




江苏省徐州市2024-2025学年高三上学期11月期中考试数学试卷(Word版附答案)
展开1.答题前,考生务必将自己的姓名、准考证号等填写在答题卡上.
2.回答选择题时,选出每小题答案后,用铅笔把答题卡上对应题目的答案标号涂黑,如需改动,用橡皮擦干净后,再选涂其他答案标号.回答非选择题时,将各答案写在答题卡上写在本试卷上无效.
3.考试结束后,将本试卷和答题卡一并交回.
一、单项选择题:本题共8小题,每小题5分,共40分.在每小题给出的四个选项中,只有一项是符合题目要求的.
1. 设集合,则( )
A. B. C. D.
2. 复数的虚部为( )
A. 1B. C. D.
3. 若向量,则向量在向量上的投影向量为( )
A. B. C. D.
4. 已知圆锥的母线长为13,侧面积为,则该圆锥的内切球的表面积为( )
A. B. C. D.
5. 等比数列的各项均为正数,若,则( )
A 588B. 448C. 896D. 548
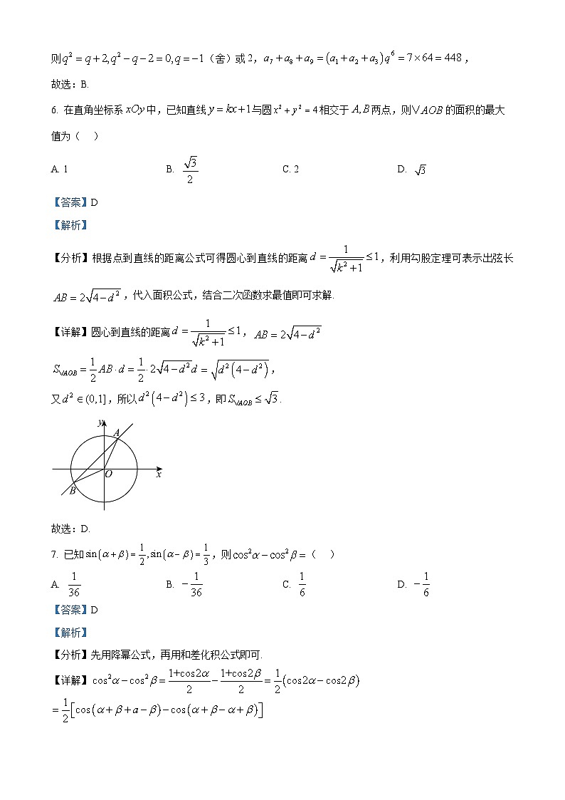
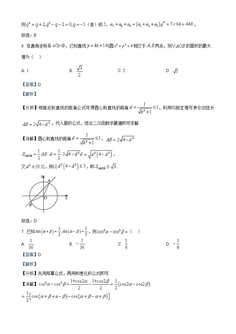
6. 在直角坐标系中,已知直线与圆相交于两点,则面积的最大值为( )
A. 1B. C. 2D.
7. 已知,则( )
A. B. C. D.
8. 已知定义在上的函数满足,且,则( )
A. B.
C. 是增函数D. 是减函数
二、多选题:本题共3小题,每小题6分,共18分.在每小题给出的选项中,有多项符合题目要求.全部选对的得6分,部分选对的得部分分,有选错的得0分.
9 已知函数,则( )
A. 的图象关于点对称
B. 的图象可由的图象向左平移个单位长度得到
C. 在区间单调递减
D. 当时,的值域为
10. 已知正方体的棱长为2,点分别是棱的中点,则( )
A. 直线与直线的夹角为
B. 直线与平面所成角的正弦值为
C. 点到平面的距离为
D. 三棱锥的外接球的半径为
11. 如图,由函数与的部分图象可得一条封闭曲线,则( )
A. 有对称轴
B. 的弦长的最大值为
C. 直线被截得弦长的最大值为
D. 的面积大于
三、填空题:本题共3小题,每小题5分,共15分.
12. 已知随机变量服从二项分布,若,则__________.
13. 在四面体中,是正三角形,是等腰直角三角形,,平面平面,点在棱上,使得四面体与四面体的体积之比为,则二面角的余弦值为__________.
14. 已知双曲线C:x2a2−y2b2=1a>0,b>0离心率为,把上所有点绕原点逆时针旋转角所得曲线的方程为,则的虚轴长为______.
四、解答题:本题共5小题,共77分.解答应写出文字说明、证明过程或演算步骤.
15. 下表提供了某厂进行技术改造后生产产品过程中记录的产能(单位:)与相应的生产能耗(单位:标准煤)的几组对应数据:
(1)求关于的经验回归方程;
(2)已知该厂技术改造前产品的生产能耗为标准煤,试根据(1)中求出的经验回经验回归方程,预测该厂技术改造后产品的生产能耗比技术改造前降低了多少标准煤.
参考公式:
16. 已知椭圆的离心率为,短轴的一个端点与两个焦点构成的三角形的面积为4.
(1)求的方程;
(2)设直线与交于两点,点,求.
17. 已知数列满足为常数.
(1)若,求;
(2)若的各项均为正数,证明:.
18. 在中,角的对边分别为,且.
(1)求;
(2)点分别在边上,且平分平分,.
①求证:;
②求.
19. 设定义在上的函数的导函数为.如果存在实数和函数,使得,其中对任意实数恒成立,则称函数具有性质.
(1)求证:函数具有性质;
(2)已知函数具有性质,给定实数,,其中.证明:;
(3)对于函数和点,令,若点满足在处取得最小值,则称是“点”.已知函数具有性质,点.若对任意的,都存在曲线上的一点,使得既是的“点”,又是的“点”,求的取值范围.
3
4
5
6
标准煤
3.5
4
5
5.5
重庆市2024-2025学年高三上学期10月期中考试数学试卷(Word版附答案): 这是一份重庆市2024-2025学年高三上学期10月期中考试数学试卷(Word版附答案),文件包含重庆市2024-2025学年高三上学期10月期中考试数学试题docx、重庆主城五区高三期中数学答案pdf等2份试卷配套教学资源,其中试卷共8页, 欢迎下载使用。
江苏省盐城市2024-2025学年高三上学期11月期中考试数学试卷(Word版附答案): 这是一份江苏省盐城市2024-2025学年高三上学期11月期中考试数学试卷(Word版附答案),文件包含江苏省盐城市2024-2025学年高三上学期11月期中考试数学试题无答案docx、2025江苏省盐城市高三上学期11月期中考试数学试卷含答案pdf等2份试卷配套教学资源,其中试卷共14页, 欢迎下载使用。
江苏省常州市2024-2025学年高三上学期期中质量调研数学试卷(Word版附答案): 这是一份江苏省常州市2024-2025学年高三上学期期中质量调研数学试卷(Word版附答案),文件包含江苏省常州市2024-2025学年高三上学期期中质量调研数学试题docx、数学答案pdf等2份试卷配套教学资源,其中试卷共19页, 欢迎下载使用。