与二次函数图象在第一象限内的交点.
(1)求二次函数的解析式;
(2)如图①,若点M是二次函数图象上的点,且在直线CE的上方,连接MC,OE,ME,求四边形COEM面积的最大值;
(3)如图②,经过A、B、C三点的圆交y轴于点F(点F与点C不重合),请直接写出点F的坐标.
【解答】解:(1)把C(0,2),D(4,﹣2)代入二次函数解析式得:
,
解得:,
∴二次函数解析式为y=﹣x2+x+2;
(2)联立一次函数与二次函数解析式得:
,
消去y得:﹣x+2=﹣x2+x+2,
解得:x=0或x=3,
则E(3,1);
如图①,过M作MH∥y轴,交CE于点H,
设M(m,﹣m2+m+2),则H(m,﹣m+2),
∴MH=(﹣m2+m+2)﹣(﹣m+2)=﹣m2+2m,
S四边形COEM=S△OCE+S△CME=×2×3+MH•3=﹣m2+3m+3=﹣(m﹣)2+,
当m=时,S最大=;
答:四边形COEM面积的最大值为;
(3)连接BF,如图②所示,
当﹣x2+x+2=0时,
解得:x1=,x2=,
∴OA=,OB=,
∵∠ACO=∠ABF,∠AOC=∠FOB,
∴△AOC∽△FOB,
∴=,即=,
解得:OF=,
∴F坐标为(0,﹣).
10.(2024•龙湖区校级一模)如图,二次函数y=x2﹣6x+8的图象与x轴分别交于点A,B(点A在点B的左侧),直线l是对称轴.点P在函数图象上,其横坐标大于4,连接PA,PB,过点P作PM⊥l,垂足为M,以点M为圆心,作半径为r的圆,PT与⊙M相切,切点为T.
(1)求点A,B的坐标;
(2)若以⊙M的切线长PT为边长的正方形的面积与△PAB的面积相等,且⊙M不经过点(3,2),求PM长的取值范围.
【解答】解:(1)令y=0,
则x2﹣6x+8=0,
解得x1=2,x2=4,
∴A(2,0),B(4,0).
答:点A的坐标为(2,0),点B的坐标为(4,0).
(2)∵y=x2﹣6x+8=(x﹣3)2﹣1,
∴对称轴为x=3.
设P(m,m2﹣6m+8),
∵PM⊥l,
∴M(3,m2﹣6m+8),
连接MT,则MT⊥PT,
∴PT2=PM2﹣MT2=(m﹣3)2﹣r2,
即以切线长PT为边长的正方形的面积为(m﹣3)2﹣r2,
过点P作PH⊥x轴,垂足为H,
则,
∴(m﹣3)2﹣r2=m2﹣6m+8,
∵r>0,
∴r=1.
假设⊙M经过点N(3,2),则有两种情况:
①如图,当点M在点N的上方,
∴M(3,3),
∴m2﹣6m+8=3,
解得m=5或1,
∵m>4,
∴m=5.
②如图,当点M在点N的下方,
∴M(3,1),
∴m2﹣6m+8=1,
解得,
∵m>4,
∴,
综上所述,PM=m﹣3=2或,
∴当⊙M不经过点N(3,2)时,PM长的取值范围为: 或<PM<2或PM>2.
答:PM长的取值范围为: 或<PM<2或PM>2.
11.(2024•市中区校级模拟)二次函数的图象经过点A(﹣1,0)和点C(0,﹣3)与x轴的另一交点为点B.
(1)求b,c的值;
(2)定义:在平面直角坐标系xOy中,经过该二次函数图象与坐标轴交点的圆,称为该二次函数的坐标圆.问:在该二次函数图象的对称轴上是否存在一点Q,以点Q为圆心,为半径作⊙Q,使⊙Q是二次函数的坐标圆?若存在,求出点Q的坐标;若不存在,请说明理由;
(3)如图所示,点M是线段BC上一点,过点M作MP∥y轴,交二次函数的图象于点P,以M为圆心,MP为半径作⊙M,当⊙M与坐标轴相切时,求出的值.
【解答】解:(1)把点A (﹣1,0)和点C(0,﹣3)代入y=x2+bx+c,
得:,解方程组得:,
∴,c=﹣3;
(2)存在,理由如下:
如图所示,由(1)可知二次函数的解析式为:,令,
解得:x1=﹣1,x2=4,所以点 A (﹣1,0),点B (4,0),
∵点C (0,﹣3),
∴AB=BC=5,
∴△ABC是等腰三角形,
根据坐标圆的定义,⊙Q经过点A、B、C,
∴圆心Q为AB的垂直平分线与AC的垂直平分线的交点.
∵AB的垂直平分线即为二次函数的对称轴,
∵点 A (﹣1,0),点C (0,﹣3),
∴AC的中点F的坐标为,
∴AC垂直平分线BF的解析式为,
∴点Q坐标为(,),
在Rt△QNB中,QB===.
所以存在符合题意的坐标圆,其圆心Q的坐标为(,);
(3)设BC直线的解析式为:y=kx+b,
把B (4,0)、C (0,3)的坐标代入y=kx+b得:,
解得:,
∴BC直线的解析式为:,
⊙M与坐标轴相切,有两种情况,
①当⊙M与y轴相切时,如图所示:
过点M作MD⊥y轴,垂足为点D,
则点D为⊙M与y轴的切点,即PM=DM=x,
设P,则M,
则PM=()﹣(),
∴()﹣()=x解得:x1=,x2=0,
当x=0时,点M与点C重合,不合题意舍去;
∴⊙M的半径为DM=,
∴M(,﹣1),
∵MD⊥y轴,
∴MD∥x轴,
∴△CDM∽△COB,
∴,即,
∴CM=,
∴MB==,
∴=2;
②当⊙M与x轴相切时,如图所示:
延长PM交x轴于点E,由题意可知:
点E为⊙M与x轴的切点,所以PM=ME,
设P,M,
则PM=()﹣(),ME=﹣x+3,
∴()﹣()=﹣x+3,
解得:x1=1,x2=4,
当x=4时,点M与点B重合,所以不合题意舍去,
∴⊙M的半径为:PM=ME=+3=,
∴M(1,),
∵PM∥y轴,
∴,即,
∴CM=,
∴MB==,
∴=,
综上所述,值是2或.
相关试卷
这是一份全国通用 中考数学 二次函数压轴题专题练习 19新定义(含答案解析版),共105页。试卷主要包含了2+2就是“友好二次函数”,定义,我们约定,关于原点O互为“伴随函数”等内容,欢迎下载使用。
这是一份全国通用 中考数学 二次函数压轴题专题练习 18数学建模(含答案解析版),共22页。
这是一份全国通用 中考数学 二次函数压轴题专题练习 16定值问题 (含答案解析版),共41页。