


2025届云南省三校高三(上)高考备考实用性联考卷(五)数学试卷(解析版)
展开
这是一份2025届云南省三校高三(上)高考备考实用性联考卷(五)数学试卷(解析版),共17页。试卷主要包含了单项选择题,多项选择题,填空题,解答题等内容,欢迎下载使用。
一、单项选择题(本大题共8小题,每小题5分,共40分.在每小题给出的四个选项中,只有一项是符合题目要求的)
1. 已知集合,,( )
A. B.
C. D.
【答案】B
【解析】因为,可得,解得,
即集合,且
所以.
故选:B.
2. 若复数,则( )
A. B. 5C. D. 2
【答案】C
【解析】根据复数的运算,化简可得,所以,
则 .
故选:C.
3. 已知向量,,且,则向量与的夹角为( )
A. B. C. D.
【答案】B
【解析】由题意知,因为,所以,
则,解得,所以,
又,则向量与的夹角为,
故选:B.
4. 已知,,,则( )
A. B. C. D.
【答案】B
【解析】由,可得,
又,所以,
故,,
又,解得,
故选:B.
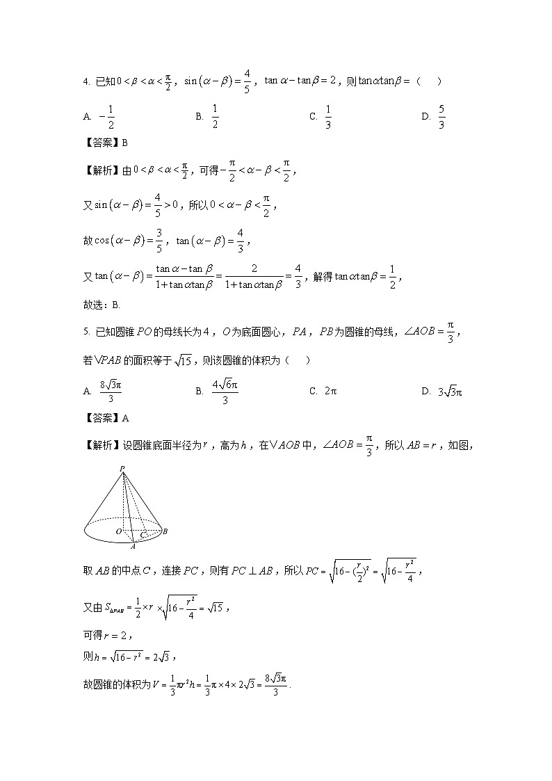
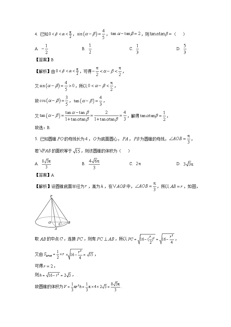
5. 已知圆锥的母线长为,为底面圆心,,为圆锥的母线,,若的面积等于,则该圆锥的体积为( )
A. B. C. D.
【答案】A
【解析】设圆锥底面半径为,高为,在中,,所以,如图,
取的中点,连接,则有,所以,
又由,
可得,
则,
故圆锥的体积为.
故选:A.
6. 某市人民政府新招聘进名应届大学毕业生,分配给甲、乙、丙、丁四个部门,每人只去一个部门,每个部门必须有人,若甲部门必须安排人,则不同的方案数为( )
A. B. C. D.
【答案】A
【解析】名应届大学毕业生,分配给甲、乙、丙、丁四个部门,
甲部门必须安排 人有种,
剩余个人分配到乙、丙、丁三个部门有种,
故由分步乘法计数原理得,
故选:A.
7. 已知M是双曲线左支上的一个点,,是双曲线的焦点,,的面积为8,且,则双曲线的离心率为( )
A. B. C. D.
【答案】C
【解析】因为∶∶∶1∶,所以∶∶∶∶,
设,由可得,因为,解得,
所以,解得,
所以离心率,
故选:C.
8. 我们知道,函数的图象关于坐标原点成中心对称图形的充要条件是函数为奇函数.有同学发现可以将其推广为:函数的图象关于点成中心对称图形的充要条件是函数为奇函数.已知函数是奇函数,,则下列结论不正确的是( )
A. 函数的图象关于点对称
B. 函数是奇函数
C. 函数的导函数关于直线对称
D. 若函数的图象与函数的图象有2024个交点,记为,则
【答案】D
【解析】对于选项A:因为是奇函数,所以函数的图象关于点对称,所以选项A正确;
对于选项B:令, ,即函数是奇函数,所以选项B正确;
对于选项C:由选项B可知是奇函数,所以,
两边同时求导可得,即,所以关于直线对称,所以选项C正确;
对于选项D:函数的图象与函数的图象有2024个交点关于点对称,
因此,所以选项D错误.
故选:D.
二、多项选择题(本大题共3小题,每小题6分,共18分,在每小题给出的四个选项中,有多项是符合题目要求的.全部选对的得6分,部分选对的得部分分,有选错的得0分)
9. 设正实数,满足,则( )
A. 的最大值为B. 的最小值为
C. 的最小值为D. 的最小值为
【答案】ACD
【解析】对于A,因为正实数,满足,所以,
当且仅当时等号成立,A正确;
对于B,设,则,
代入得,
解之得或,
又正实数,,,
所以,则矛盾,
即不会有取的可能,故B错误;
对于C,因为正实数,满足,所以且,
所以
(当且仅当即,时取“”),C正确;
对于D,由,因此,
当且仅当时取等号,即的最小值为,D正确.
故选:ACD.
10. 已知,其中相邻两个极值点的距离为,且经过点,则( )
A.
B.
C. 时,的值域为
D. 时,与的交点数为个
【答案】AB
【解析】A选项:由已知相邻两个极值点的距离为,可得,
又,可得,A选项正确;
B选项:由函数经过点,则,即,
又,可得,B选项正确;
C选项:,当时,,
则,所以,C选项错误;
D选项:因为函数的最小正周期为,函数的最小正周期为,
所以在上函数有三个周期的图象, 在坐标系中结合五点法画出两函数图象,
如图所示:由图可知,两函数图象有个交点,D选项错误;
故选:AB.
11. 已知动点到定点的距离有它到直线距离的比是常数,点的轨迹称为曲线,直线y=kxk≠0与曲线交于、两点.则下列说法正确的是( )
A. 曲线的方程
B.
C. 为曲线上不同于、的一点,且直线、的斜率分别为,,则
D. 为坐标原点,的最大值为
【答案】ABD
【解析】对于A选项,设Px,y,则,
即,
即,化简得,
故曲线的方程为,A对;
对于B选项,由题意可知,曲线为椭圆,且,,,
设椭圆另一个焦点为,如图,由为和中点可知四边形为平行四边形,
所以,所以,B对;
对于C选项,设点、Ax1,y1,则,
因为点在曲线上,则,可得,
同理,
所以,C错;
对D,由定义知动点到定点与它到定直线距离满足,
所以,
其中为点到直线的距离,
即求椭圆上一点到与到直线距离和的最大值,
如下图所示:
显然当在椭圆左顶点时,和同时取得最大值,
所以,,D对,
故选:ABD.
三、填空题(本大题共3小题,每小题5分,共15分)
12. 已知是公比为2的等比数列,若,则______.
【答案】
【解析】记等比数列公比为,则.
因,
故.
13. 已知圆的圆心与抛物线的焦点重合,两曲线在第一象限的交点为,则原点到直线的距离为______.
【答案】
【解析】圆心与的焦点重合,
由可得
由点斜式方程可得:
即:,原点到的距离.
14. 费马点是指位于三角形内且到三角形三个顶点距离之和最小的点.当三角形三个内角都小于时,费马点与三角形三个顶点的连线构成的三个角都为.如图,已知和都是正三角形,,,且,,三点共线,设点是内的任意一点,则的最小值为______.
【答案】
【解析】如图,
由题设有,而,,
由余弦定理可得,所以,
故是直角三角形,且,.
将绕点顺时针旋转到,则,
则,
当且仅当,,,四点共线时等号成立,
此时,,
即为费马点时,取最小值,
法一:几何法
因为,,
所以,,
故当且仅当为费马点时,取最小值且最小值为.
法二:解析法
如图,以点为原点建立平面直角坐标系,且A-2,0,,
由费马点的定义知点满足,
故在以为弦且半径为的劣弧上,
设圆心为,而,故,
故,故圆,
同理也在以为弦且半径为的劣弧上,
其方程为,
由,可得,
再代入其中一式解得,(,舍),
所以取最小值时,,,取最小值为.
法三:代数法
设,则,
由费马点的性质可得,(),由正弦定理可得且,
故,
整理得到,
解得,即,,
此时,
而,同理,
故的最小值为.
四、解答题(共77分,解答应写出必要的文字说明、证明过程或演算步骤)
15. 已知数列的前n项和为S,且有,数列bn满足,且,前11项和为220.
(1)求数列,bn的通项公式;
(2)设,数列的前n项和为,求证:.
解:(1),故当时,;
当时,,满足上式,
所以,.
又,,
数列为等差数列,令其前项和为,则,
,
公差,
,.
(2)由(1)知:,
故, ;
.
16. 如图,在梯形中,,,,且,现将沿翻折至,使得.
(1)证明:平面;
(2)求平面与平面所成角的正弦值.
(1)证明:,且,
易得翻折后,
又,,平面,
平面,
平面,
,
,,,
,即,
又,,平面,平面;
(2)解:连接,
在梯形中,易得,
,,
如图,以为坐标原点,建立空间直角坐标系:
则,,,
,,
设平面的法向量为,
则,
令,则,,
则为平面一个法向量,
结合(1)易知平面,所以取平面的法向量,
所以,
即平面与平面所成角的余弦值为,
平面与平面所成角的正弦值为.
17. 如图,已知,点P在圆上运动,线段PQ的垂直平分线交线段PM于点N,设动点N的轨迹为曲线C.
(1)求C的方程;
(2)过点0,4且斜率为k的直线l与曲线C交于D,E两点,求面积的最大值(O为原点).
解:(1)如图,易知圆的圆心为,半径为4,
由题得,,
所以动点N的轨迹是以M、Q为焦点的椭圆,
不妨设椭圆的长轴、短轴、焦距为,其中,
所以的方程为
(2)由题意得直线,由,,
令,
所以,即或.
设,则,
点到直线的距离
所以
,
令,则,
则,
当且仅当即时,等号成立,
所以面积的最大值为.
18. 设.
(1)求在处的切线方程;
(2)证明:时,;
(3)设为整数,且对于任意正整数都有,求的最小值.
(1)解:已知,则,则,
又,所以切线方程为,
即;
(2)证明:,,,
令,解得,
可知当时,,单调递增;
当时,,单调递减;
所以;
(3)解:由(2)可知当时:,
即:,
令可得,
从而
,
即,
当,,
所以,
即的最小值为.
19. 有一个摸奖游戏,在一个口袋中装有3个红球和3个白球,这些球除颜色外完全相同,游戏规定:每位参与者进行次摸球,每次从袋中一次性摸出两个球,如果每次摸出的两个球颜色相同即为中奖,颜色不同即为不中奖,有两种摸球方式:一是每次摸球后将球均不放回袋中,直接进行下一次摸球,中奖次数记为;二是每次摸球后将球均放回袋中,再进行下一次摸球,中奖次数记为.
(1)求第一次摸球就中奖的概率;
(2)若,求的分布列和数学期望;
(3)若,函数随机变量,求的数学期望.
解:(1)记“第一次摸球就中奖”为事件,则
即第一次摸球就中奖的概率为.
(2)若,且第一次摸球后将球均不放回袋中,直接进行第二次摸球,
则的可能取值为.
则
则的分布列为
所以的数学期望为
(3)若,且每次摸球后均将球放回袋中,再进行下一次摸球,
则每次中奖相互独立,且由(1)知每次中奖概率均为,所以.
此时的可能取值为.
的可能取值为
当时,;
当时,,当时,.
因为,
所以
又,
所以
.
所以
.
即的数学期望为.
相关试卷
这是一份云南省三校2025届高三高考备考实用性联考卷(一)数学试卷,文件包含2025届云南三校高考备考实用性联考卷一数学试卷pdf、2025届云南三校高考备考实用性联考卷一数学答案pdf等2份试卷配套教学资源,其中试卷共13页, 欢迎下载使用。
这是一份云南省三校2025届高三高考备考实用性联考卷(一)数学试卷,文件包含2025届云南三校高考备考实用性联考卷一数学试卷pdf、2025届云南三校高考备考实用性联考卷一数学答案pdf等2份试卷配套教学资源,其中试卷共13页, 欢迎下载使用。
这是一份2024云南省三校高三高考备考实用性联考卷(六)数学PDF版含解析,共16页。
