资料中包含下列文件,点击文件名可预览资料内容
还剩1页未读,
继续阅读
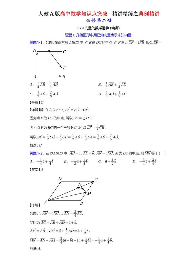
高中数学人教A版 (2019)必修 第二册6.2 平面向量的运算学案
展开
这是一份高中数学人教A版 (2019)必修 第二册6.2 平面向量的运算学案,文件包含623向量的数乘运算-知识点精讲原卷版-A4pdf、623向量的数乘运算-知识点精讲详解版-A4pdf等2份学案配套教学资源,其中学案共8页, 欢迎下载使用。
相关学案
数学必修 第二册第六章 平面向量及其应用6.2 平面向量的运算优秀学案:
这是一份数学必修 第二册第六章 平面向量及其应用6.2 平面向量的运算优秀学案,共1页。
人教A版 (2019)必修 第二册第六章 平面向量及其应用6.2 平面向量的运算优质学案设计:
这是一份人教A版 (2019)必修 第二册第六章 平面向量及其应用6.2 平面向量的运算优质学案设计,共2页。学案主要包含了学习过程,课堂练习,课堂总结等内容,欢迎下载使用。
高中数学人教A版 (2019)必修 第二册6.2 平面向量的运算导学案:
这是一份高中数学人教A版 (2019)必修 第二册6.2 平面向量的运算导学案,共5页。

