资料中包含下列文件,点击文件名可预览资料内容





还剩2页未读,
继续阅读
四川省盐亭中学2024-2025学年高二上学期第二次月考数学试题
展开
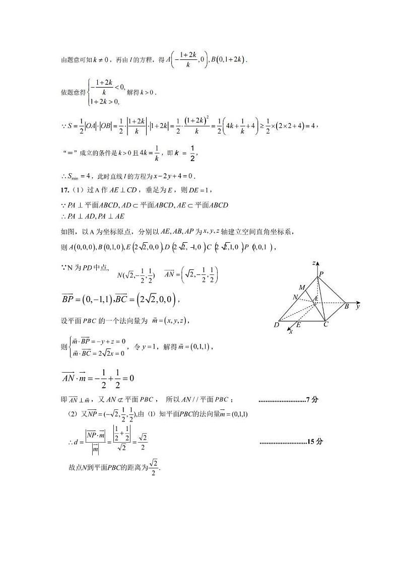
这是一份四川省盐亭中学2024-2025学年高二上学期第二次月考数学试题,文件包含高二半期考试数学试题pdf、盐亭中学2023级2024年秋第二次月考数学答题卡pdf、高二半期考试数学答案pdf等3份试卷配套教学资源,其中试卷共10页, 欢迎下载使用。
相关试卷
2025绵阳盐亭中学高二上学期10月月考数学试题含解析:
这是一份2025绵阳盐亭中学高二上学期10月月考数学试题含解析,文件包含四川省绵阳市盐亭中学2024-2025学年高二上学期10月月考数学试题含解析docx、四川省绵阳市盐亭中学2024-2025学年高二上学期10月月考数学试题无答案docx等2份试卷配套教学资源,其中试卷共20页, 欢迎下载使用。
四川省绵阳市盐亭中学2024-2025学年高二上学期10月月考数学试卷(Word版附解析):
这是一份四川省绵阳市盐亭中学2024-2025学年高二上学期10月月考数学试卷(Word版附解析),文件包含四川省绵阳市盐亭中学2024-2025学年高二上学期10月月考数学试题Word版含解析docx、四川省绵阳市盐亭中学2024-2025学年高二上学期10月月考数学试题Word版无答案docx等2份试卷配套教学资源,其中试卷共20页, 欢迎下载使用。
山西省实验中学2024-2025学年高二上学期第二次月考数学试题(Word版附答案):
这是一份山西省实验中学2024-2025学年高二上学期第二次月考数学试题(Word版附答案),共7页。试卷主要包含了单项选择题,多项选择题,填空题,解答题等内容,欢迎下载使用。
