高考总复习优化设计二轮用书数学A配基础版专题课件
展开
这是一份高考总复习优化设计二轮用书数学A配基础版专题课件,文件包含第3讲空间角空间距离pptx、第4讲统计与成对数据的分析pptx、第3讲导数的简单应用pptx、第3讲直线与圆锥曲线的位置关系pptx、专题检测5pptx、第1讲等差数列等比数列pptx、第1讲直线与圆pptx、第1讲函数的图象与性质pptx、第1讲平面向量pptx、第2讲三角函数的化简与求值pptx、第1讲空间几何体pptx、第3讲随机变量及其分布pptx、专题检测2pptx、第3讲三角函数的图象与性质pptx、第2讲圆锥曲线中的基本问题pptx、专题检测4pptx、第5讲利用导数研究函数的零点pptx、专题检测6pptx、第2讲基本初等函数函数的应用pptx、第2讲立体几何中的证明问题pptx、第2讲概率模型pptx、专题检测3pptx、专题检测1pptx、微培优5三角形中的特殊线段问题pptx、微培优4三角函数中ωφ的范围问题pptx、专题突破练3导数的简单应用pptx、第3讲数列求和pptx、第1讲计数原理pptx、第4讲解三角形pptx、第4讲利用导数研究不等式pptx、第2讲数列的递推关系pptx、微培优9空间中的翻折探究性问题pptx、微培优1函数图象的公切线问题pptx、专题突破练22直线与圆锥曲线的位置关系pptx、专题突破练17空间几何体pptx、专题突破练21圆锥曲线中的基本问题pptx、专题突破练1函数的图象与性质pptx、专题突破练6平面向量pptx、专题突破练9解三角形pptx、专题突破练11数列的递推关系pptx、专题突破练2基本初等函数函数的应用pptx、微培优8概率统计与其他知识交汇的综合问题pptx、专题突破练8三角函数的图象与性质pptx、微培优6用函数视角看数列pptx、微培优10定值定点与定直线问题pptx、专题突破练18立体几何中的证明问题pptx、微培优12证明与探索性问题pptx、专题突破练10等差数列等比数列pptx、微培优2原函数与导函数混合构造问题pptx、专题突破练12数列求和pptx、专题突破练20直线与圆pptx、专题突破练7三角函数的化简与求值pptx、微培优7数列中的情境创新与数学文化pptx、规范解答6解析几何pptx、微培优3同构函数问题pptx、专题突破练14概率模型pptx、专题突破练13计数原理pptx、专题突破练19空间角空间距离pptx、微培优11最值与范围问题pptx、专题突破练4利用导数研究不等式pptx、专题突破练16统计与成对数据的分析pptx、专题突破练5利用导数研究函数的零点pptx、专题突破练15随机变量及其分布pptx、规范解答1函数与导数pptx、规范解答2三角函数与解三角形pptx、规范解答4概率与统计pptx、规范解答5立体几何pptx、规范解答3数列pptx、知识体系建构图函数与导数pptx、知识体系建构图平面向量三角函数与解三角形pptx、知识体系建构图立体几何pptx、知识体系建构图数列pptx、知识体系建构图概率与统计pptx、知识体系建构图解析几何pptx等74份课件配套教学资源,其中PPT共2311页, 欢迎下载使用。
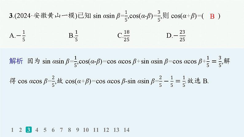
1.(人B选必二4.2.2节习题改编)下列表格可能是随机变量X的分布列的是( )
解析 由0.3+0.4+0.4=1.1≠1,故A错误;由-0.10.2 B.P(X>2)2)>0.5D.P(Y>2)2)=P(X>1.8+2×0.1)1.8+0.1)≈0.158 7,∴A错误; P(X>2)1.8)=0.5,∴B正确;∵P(Y>2)=P(Y>2.1-0.1) =P(Y266分,所以甲能被录取.所以P(X≥286)=1-0.900=0.100,所以考试成绩为286分及其以上的人数约为总人数的0.100,约有2 000×0.100=200人,即考生甲大约排在第200名,在275名之前,所以甲能选择高薪岗位.
相关课件
这是一份高考数学二轮专题总复习配套课件,文件包含题组层级快练51ppt、题组层级快练50ppt、题组层级快练48ppt、题组层级快练42ppt、题组层级快练33ppt、题组层级快练76ppt、题组层级快练74ppt、题组层级快练67ppt、题组层级快练30ppt、题组层级快练27ppt、题组层级快练58ppt、题组层级快练73ppt、题组层级快练61ppt、题组层级快练28ppt、题组层级快练75ppt、题组层级快练66ppt、题组层级快练52ppt、题组层级快练57ppt、题组层级快练1ppt、专题层级快练45ppt、题组层级快练18ppt、题组层级快练49ppt、题组层级快练72ppt、题组层级快练41ppt、题组层级快练71ppt、题组层级快练47ppt、题组层级快练44ppt、题组层级快练31ppt、专题层级快练15ppt、题组层级快练46ppt、题组层级快练25ppt、题组层级快练17ppt、题组层级快练37ppt、题组层级快练59ppt、题组层级快练6ppt、题组层级快练68ppt、题组层级快练39ppt、题组层级快练9ppt、题组层级快练12ppt、题组层级快练34ppt、专题层级快练77ppt、题组层级快练36ppt、题组层级快练14ppt、题组层级快练16ppt、题组层级快练4ppt、题组层级快练8ppt、题组层级快练69ppt、题组层级快练26ppt、题组层级快练11ppt、题组层级快练38ppt、题组层级快练35ppt、题组层级快练5ppt、题组层级快练40ppt、题组层级快练2ppt、题组层级快练10ppt、题组层级快练56ppt、题组层级快练70ppt、题组层级快练24ppt、题组层级快练54ppt、专题层级快练62ppt、题组层级快练13ppt、题组层级快练7ppt、题组层级快练3ppt、题组层级快练60ppt、题组层级快练53ppt、题组层级快练55ppt、专题层级快练29ppt、专题层级快练65ppt、专题层级快练63ppt、专题层级快练64ppt、专题层级快练43ppt、专题层级快练23ppt、专题层级快练21ppt、题组层级快练32ppt、专题层级快练20ppt、专题层级快练19ppt、专题层级快练22ppt等77份课件配套教学资源,其中PPT共2667页, 欢迎下载使用。
这是一份2025版《优化探究》高考数学总复习人教版数学配套专题课件,文件包含第四章三角函数docx、第二章函数的概念性质与基本初等函数docx、第七章立体几何与空间向量docx、第三章三角函数docx、第十章计算原理概率随机变量及其分布docx、第九章圆锥曲线的方程docx、第一章集合常用逻辑用语与不等式docx、第六章数列docx、第十一章统计与成对数据的分析docx、第五章平面向量与复数docx、第八章直线和圆的方程docx等11份课件配套教学资源,其中PPT共0页, 欢迎下载使用。
这是一份2024 全品高考第二轮数学专题学生用书配套课件,文件包含06模块六函数导数与不等式答案听课手册docx、06模块六函数导数与不等式答案作业手册docx、06模块六函数导数与不等式正文听课手册docx、05模块五解析几何答案听课手册docx、01模块一三角函数与解三角形平面向量答案听课手册docx、03模块三立体几何答案听课手册docx、03模块三立体几何答案作业手册docx、06模块六函数导数与不等式正文作业手册docx、04模块四统计与概率正文听课手册docx、05模块五解析几何正文听课手册docx、04模块四统计与概率正文作业手册docx、01模块一三角函数与解三角形平面向量正文听课手册docx、04模块四统计与概率答案听课手册docx、01模块一三角函数与解三角形平面向量答案作业手册docx、04模块四统计与概率答案作业手册docx、02模块二数列答案听课手册docx、05模块五解析几何答案作业手册docx、03模块三立体几何正文听课手册docx、03模块三立体几何正文作业手册docx、01模块一三角函数与解三角形平面向量正文作业手册docx、02模块二数列正文听课手册docx、05模块五解析几何正文作业手册docx、02模块二数列答案作业手册docx、02模块二数列正文作业手册docx等24份课件配套教学资源,其中PPT共0页, 欢迎下载使用。

