甘肃省定西市陇西县第一中学等校2023-2024学年高三上学期11月期中学业质量检测数学试卷
展开
这是一份甘肃省定西市陇西县第一中学等校2023-2024学年高三上学期11月期中学业质量检测数学试卷,文件包含数学答案docx、陇西数学1docx等2份试卷配套教学资源,其中试卷共9页, 欢迎下载使用。
一、单项选择题:本题共8小题,每小题5分,共40分.在每小题给出的四个选项中,只有一个选项是符合题目要求的.
【答案】1-5DCDCB 6-8CDA
二、多项选择题:本题共4小题,每小题5分,共20分.在每小题给出的选项中,有多项符合题目要求,全部选对的得5分,部分选对的得3分,有选错的得0分.
9AB 10ABC 11ABD 12ABC
三、填空题:本题共4小题,每小题5分,共20分.
13【答案】-2
14【答案】
15【答案】
16【答案】
四、解答题:本题共6小题,共70分.解答应写出文字说明、证明过程或演算步骤.
17【解析】(1)∵, 2分
∴
, 4分
∴; 5分
(2),
则, 7分
又,,
∴, 9分
∴异面直线与所成的角的余弦值为。 10分
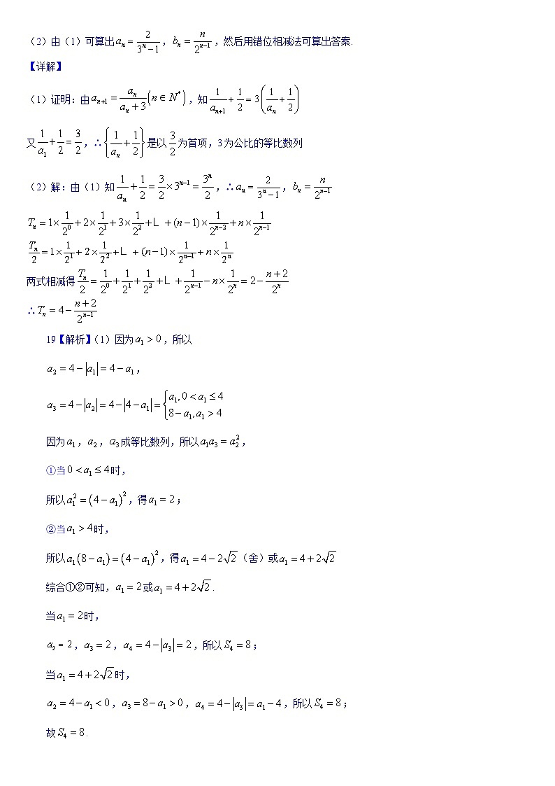
18【答案】(1)证明见解析 ;(2) .
【分析】
(1)由可得,然后可得答案;
(2)由(1)可算出,,然后用错位相减法可算出答案.
【详解】
(1)证明:由,知
又,∴是以为首项,3为公比的等比数列
(2)解:由(1)知,∴,
两式相减得
∴
19【解析】(1)因为,所以
,
因为,,成等比数列,所以,
①当时,
所以,得;
②当时,
所以,得(舍)或
综合①②可知,或.
当时,
,,,所以;
当时,
,,,所以;
故.
(2)因为,,
所以由等差列定义得,得(*)
当时,由(*)得,矛盾.
当时,由(*)得,符合条件.
当时,因为公差,
所以必存在使得,
这与矛盾.
故综上可知:只有时符合条件且此时公差,
所以,
所以,.
20【答案】(1)的单调递增区间是,单调递减区间是.(2)
【分析】
(1)首先求出函数的导函数,再解不等式即可得到函数的单调区间;
(2)由得, 将此方程的根看作函数与的图象交点的横坐标,结合(1)中相关性质得到函数的图象,数形结合即可得到参数的取值范围;
【详解】
解:(1)∵
所以
∴当时,,当时,;
即的单调递增区间是,单调递减区间是.
(2)由得,
将此方程的根看作函数与的图象交点的横坐标,
由(1)知函数在时有极大值,作出其大致图象,
∴实数的取值范围是.
【点睛】
本题考查利用导数研究函数的单调性及函数的零点问题,属于基础题.
21【答案】(1)图象见解析,值域为;(2)图象见解析,值域为.
【解析】(1)因为且,所以,
当时,;当时,;
当时,;当时,;
当时,.
所以该函数图象为一条直线上孤立的点,如图:
由图象可知,,所以该函数的值域为.
(2)因为,
所以当时,;当时,;
当时,,
因为,所以该函数图象为抛物线的一部分,如图:
由图象可知,,所以该函数的值域为.
22【答案】(1);(2).
相关试卷
这是一份甘肃省定西市漳县第一中学2024−2025学年高一上学期入学质量检测 数学试卷(含解析),共19页。试卷主要包含了单选题,填空题,解答题等内容,欢迎下载使用。
这是一份甘肃省定西市漳县第一中学2024-2025学年高一上学期入学质量检测数学试卷,共6页。
这是一份甘肃省定西市陇西县文峰中学2023-2024学年高一下学期第一次月考数学试题,文件包含数学pdf、数学DApdf等2份试卷配套教学资源,其中试卷共7页, 欢迎下载使用。

