还剩10页未读,
继续阅读
山东省青岛2024~2025学年高三(上)期中数学试卷(含解析)
展开
这是一份山东省青岛2024~2025学年高三(上)期中数学试卷(含解析),共13页。
相关试卷
山东省青岛海尔学校2024~2025学年高三(上)期中数学试卷(含解析):
这是一份山东省青岛海尔学校2024~2025学年高三(上)期中数学试卷(含解析),共12页。
2024~2025学年山东省青岛市即墨区高三(上)期中数学试卷(含答案):
这是一份2024~2025学年山东省青岛市即墨区高三(上)期中数学试卷(含答案),共8页。
北京市2024~2025学年高三(上)期中数学试卷(含解析):
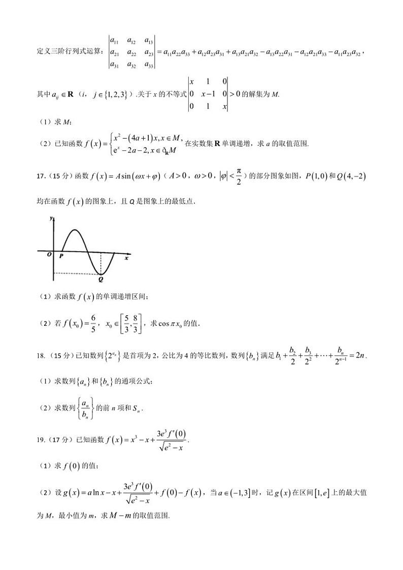
这是一份北京市2024~2025学年高三(上)期中数学试卷(含解析),共17页。

