

河南省漯河市高级中学2024~2025学年高一(上)期中数学试卷(含答案)
展开这是一份河南省漯河市高级中学2024~2025学年高一(上)期中数学试卷(含答案),共5页。
相关试卷
这是一份河南省漯河市高级中学2024~2025学年高一(上)期中数学试卷(含答案),共5页。
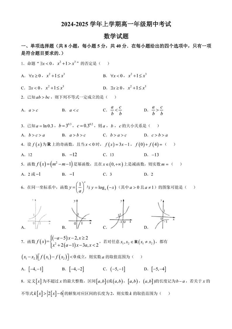
这是一份河南省漯河市高级中学2024-2025学年高一上学期期中考试数学试卷,共4页。试卷主要包含了单项选择题,多选题,填空题,解答题等内容,欢迎下载使用。
这是一份河南省漯河市高级中学2024-2025学年高一上学期期中考试数学试卷,文件包含2024-2025漯河一高期中高一数学原卷+答案1pdf、高一上学期期中考试数学试卷2024-2025学年漯河高中docx等2份试卷配套教学资源,其中试卷共14页, 欢迎下载使用。